1609年,当伽利略第一次将他的望远镜指向天空时,就预示着人类将在太空中发现许多意想不到的未知事物。

○1610年1月7日,伽利略用自制的望远镜发现了围绕着木星的四颗卫星:Io、Europa、Ganymede和Callisto。
无论是巧合或者是命中注定,在伽利略逝世的300周年纪念日,即1942年1月8日,霍金出生于英国牛津。他们在各自的时代都是探索宇宙的代表性人物。
在霍金的一生中,健康的恶化给他带来许多的磨难。但凭借着对宇宙有着无限的好奇心,以及对基础物理学的掌握,霍金从来没有停止过对宇宙的思考。在他所有的贡献中,最广为人知的莫过于对黑洞的研究。
黑洞,对于许多人而言,早已不是一个陌生的概念。它大量的出现在影视作品、科幻小说以及科普文章之中。然而,黑洞是如此的怪异和奇妙,似乎蕴藏着许多永远无法解开的谜题。因此,科学家从未停止对它的探索,并不时的就会取得进展。例如,1月1日发表在《自然》杂志的一篇论文指出,位于每个星系中央的黑洞的质量跟星系中的恒星形成有着强烈的关联,虽然这不是什么新的想法,但却是第一次找到直接的观测证据。
2018年,对黑洞的研究即将迎来历史性的一刻。因为,我们很快就可以看到黑洞的第一张“照片”!为了迎接这一刻的到来,我们就从头来叙说这个故事。
让我们回到18世纪的英国。
1.
约翰·米歇尔(John Michell),或许是历史上被遗忘的最伟大科学家之一。本杰明·富兰克林,约瑟夫·普利斯特里和亨利·卡文迪什,这些大名鼎鼎的人物都与他有联系。
1783年,他在寄给卡文迪什的一篇富有先见性的论文中,提到了一个测量恒星质量的方法。米歇尔的发现是基于牛顿的微粒说,该假说认为光是由粒子构成的,因此米歇尔推断当恒星辐射光时,恒星的引力会减缓光的速度,并在星光中产生可观测的变化。他认为当光穿过棱镜时,能量的降低会使偏折有所不同,就可以测量速度被减慢了多少。因此他可以比较不同恒星的折射图像来测量它们的表面引力,并从中计算出它们各自的质量。

○ 米歇尔寄给卡文迪什的信件部分内容。
接着,米歇尔开始思索这样一个问题,如果一颗恒星的质量足够大,因此它的引力也足够强,那么逃逸速度就可以等同于光速。没错,如果连光都无法逃出恒星自身的引力,那么这些恒星对于天文学家而言就是不可探测的。他认为宇宙中应该有许多这种无法辐射出光的隐形天体。
米歇尔并没有停止思考,他认为我们可以通过间接的方法来探测这些“暗星”,前提是这些暗星需要有围绕着它们的发光伙伴。这再次证明了米歇尔的先见之明:这样的双星系统的确是现代天文学家用来证实黑洞存在的方法之一。而米歇尔唯一犯错的地方在于光速:1905年,爱因斯坦证明了无论局域的引力强度如何,光的速度都保持不变。

○ 1796年,著名的数学家拉普拉斯在他的著作《天体力学》中提出了一个相似的概念:如果物体的引力非常强大,光就会被困住的。
到了1799年,杨氏双缝实验显示了光的波动性质,使牛顿的微粒说遭到重创。由于米歇尔的“暗星”是基于微粒说的,因此该想法也就被抛弃了。直到20世纪,物理学迎来了有史以来最激动人心的重大革命,米歇尔的想法也再次复活。
2.
1915年,爱因斯坦提出的广义相对论彻底地颠覆了牛顿的引力理论,他将引力、弯曲的时空、物质和能量联系在了一起,也为米歇尔所预言的“暗星”奠定了坚实的理论基础。

