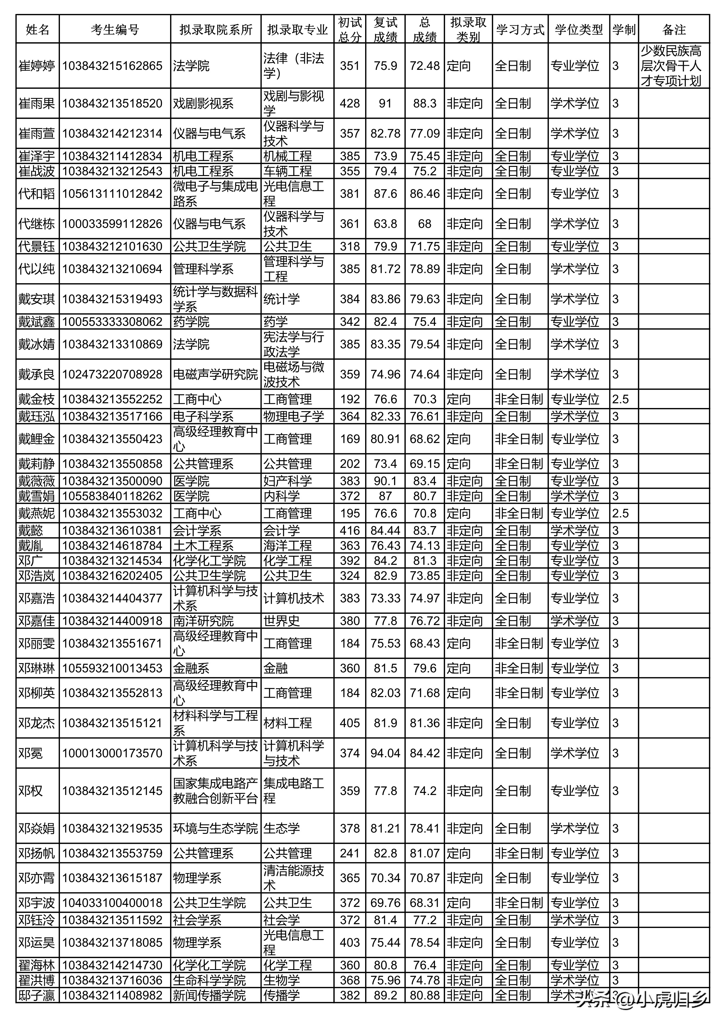
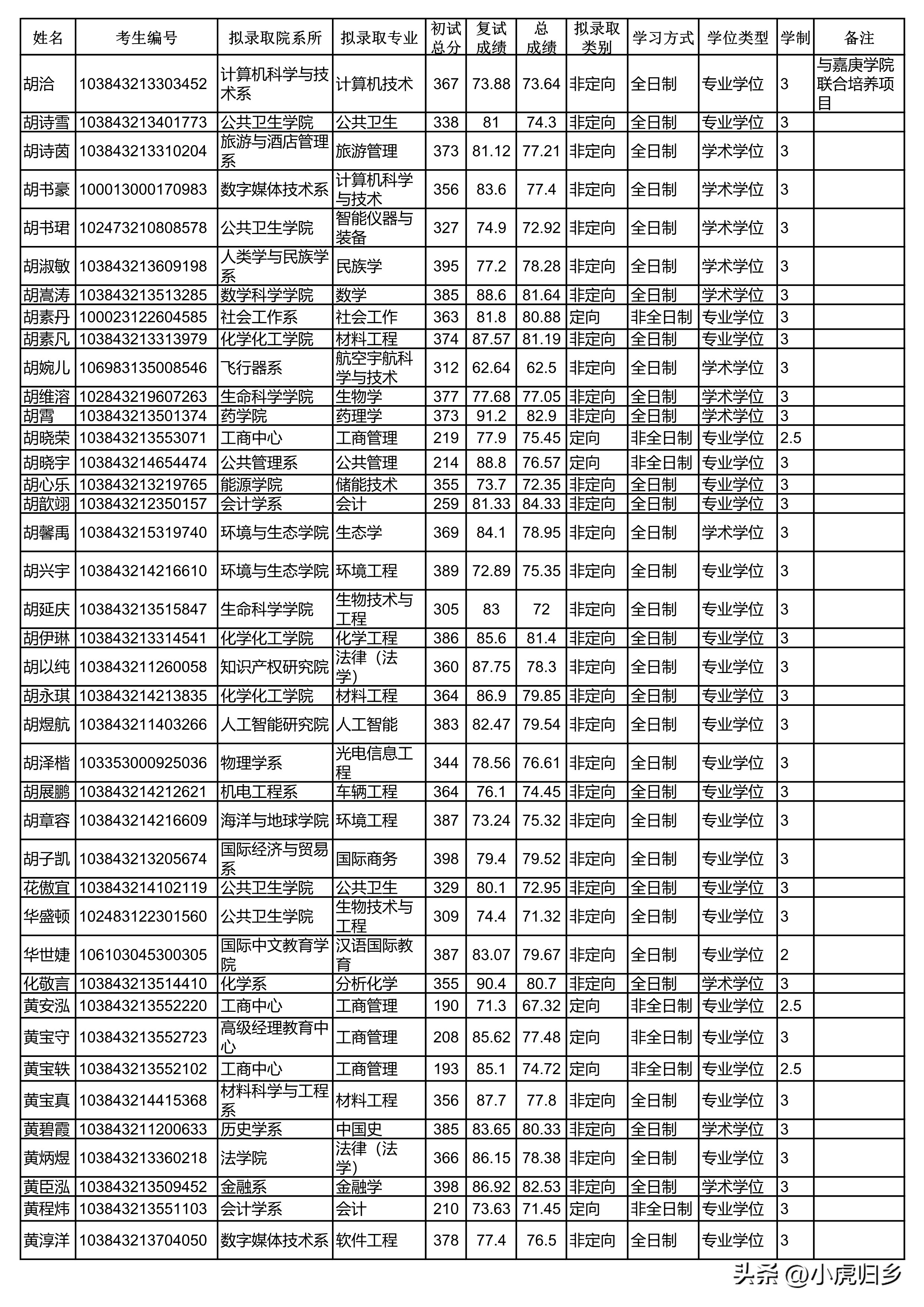
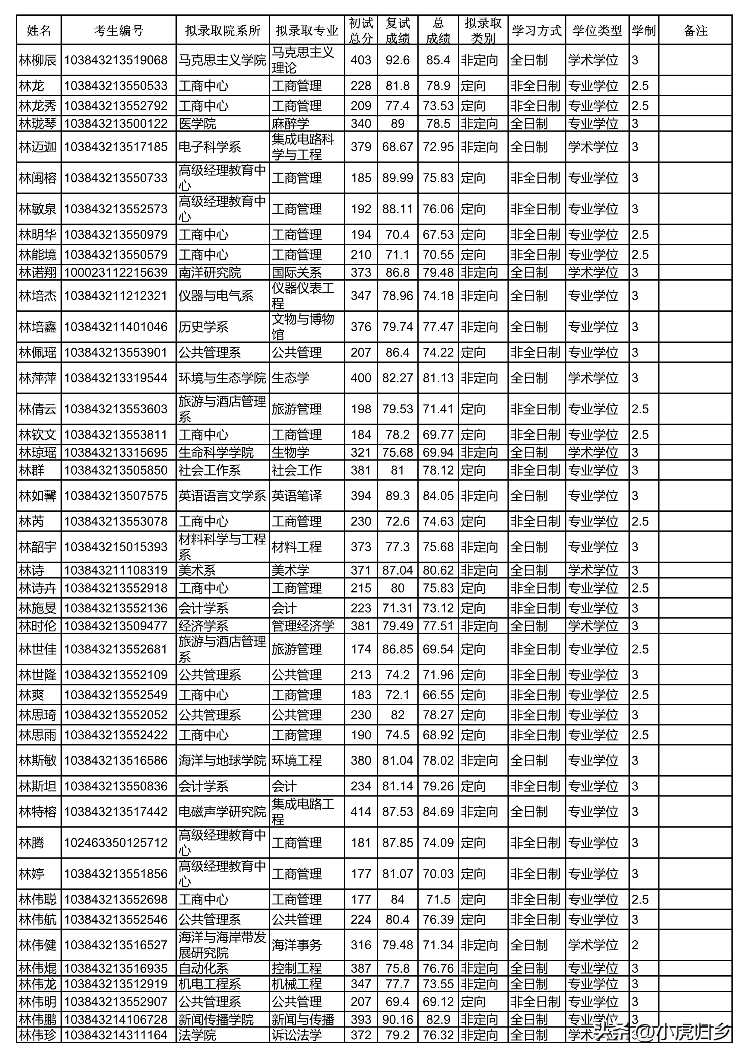
