因为女友被数学家拐走,所以不设立诺贝尔数学奖--这只是一个传闻。诺贝尔奖不发给数学家,真实的原因是:在诺贝尔的*药炸**时代,数学还不被认为是科学之王,他本人并未意识到数学的重要性。

诺贝尔经济奖,本身名不正言不顺。诺奖始于1901年,经济学奖1969年才有。其全名也拐弯抹角,绝不正宗。诺贝尔的后代还公开反对过,并说“这个奖经常授予金融市场的投机者。”
不过,这不影响数学家得诺贝尔奖,也不影响诺贝尔经济学奖的科学性,我们只需要做一件事情,就可以同时解决这两个问题:
让数学家得诺贝尔经济科学奖。
数学能够解码经济学吗?
罗素说,所有学说的一端是科学(自然科学),另一端是神学,而介于两者之间的,是哲学等社会科学。
有人认为,在人文社会科学领域,经济学是一门最接近自然科学的学科。
1950年,纳什在28页的博士论文中提出一个重要概念:“纳什均衡”,成为博弈论的重要突破。1994年,他和其他两位博弈论学家共同获得了诺贝尔经济学奖。

纳什最重要的数学成就是在微分几何和偏微分方程的领域,一位著名几何学家评价到:“他在几何学所做的,从我看来,比起他在经济学所做的无可比拟地伟大得多,相差很多个数量级。”
诺贝尔经济学奖从1969年至2010年,共34届,获奖者51人,除了哈耶克,几乎全都用到了数学工具;一半以上获奖者有深厚数学功底,还有少数本身就是数学家。
教你经济的人自己需要很会赚钱吗?
有位经济学家教授写到,最怕被问,老师你天天研究这玩意儿,那你赚钱一定很厉害!
首先,经济学并不是教人赚钱的职业。就像爱情小说家不负责教人成功恋爱。
其次,经济学家的实践,是为国家做贡献。例如凯恩斯,既搞学问,又兼任皇家经济学会秘书,二战后还曾代表英国找美国借钱,赖到2006年底才还清。
再有,凯恩斯同样也可以是个赚钱高手。个人靠炒股发了财。
他说:一个人的知识和经验绝对是有限的,因此在任何给定的期限里,我个人认为能够得到我百分之百的信心去投资的企业数 量,很少会有超过二家或三家以上。

巴菲特格外推崇凯恩斯,并喜欢引用他的三句名言:
1、困难不在于如何接受新思想,而在于如何摆脱旧思想;
2、我宁愿模糊的正确,也不要精确的错误。(这句话其实是Carveth Read最早说的。)
3、对于我们的名声来说,遵循传统惯例而失败要好过违背 传统惯例而成功。
经济学家如何在股市上赚钱?
经济学家在股市上的赚钱路线,看起来和诺奖对经济学家的偏爱路线是一致的:
1、一个是精确的“数学”路线;
2、一个是利用人们非理性的行为经济路线。
走精确路线的,有著名的长期资本管理公司,董事会成员包括了因制定选择权定价公式,而在1997年共同获得诺贝尔经济学奖的麦伦·休斯和罗伯特·C·默顿。其第一年赚了40%,1998年俄罗斯金融危机后,不到四个月亏46亿美元,不久倒闭。
利用人们非理*行为性**的,有今年的诺奖经济学得主:泰勒。
泰勒曾发现,过去表现好的股票在接下来3-5年会成为输家,而过去表现差的股票会在接下来3-5年成为赢家。他将其归因为:“过度自信”。
泰勒成立了自己的基金,利用市场对消息产生的行为偏差进行投资。
依据经济行为学,通常市场对于已有的负面消息总是过度反应;而对新的、公司正面的消息又往往反应不够。该基金正是基于此对小市值股票产生的影响来进行投资。该基金以基本面为基础,来判断金融市场的矫枉过正或者反应不足。
该基金自1998年低开始,若当时投入1万美元,到今年9月底有9万3千美元,回报率达到了惊人的832.44%,比巴菲特多了500%。

股市,到底是数学天才的乐园,还是另外一个超级*场赌**?
四骑士,用数学破解赌博
二十一点(英文:Blackjack),是使用扑克牌玩的赌博游戏。亦是赌埸中*家庄**优势在概率中最低的一种赌博游戏。