○广义相对论的核心方程——爱因斯坦场方程。方程左边描述了时空的几何,右边则代表了时空中所包含的东西的信息。
许多人都困惑于狭义相对论的时空和广义相对论的时空之间的区别,其关键在于度规张量这个概念。度规张量定义了时空本身是如何弯曲的。它的弯曲取决于存在于其中的物质、能量和压力;也就是说,是宇宙的内容定义了时空的弯曲。同样地,时空是如何弯曲的告诉我们物质和能量将如何移动。如果用一句话总结广义相对论,那便是:“物质告诉时空如何弯曲,时空告诉物质如何运动。”
在物理上,广义相对论中的度规张量有几个不同的部分组成。我们认为引力是由质量引起的:质量越大的物体,其周围的时空弯曲的越剧烈,引力也就越大。在广义相对论中,这相当于质量密度,它的确有贡献,但只是16个分量中的1个!此外,还有压力的部分(比如辐射压、真空压或由快速运动引起的压力)也有贡献,共有3个分量。最后,还有其它6个分量告诉我们在质量和潮汐力存在的情况下,体积是如何改变和变形的,以及一个移动物体的形状是如何被这些力扭曲的。
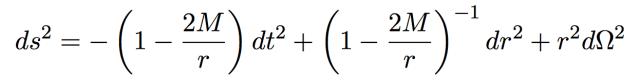
1916年,在广义相对论发表不久后,卡尔·史瓦西(Karl Schwarzschild)就找到了爱因斯坦场方程的第一个解:

○ [方程一]:史瓦西度规是真空爱因斯坦场方程的一个解。这里假定G=c=1,其中r代表半径,M代表质量。
在[方程一]中我们看到,当 r = 2M(史瓦西半径)或 r = 0 时,史瓦西解出现了奇异性。事实上,r = 2M的奇异性可以通过坐标变换予以消除,但是当半径为零时,这些奇异性标记着时空中真正的物理奇点。史瓦西在理论上预言了黑洞存在的可能性。
假如这些奇异的天体真的存在于宇宙之中,它们究竟是如何形成的?我们知道,当恒星耗尽其所有的燃料后,就会在自身的引力下坍缩,形成致密星体。1930年,钱德拉塞卡在从印度前往英国的求学图中就计算出,如果它的质量小于1.4倍太阳质量,那么恒星在演化末期会形成白矮星。银河系中,大约97%的恒星(包括太阳)最终都会成为白矮星。如果恒星的质量超过了这个极限,但低于3.2倍的太阳质量时,恒星会继续坍缩形成中子星。那么质量比这更大的恒星呢?1939年,奥本海默和他的学生在论文中指出,比这质量更大的恒星会不可避免的继续坍缩,形成黑洞。但是,奥本海默的结论并未得到重视。

○ 根据广义相对论,太阳的质量会弯曲时空使行星绕着它运行。一颗中子星会使时空弯曲的更厉害。而一个黑洞则会在时空中制造一个深坑,即使是光都无法逃脱。| 图片来源:JAMES PROVOST
事情到了1960年代才有了转机。当时,研究爱因斯坦的引力理论的物理学家都注意到,爱因斯坦场方程的解允许奇点的出现,奇点就是时空中看起来无限弯曲的点。但是他们并不清楚奇点是不是真实存在的。
3.
1958年,物理学家David Finkelstein发现,在史瓦西解中,史瓦西半径处的奇异性是一个事件视界(Event Horizon),这是一个有去无回的单向膜,一旦越过就再也无法以低于光的速度回来,并将不可避免的落入奇点。

○ 图一:事件视界被认为是有去无回的单向膜,它所包围的球体半径被称为史瓦西半径(Schwarzchild radius)。公式中G是万有引力常数,c是光速,M是质量。如果把太阳的质量代入公式就会得到史瓦西半径为3公里。| 图片来源:Sunshine Lighthouse
显然,史瓦西解太过于简单,它是一个静态的球对称解,对于大多数具有自转的天体而言并不适用。1963年,一位叫罗伊·克尔(Roy Kerr)的新西兰人找到了一个能用来描述旋转黑洞的更广义的史瓦西度规。这是一个比较复杂的度规(见方程二)!而且它很重要,因为它描述了坍缩恒星的最终态——它们总是具有非零的角动量。 两年之后,伊斯拉·纽曼(Ezra Newman )又加上了带电荷的情况,找到了黑洞另一个解。

