
任意一个多面体,例如正六面体,假定它的面是用橡胶薄膜做成的。如果充以气体,那么它就会连续(不破裂)变形,最后可变为一个球面。像这样,表面连续变形,可变为球面的多面体叫做简单多面体。
简单多面体的顶点数V、棱数E及面数F有关系V+F-E=2。这就是欧拉公式。
记忆时,可记为“1(点即为一个点)+3(面由不共线三个点确定)-2(线由两个点确定)=2”,即“点+面-线=2”。
多面体至少有4个面、有6条棱、4个顶点。
下面给出欧拉公式的证明。

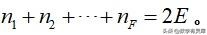
证明: 设多面体的各面为ni边形(i=1,2,3…,F)。由于多面体的每一条棱都只属于两个面多边形,故有

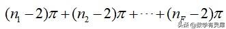
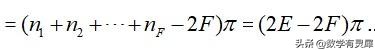
又由内角和定理得,多面体所有面角的总和为


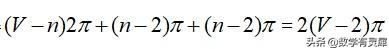
另一方面,我们想象多面体表面是橡皮做的,可以把它压成平面图形,使其中一个为最大,其它各多边形都包围它的内部,如下图。

在上图的变形过程中,顶点数V、棱数E都没有变化,每个多边形虽然形状变了但边数没有变化,假设最大的多边形边数为,那么被包围在它内部的顶点数为个(V-n),可见被包围的多边形所有内角和为(V-n)*2π+(n-2)*π,再加上最大的多边形内角和(n-2)*π,可得

比较前述两式得,

即 V+F-E=2。
下面来看一看它的一些应用。

例1, 正多面体的每个面都是正n边形,顶点数是V,棱数为E,面数是F,每个顶点连的棱数是m,则它们之间不正确的关系是
(A)mF=2E; (B) mV=2E; (C)nF=2E; (D)V+F=2+E
分析: 选项(D)即为欧拉公式,正确。
考虑正四面体,V=4,F=4,E=6,n=3,m=3这时四个选项全部正确;
考虑正六面体(正方体)V=8,F=6,E=12,n=4,m=3, 这时只有(A)不正确。
例2 , 用相隔10度的经线和相隔10度的纬线将地球分割成若干部分,将各部分球面看成平面,得到一个凸多面体,求这个凸多面体的顶点数V、面数F、棱数E。
分析: 按此分法,共有17个纬度圈、1个北极点、1个南极点,共有18条经线,每条经线与17条纬度圈的每一圈有2个交点、与17条纬度圈检有36个交点,这样17条纬度圈 与18条经线共有17×36个交点,再加上两个极点,共有

个交点。
17条纬度圈把球面分成18部分,每部分又被18条经线分成36个表面,共得18×36=648个表面,即 F=648。 再由欧拉公式V+F-E=2得 棱数E=1260。
例3, 已知多面体的每个面都是五边形,每个顶点出发的棱数都是3,求它的面数、顶点数、棱数。
分析: 每个面有5条边,一共有5F条边,得E=5F/2。每个顶点出发的棱数都是3,得E=3V/2。代入欧拉公式V+F-E=2得E=30,V=20,F=12,即所求面数F=12、顶点V=20、棱数E=30。
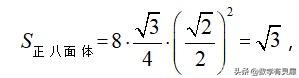
例4 , 以正六面体各面中心为顶点作一个正八面体,求它们的表面积之比。

分析: 如图1,这个正八面体也可以看成由正方形底面重合的两个正四棱锥拼接面成的几何体,如图2。设原来正六面体边长为1,

表面积

点击
得表面积之比

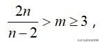
例5 , 求证:每个面都是同边数的多边形,同一点出发的棱数相等,这样的多面体只有5种。
分析: 设从该多面体的每一顶点发出m条棱,有个V顶点,共发出mV条棱。由于每一条棱都有两个顶点,得到mV=2E。设每一个面都是n边形,即有n条棱,F个面,共有nF条棱,但每条棱又都是相邻两个面的边,得到nF=2E。代入欧拉公式得,


而


得

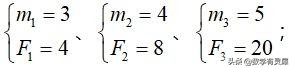
当时得n=3时,得到

当时得n=4时,得到

当时得n=5时,得到

所以对应的多面体只有5种:正四面体、正八面体、正二十面体、正六面体、正十二面体。

【练习题】
练习1 , 试证不存在7条棱的多面体。
(答:用反证法。若E=7,则V+F-7=2,即V+F=9,但 V>=4,F>=4,所有只有V1=4、F1=5; V2=5、F2=4; 这是不可能的)
练习2 ,已知凸多面体的各面都是四边形,求V-F。 (答:2)
练习3 , 已知一个简单多面体的各个顶点都有3条棱,求2F-V。 ( 答:4)