1956年以前,21点的基本策略都是推测及经验猜的。
直至“四骑士”出现。四人都服役于美国陆军,有哥伦比亚大学数学硕士学历。在军营玩21点时,罗杰.鲍德温想:应该有机会经过数学分析的最佳策略对应到该规则。
他用手算出几条规则,马上意识到21点策略分析是一个很大的题目。他找了威柏肯提,申请使用*用军**计算器的权限。
四骑士们花了一年半的空余时间,设计出了玩21点的最佳策略出来。没有电脑,只有惊人的脑袋,和计算器。
1956年9月,他们出版了11页的论文《21点最佳策略》。发表于美国统计协会的期刊上,这是史上第一个使用精确的数学计算检验过的21点策略。
然而,四骑士的研究成果,并在并未引起社会关注。
直到几年后,另外一个天才的出现。
爱德华·索普,量化交易之父
1955年春,索普是加州大学洛杉矶分校的一名二年级物理学研究生。他在思考能否捣鼓出一个持续赢得轮盘赌的数学系统。
轮盘赌看似随机,索普则试图用数学来描述背后的系统机制。后来他将同样的想法应用到证券市场,最终发展成量化投资的核心理论。
1958年,索普取得数学博士学位。
1959年至1961年间,索普于麻省理工学院担任摩尔讲座教授。

基于用数学战胜*场赌**的冲动,他也研究二十一点。
索普应用大数定律:
随机事件的样本越多,结果的确定性就越高,就好像掷硬币,你掷10次,正反面比率可能出现任何结果,随着实验的次数越来越多,正反面的比例会更加接近于1:1。
对于某一手21点,索普并不知道胜算多少,但是只要玩得局数足够,只要他遵循自己的算牌规则,就一定能获胜。通过大数法则,不断实验,得到最终结果,总结经验,这事就爱德华索普的必杀技。
1958年,看到四骑士的《21点最佳策略》后,他找鲍德温索要数据,用数学和概率论的方法,借助于计算机,优化了方案,想发表在《美国科学院院报》。但该杂志只接受院士的文章。
这难不倒索普。他从小就是一个顽皮的天才少年,热衷于恶作剧、搞破坏,以及做各种实验。他决定找这个星球上最聪明、也是最古怪的人帮忙。
香农,IT理论奠基人
只消做其中的一件事情,就可以成为本星球最聪明的人,但香农做了两件。
20世纪最伟大的两个知识进步上都镌刻着香农的大名:
其一是二进制系统在电路中的应用,这也是计算机诞生的基础。香农的突破性进展是引入了一个双符号逻辑体系,所有的问题都通过操控两个数字来解决:0和1。在电路应用中,1表示开关闭合,0表示开关打开。一连串闭合和打开的开关,其实就是一连串1和0,就能代表几乎所有种类的信息。
其二是信息论。在这方面,香农解决了如何将信息编码,然后从A点传递到B点的问题。香农理论的关键之处,也是颇有争议的地方在于,他一开始就主张,尽管信息“总是带有某种意义(meaning)……但(这种)通信的语义外表和工程问题无关”。换句话说,信息作为一个技术问题,与它本身的意思及语境没有关系。相反,信息是纯粹统计性的,因而是可编码的。
这一观点与直觉正好相反。香农之前的科学家大多认为,意义,只有意义,才是通讯的基本元素,而香农完全颠覆了这一观点。
除了学术香农爱好杂耍、骑独轮脚踏车和下棋。他根据人工智能研究的先驱、数学家马文·闵斯基的想法,发明了一个“终极机器”:
这个盒子外表平淡无奇,只是在一侧有一个开关,弹一下开关,盒盖就会打开,一个机械手会伸出来;将开关复原,机械手就缩回盒子。

面对小怪人索普的来访,老怪人香农只给了几分钟,但迅速被吸引了。他愿意帮忙提交论文,只提了一点:
“哥们儿,你这论文题目《21点常胜策略》涉嫌赌博,不如改成《21点的有利策略》,免得老学究们卡你。”
两位怪才后来还一起钻研轮盘赌,甚至发明了第一个佩戴式计算机,悄悄带入*场赌**,用于提高轮盘赌的获胜几率。
有一个21点的关键问题一直困扰索普:
如果赌徒不想因赌资不足而出局,那么他应该怎样下注?
香农告诉索普,新泽西穆雷山贝尔实验室的物理研究员小约翰·凯利知道答案。
凯利公式,一个真实的财富公式
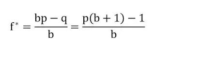
1956年,贝尔实验室的科学家凯利发表了一篇论文 "A NewInterpretation Of Information Rate",论文中包括了后来被广泛流传的“凯利公式”。这篇论文的本意是研究长途电话中的噪音问题。