○ [方程二]:克尔解描述了一个旋转的黑洞。
1965年,霍金出席了罗杰·彭罗斯(Roger Penrose)的一个讲座,那时彭罗斯刚证明了时空奇点。这使霍金一下子就投入到黑洞和奇点的研究之中。之后,他和彭罗斯合作,共同提出了“奇点定理”,证明了在遥远的过去,宇宙必定始于一个无限小的奇点,这跟当时的观测符合。但是在奇点上,所有已知的物理定律都将崩塌。
1967年,天文学家发现了脉冲星,并很快确认它是快速旋转的中子星。这使天文学家备受鼓舞,希望能够在夜空中找到黑洞存在的证据。同年底,在纽约的一场演讲中,理论物理学家约翰·惠勒(John Wheeler)提到“黑洞”一词,才使它正式普及起来。

○ 事实上,1963年的时候,在德克萨斯州达拉斯市的一个天*物文**理的会议上,黑洞一词就被使用了。1964年1月18日,在科学新闻快报上,Ann Ewing的一篇文章中首次出现了“黑洞”的字眼。但没有人真正确定究竟是谁首先用了这一词。| 图片来源:SCIENCE NEWS LETTER/SSP
到了1970年代左右,霍金和卡特等人证明了惠勒的一个推测,即黑洞无毛!他们证明了在黑洞形成后,我们对黑洞所能获取的信息只有:质量、电荷和角动量。其它的信息全部丧失了,黑洞也不存在任何凸起的形态,这被称为无毛定理。
在经典物理的范畴内,霍金除了证明奇点定理外,他在1970年的时候还有一个令人愉悦的数学发现:事件视界的表面积总会增加。即如果有两个黑洞合并,其总的视界面积是不可能减少的。面积定理的一个重要结果是,合并黑洞辐射出的引力波的能量有一个上限。(引力波是爱因斯坦在1916年从广义相对论中得出的一个预言。引力波经常形象的被称为时空的“涟漪”,就如同石头被丢进水里产生的波纹一样。而它的本质其实是时空曲率的波动。)
1973年,霍金和另外两位物理学家合作写了一篇题为《黑洞的热力学定律》的论文,总结了与我们熟悉的热力学定律相似的一系列关于黑洞的定律。该论文中着重强调了黑洞的温度为零(由于没人任何东西可以逃脱黑洞,因此它们不会辐射),并且不具有物理熵。

○ 热力学四大定律和黑洞热力学定律之间的类比。| 图片来源:Fay
但是,一位年轻的研究生雅各布·贝肯斯坦并不同意这个观点。他意识到如果黑洞不具备熵,热力学第二定律就会被违反。因为那样的话,我们就可以将任意具有熵的物体扔进黑洞,因此降低了外部宇宙的总熵。因此他认为黑洞的熵必须正比于表面积,才能挽救热力学第二定理。
1974年,霍金利用量子力学认真地研究了在黑洞邻近弯曲时空的粒子行为后宣布:黑洞具有温度!而就像所有具有温度的物体一样,黑洞也能产生辐射,这种现象被称为霍金辐射。霍金漂亮地将引力、量子力学和热力学联系在一起。这是一次伟大的胜利,但在胜利的背后却隐藏着一个更加深刻的问题:黑洞信息悖论。
黑洞辐射就意味着黑洞会不断地失去质量,直至蒸发殆尽。如果是这样,那么落入黑洞的物体的最终命运是什么?广义相对论认为进入黑洞的信息永远不会再出来,会随着黑洞的蒸发而消失。那么信息去哪了?但根据量子理论,信息是永远不会真正的消失或被复制。这个问题困扰了物理学家四十多年,至今仍没有答案。

