经济学家凯恩斯有段著名的语录:“用通货膨胀的办法进行秘密的财富转移,不为人知地剥夺人民的财富,一百万人里面,也未必有一个人能看出问题的根源。”当然,我们现在都知道,各国政府都通过超发货币的方式,向全体人民隐性征税,只不过这种手法比较温和,比起直接征税更容易让老百姓接受。
如果我问你:买竞彩中奖需要交税吗?我想99.99%的人都会说不用交,有些懂行的人会说,单注中奖超过一万元才有税,但这在现实情况中几乎是不可能发生的。很不幸你们都错了,虽然没有直接交税,但是税收都隐含在了*率赔**里面。公司都是首先设定好利润率,然后再把利润转嫁到*率赔**上面,那么利润是怎么算的呢?
前面讲赔付率的时候提到过,三项*率赔**的倒数和都是大于1的,可以理解为公司的“毛利”,也就是*家庄**在胜平负三个选项上连本带利能收到的所有注码,它再减去最终赔付给彩民的奖金,剩余的就是*彩博**公司的利润。举个通俗的例子,一家超市平均以4.8元的成本买进一瓶啤酒,再以6元的价格卖出,那么6元就是一瓶啤酒的毛利,超市的利润是1.2元。与之相似,公司设置一个小于1的赔付率,好比压低进货成本,那么利润也就随之产生。
以8月28日意大利杯尤文图斯VS米兰的比赛为例,下面是竞彩开出的胜平负和让球胜平负*率赔**:
可以计算这场比赛胜平负玩法的毛利,意即*率赔**的倒数和
1/1.32 + 1/4.10 + 1/7.80 = 113%
然后,毛利减去本金就得到利润率:113%–1 = 13%
有兴趣的也可以计算让球胜平负玩法的利润率,结果应该是一样的。所以公司盈利属于大概率事件,而我们购彩的同时,实际上已经在交税了。假设现在改变游戏规则,彩民要求必须开出“公正”的*率赔**,返奖率必须是100%,可我们进竞彩店之前是要买门票的,比如13元的门票可以换100元的筹码,那你还会去买彩票吗?这就是明抽改暗抽,手法更加高明了。
大家都比较熟悉的,管制的越严重,那么返奖率就越低,因为政府主要是用税这个东西来控制公司。比如:比较著名的是澳彩和香港马会,他们的*率赔**基本都是抽水11%以上,其单场返奖率和我们大陆的竞彩看起来差不多,只不过竞彩必须是串关,这等于进一步降低了返奖率,目前竞彩各种玩法的综合返奖率在70%左右。
不过话又说回来,这年头哪行哪业不需要交税?就以开公司为例,目前企业所得税是25%,增值税17%,加起来就是42%,还不考虑宏观税负,呵呵,看来买彩票还是很划算的嘛!不开玩笑了,言归正传。公司为了实现高利润率,通常采用的手段有两种:一是平衡受注,实现数学上的“抽水”;二是非平衡受注,*彩博**公司利用他们的信息优势和操盘手团队制定的策略,在风险可控的前提下,故意在某个选项上收钱,多占几个百分点的便宜。
总体来讲,欧洲的公司都属于平衡受注的,他们相信系统而不相信人,操盘所需要的人手并不多,基本是系统自动完成。而另外一种极端,我们竞彩是更相信人、不相信系统,包括澳彩、马会在内,都是不平衡投注的杰出代表,由于缺乏竞争,他们完全可以开出一个10%以上的抽水率,然后通过操盘进一步压低赔付。那么他们是怎么操盘的呢?

有人说竞彩的*率赔**水平太烂,完全不值得研究;也有人说竞彩*率赔**水平很高,很有参考价值。在我看来,两种说法都对也都不对。为什么这么说呢?其实开竞猜*率赔**没有一点技术含量,到目前为止,竞彩还不具备自主研发、独立运营的能力,最早竞彩的初盘就是照抄香港马会的,后来由于赔付率作出调整,因此略有差别,大家可以看下面的截图:

竞彩初盘*率赔**和香港马会几乎是一模一样,马会的初盘非常准确,所以竞彩的水平看起来也很高。不同的是,香港马会初盘开出后很少作调整,至少不会频繁地变动*率赔**,但是竞彩变盘那是家常便饭,因此到后期竞彩*率赔**就变得面目全非了,和香港马会再也没有关系。
竞彩变盘的依据是什么呢?我认为主要有两种。一是参考外围市场,跟踪了几家公司,根据外围市场的变化来调整*率赔**,就像国际资本市场的行情,很容易影响到A股的走势一样,由于受到很多信息面的影响,这种调整几乎是不可预测的。二是根据投注比例,因为彩民投注的时候会出现一边倒的情况,经常是某个选项投注大热,为了平衡风险不得不压低某项竞彩*率赔**,所以我们经常会看到比较离谱的*率赔**形态。如何判定投注比例是否异常呢?这就要引入“赢利区间”这个概念。
先从相对简单的两项盘-亚盘说起。盘口里面最好理解的是平手盘,谁赢球谁就会赢盘,打平走盘不输不赢。假设看好主队的资金是A,看好客队的资金是B,主、客队水位(或*率赔**)分别是x和y。要使两边投注量达到均衡,稳收水钱,*家庄**就要控制好水位,以免发生亏损。具体地说,投注主队的资金乘上主队的*率赔**,也就是主队获胜的赔付,应该小于投注客队的资金,同理,投注客队的资金乘以客队的*率赔**,也要小于主队的资金。
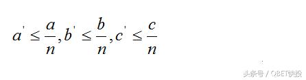
标准盘虽是三项盘,但风控原理和两项盘是相似的,具体的推导过程就不一一列举了,我知道你们对这个也没有兴趣,因此直接给出结论。胜平负的投注比例应分别满足。

前面介绍赔付率的时候用过,不等式右边的分子a,b,c分别表示胜平负的概率,而分母n代表赔付率。如果n=1呢,投注比例正好和概率相吻合了,绝对不能保证投注比例同时小于概率,因为他们的和都是100%。由此可见,公司的利润是与赔付率密不可分的,有了赔付率,才有赢利区间。
我猜此时有些读者已经恍然大悟,公司盈利的秘密不过如此:首先设置一个有利于自己的赔付率,由此计算出暗藏抽水的*率赔**,然后千方引诱百般算计地使投注比例落入预先计划好的赢利区间之内,如果偏离赢利区间再接着调整*率赔**或盘口,直到满足条件为止。如果你这么想说明已经掌握了之前的内容,但不要忘了,公司赢利的方式有两种,上面的公式并不能解释*家庄**诱盘的行为。很多情况下盘口和投注并不吻合,有经验的彩民都知道,有时*率赔**已经很低了,但最终仍然没有打出,这种现象该怎么解释呢?我们又该如何辨别主动诱盘和被动调整呢?静等下回分解!