在概率论中,凯利公式是一个用以使特定赌局中,拥有正期望值之重复行为长期增长率最大化的公式。简而言之,就是用以计算出每次游戏中应投注的资金比例。
除可将长期增长率最大化外,此方程式不允许在任何赌局中,有失去全部现有资金的可能,因此有不存在破产疑虑的优点。方程式假设货币与赌局可无穷分割,而只要资金足够多,在实际应用上不成问题。
公式的一般性陈述为:

其中:
f*为现有资金应进行下次投注的比例;
b为投注可得的*率赔**(不含本金);
p为获胜率;
q为落败率,即1 - p;
举例而言:
若一赌博有60%的获胜率(p = 0.6,q = 0.4),
而赌客在赢得赌局时,可获得一赔一的*率赔**(b = 1),
则:赌客应在每次机会中下注现有资金的20%(f* = 0.2),以最大化资金的长期增长率。
如果*率赔**没有优势,即 b =q / p,那么公式建议不下注。
如果*率赔**是负的,即b < q / p,公式的结果是负的,也就是暗示应该下注到另外一边。
索普利用凯利的系统对21点下注方案进行优化。即:胜算大时出重手,胜算小时就收手。
另一种下注方式“加倍下注策略”:下注10美元,输了。下注20美元获胜,若再输,下注40美元,赢了就一举回本。加倍下注,貌似迟早扭亏,实则有硬伤:赌徒可能被振出局。
凯利公式,则限制了赌徒每次下注的最高额度,精确地告诉人们如何根据自己的荷包加码和减注,以此来获取最佳结果。
用凯利的话说,这一规则描述了一个赌徒如何既“使自己的资金量呈指数增长”,同时又避免破产的诅咒。
据说,1968年巴菲特第一次见到了索普,就开始应用凯利公式去决定在每项投资中投入多少资金。
又据说,索普第一次见巴菲特,和他打了一夜桥牌,就预测他将来会成为世界首富。
芒格说:
“人类并没有被赋予随时随地感知一切、了解一切的天赋。但是人类如果努力去了解、去感知――通过筛选众多的机会――就一定能找到一个错位的赌注。而且,聪明的人会在世界提供给他这一机遇时下大赌注。当成功概率很高时他们下了大赌注,而其余的时间他们按兵不动,事情就是这么简单。”
神秘小组,盗火的年轻人
索普赢了。他横扫*场赌**,最终成为不受欢迎的赌客。
1979年1月,麻省理工学院开设了一门名为“如果你必须赌,怎么赌赢”的课程,供那些对“21点”有兴趣的学生切磋算牌技巧。参加该课程的学生大多是本科生,在数学方面拥有天赋。为期4周的课程完结之后,学生们奔赴赌城,结果铩羽而归。
聪明的年轻人们不甘心认输。1980年,一个以哈佛商学院MBA为领导、以麻省理工学院天才学生为主体的“21点”精英团队构建起来,再度“杀往”大西洋城。10周之后,他们的赌资翻了一倍。
以“21点小组”为原型的电影《决胜21点》,里面有句台词:
“我们不是在赌博,我们是在计算”。

“量化”是MIT21点小组决胜的秘诀。某种意义上,索普的赢牌战术和量化投资是一致的:
Step1:深入分析市场,建立模型,进行有效的量化投资策略;
Step2:通过量化分析,判断市场走向,静等投资的最佳时机;
Step3:最佳时机来临后,迅速执行精准的交易策略。
21点小组成员高人辈出。魏因斯坦,33岁已是德意志银行美国信用交易总管。他是国际象棋“终身大师”,25岁便成为德意志银行的副总裁,两年后又被任命为董事总经理。
比起拉斯维加斯,华尔街才是真正的*场赌**。无论是贪婪,还是残酷,金融*场赌**都更胜一筹。
例如绿光资本的艾因霍恩,37岁已经声名显赫,回报率连年保持在20%以上。他同时也是扑克高手,曾位列2007年拉斯维加斯“世界扑克系列赛”第18名,斩获66万美元奖金。