○ 今天是霍金的76岁生日。| 图片来源:霍金微博
4.
上面我们提到了许多理论方面的进展,但是黑洞真的存在吗?观测黑洞的最佳手段正是上文提到的米歇尔的深刻洞见:双星系统。在宇宙中,双星系统是普遍存在的。如果黑洞的伴侣是一颗恒星,那么恒星的物质就会被黑洞的引力吸引过来。由于转移的物质本身存在角动量,因此这些物质会在周围形成所谓的吸积盘。吸积盘的温度很高,其热辐射的峰值在光谱中的X射线波段。因此,探测X射线就成为了寻找黑洞的绝佳观测手段。

○ 天鹅座X-1的艺术想象图 | 图片来源:NASA/CXC/M.Weiss
1972年,天文学家发现天鹅座X-1 ( Cygnus X-1 )很可能是一个黑洞。之后对天鹅座X-1致密天体的质量的精确测量(大约是太阳质量的15倍)表明,它就是一个黑洞。

○ 如何才能捕获到引力波。人类第一次捕捉到的引力波是从两颗距离地球13亿光年的黑洞之间的*力暴**冲撞中得到的,距离13亿光年。 13亿年后,当碰撞产生的波经过地球时强度已经大大减弱:LIGO所探测到的时空中的涟漪甚至比原子核还要小上几千倍。|图片来源:Nobelprize
自2016年开始,寻找黑洞的另一个手段便是这两年占据各大头条的引力波。通过黑洞辐射产生的引力波,科学家得以测量黑洞的质量。未来,随着引力波天文学的快速发展,必定能带来更多的惊喜。

○ 引力波探测到的黑洞(蓝色)和电磁辐射探测到的黑洞(紫色)对比图,引力波探测到的黑洞质量都是比较大的。最新确认的一起引力波事件GW170608并未在该图中显示。|图片来源:LIGO/Virgo
除了上面提到的恒星级黑洞之外,一个更加激动人心的发现是几乎所有大型星系的中央都栖息着一个超大质量的黑洞。1964年,天文学家发现了一种神秘的天体——类星体,它的显著特点之一是巨大的本征亮度,它的辐射功率可以是普通星系的成百上千倍。而这样巨大的能量是在非常小的尺度上辐射出来的,这说明类星体在比太阳系还小的尺度上可以辐射出比整个银河系还有大一百倍以上的能量!这怎么可能?科学家一开始对类星体的能源机制充满了困惑。

○2017年12月,天文学家发现了迄今为止最遥远的类星体,其中心为超大质量黑洞,被吸积盘围绕着,并伴随着喷流的出现。类星体有一些典型的观测特征:遥远的恒星状天体;光谱中有较强的发射线;巨大的本征亮度;有着年甚至小时量级的光变现象;强烈的X射线辐射;部分类星体有明显的喷流;辐射的能谱基本上包括了全部电磁波段,即射电,红外,光学,紫外,X射线,甚至是伽玛射线。需要注意的是并不是每一个类星体都具有全部的这些观测特征。 |图片来源:Robin Dienel
通过计算,在比太阳系还小的尺度上,通过大量的恒星以核聚变或者超新星爆发等机制无法获得像类星体这样稳定的能量输出。天文学家迅速提出了超大质量黑洞通过吸积周围气体将引力能转化为电磁波释放出来这样的机制来解释类星体的能源问题。
1971年,Donald Lynden-Bell和Martin Rees猜测在银河系的中心——距离我们2.6万光年远——也存在着一个超大质量黑洞。1974年,天文学家利用NRAO的基线干涉仪发现了银河系中心辐射出大量的射电波确认了它的存在,并将其命名为人马座A*(Sgr A*)。