战胜市场,一个科学的股票市场系统
索普将自己从21点中发现的秘密,推及至股票权证:对于股票下周是涨还是跌,索普并不确定,但他可以推算出股票涨跌2个、5个或者10个百分点的概率有多大。
索普把这一公式用到了权证上。股票的未来运动(宽客将这一变量称为波动性)是随机的,因而是可以量化的。如果权证在定价时高估或低估了可能的波动性,你就能从中获利。
索普和加州大学欧文分校的卡索夫教授,设计出第一个精确的量化投资策略:科学股票市场系统。
他们确信自己已开发出第一个从股票市场稳定盈利的纯量化方法,并于1967年合写了一本叫做《战胜市场:一个科学的股票市场系统》,该书是量化投资的开山之作。

1969年,索普遇到了杰伊·里根。里根毕业于达特茅斯学院,主修哲学,在一家经纪公司上班。他是索普的粉丝,两人成立了一家合伙公司,开始了套利之旅。
索普运作了两只对冲基金,“Princeton-NewportPartners”和“ RidgelinePartners”,运作了近30年,年平均收益19%-20%,无一年亏损。
真有“神秘的财富公式”吗?
文艺复兴科技公司前员工曾说 ,该公司并没有什么神秘的财富公式 ,埃尔温 ·伯莱坎普和詹姆斯 ·艾克斯等天才并没有在几十年前发现财富密码 。
《宽客》里写道:
大奖章有一支由 9 0多名博士组成的队伍 ,他们孜孜不倦地寻找着改善基金交易系统的方法 ,他们就像是一支肩负使命的战无不胜的运动队 ,日复一日 ,周复一周 ,年复一年地击败市场 ,从未失手 。
梅花香自苦寒来 。文艺复兴科技公司有着著名的 “双 4 0小时 ”文化 。员工有 4 0个小时的时间完成分派到的任务 :编程 、研究市场 、搭建计算机系统 。
然后 ,在第二个 4 0小时中 ,他们可以自由地选择涉猎基金中几乎所有的领域和实验 。这样的自由成了酝酿突破的温床 、大奖章的创新源泉 。
文艺复兴科技公司也没有受现代投资组合理论 、有效市场假说或是资本资产定价模型的束缚 。它更像是一台机器 ,一项科学实验 ,唯一重要的东西是策略是否有效 ,是不是能赚钱 。
即使如此,2009年,当市场整体反弹之时,文艺复兴卖给大众的新基金,亏掉了17%,打破了西蒙斯永不亏损的神话。

凯恩斯说,金钱是“一个非常严肃的东西”,他认为:“职业投资是一场令人无法忍受的游戏,任何一个没有赌博习性的人,都会对之惊慌失措;即使是那些好赌之徒,也要对这些习性付出适当的代价。”
最后
诺奖经济学奖得主中,惟一不和数学沾边的哈耶克,曾经警告人们,别套用物理世界的模型,来分析经济和金融。多年以后,2008年,在血流成河的华尔街,一份《金融建模宣言》复述了哈耶克的远见:
物理学由于其在根据物体客观现状预测其未来行为方面所取得的巨大成就而成为大多数金融模型的灵感之源 。物理学家研究世界的方式就是一次又一次重复相同的实验 ,以此来发现背后的驱动力以及魔法般的数学定律 … …
但对金融学和经济学来说 ,情况有所不同 ,这两个学科涉及货币价值的主观判断 。为了发现自己的定律 ,金融理论竭尽全力模仿物理学的风格和韵律 … …
然而事实是 ,金融学根本没有什么基本定律 。
牛津大学的首个量化金融专业创建者威尔莫特说:
“难处在于人性 ,我们是在为人建模 ,不是为机器 。 ”

300年前,在著名的南海泡沫事件中,人类有史以来最聪明的天才之一,牛顿,亏掉了两万英镑,据说相当于现在的一亿美金。
牛顿曾因而叹谓:“我能算准天体的运行,却无法预测人类的疯狂。”
在我看来,人工智能的突飞猛进,可能令许多此前量化的事物都变得可以量化。
而人性的贪婪,则进化得更凶猛。
从文科的角度,人类追寻意义;从理科的角度,人类探索公式。
这个过程,交替着理智与情感,荣耀与羞辱,灵性和野蛮。
上帝作为班主任,不会轻易给我们终极答案。