○ 天文学家在在银河系中心发现了一个有趣的现象:有一些恒星的运动轨迹看起来是在绕着一个完全不发光的点。天文学家对这个点附近的恒星进行了十多年的观测,这些恒星会被加速到非常非常高的速度。而在这么小的一个区域能造成观测到的恒星轨迹,只有一个可能,那就是这些恒星是围绕着超大质量黑洞运行的。|图片来源:LIGO/Virgo
在过去的几十年,天文学家收集了越来越多星系中心存在超大质量黑洞的证据。例如,它们强大的引力对周围的恒星造成的影响,以及吸积周围的物质导致喷流的形成等等。

○ 2017年5月,德克萨斯大学奥斯汀分校和哈佛大学的天文学家检验了黑洞的一个基本原理,他们找到了新的证据来证实当物质被吸进黑洞时会完全消失,进一步确认了事件视界的存在。|图片来源:Mark A. Garlick/CFA
尽管我们已经做了许多的努力,但我们还没有直接对黑洞进行成像,也没有足够的证据确认事件视界是否存在。但是,这一切都将在这一年中改变。因为事件视界望远镜(Event Horizon Telescope)很快就会发布它们的第一次观测结果,揭开天体物理学中长期以来最受瞩目的问题之一。
5.
2017年4月,科学家把横跨全球的八个射电天文台(有些是单个射电望远镜、有些则是阵列射电望远镜)连接起来,形成一个分辨率相当于地球大小的望远镜,称为事件视界望远镜(EHT)。

○ 事件视界望远镜是由全球八大望远镜组成,制造出一个地球大小的干涉仪。|图片来源:APEX, IRAM, G. Narayanan, J. McMahon, JCMT/JAC, S. Hostler, D. Harvey, ESO/C. Malin
EHT的观测目标分别为银河系中心的Sgr A*(距离27000光年,质量为太阳的400万倍)和星系M87中心的黑洞(M87室女座星系团中最大的星系,中心黑洞的质量为60亿倍的太阳质量,但距离5千万-6千万光年)。利用长基线干涉仪和口径综合的技术,科学家对这两个超大质量黑洞进行了为期10天的观测。在收集完数据后,科学家分别在美国和德国进行数据分析。

○ 预计看到的第一张黑洞图片。|图片来源:Nature
2017年12月15日,来自南极的最后一批数据也已就位。科学家正加紧步伐的进行数据校准和数据合成。如果一切顺利的话,我们将在几个月内就能看到黑洞的第一张照片。一张理想中的照片或许是:一个明亮的新月形。由于黑洞转动产生的多普勒效应,在物质朝向我们的那一边会比较明亮,远离地球的那一边会比较暗。

○ 基于黑洞吸积盘的磁流体动力学模型,科学家对Sgr A*的射电信号产生的结果进行了五次不同模拟。|图片来源:arXiv:1601.06799
结果会正如广义相对论所预测的吗?我们不仅希望看到事件视界的第一张图片,还希望它能够检验黑洞物理学的基础理论,比如测量事件视界的形状和大小,以检验在极端引力下广义相对论是否正确。此外,天体物理学家还希望EHT的数据能够帮助他们解释黑洞两边以接近光的速度喷出巨大的物质流(喷流)。有一些黑洞(包括M87)的喷流的大小甚至比寄主星系还大。但并不是所有的星系都这样,如果人马座A也有喷流,那也是非常小和弱的,以至于至今都没有观测到。科学家也还不确定这些喷流是由什么物质构成的,但这些喷流在星系的演化中扮演着极其重要的角色。

○ 吸积盘的方向是正向的(左边两个图)或是侧向的(右边两个图),会极大的改变我们所看到的黑洞样貌。|图片来源:Falcke & Markoff (2013)
无论结果是什么,仅是构建黑洞的第一张图像就已经是突破性的成就。我们可能从此就不需要再依赖黑洞的模拟或艺术想象图。如果说2016年是引力波的一年,2017年是中子星合并的一年,那么2018年就注定是事件视界的一年。我们正生活在广义相对论和黑洞的黄金时代。那些曾经被视作“不可检验的”突然间都成为了现实。