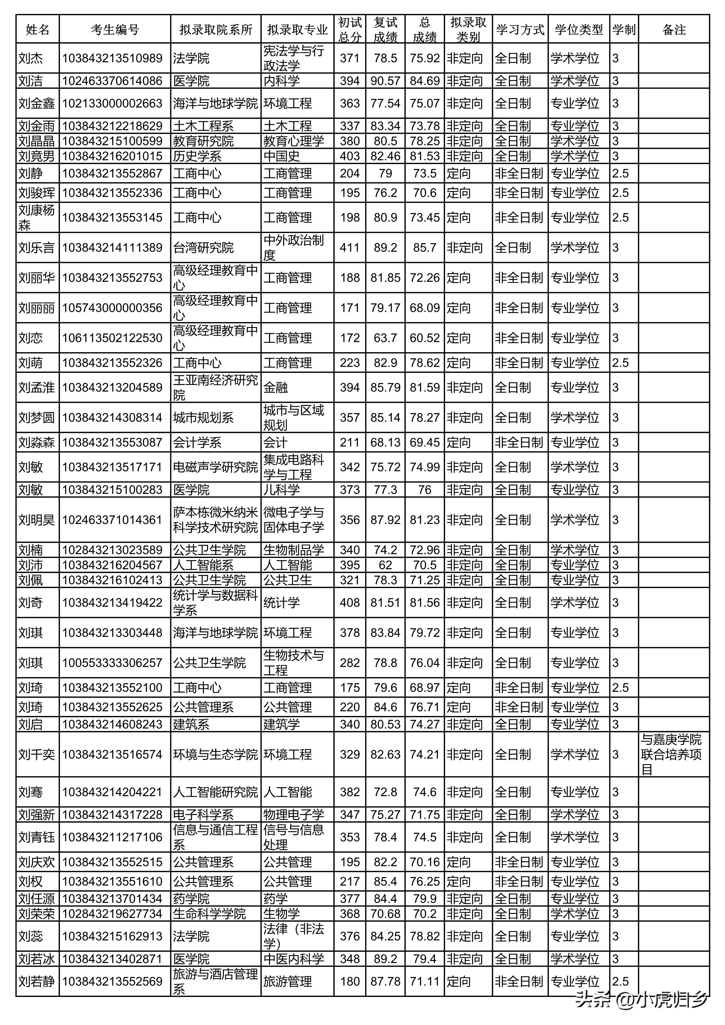
5月18日,厦门大学研究生招生网对《2023年统考硕士研究生拟录取名单》进行公示,公示期为2023年5月18日-2023年5月31日, 正式录取名单以教育部审核通过为准 。

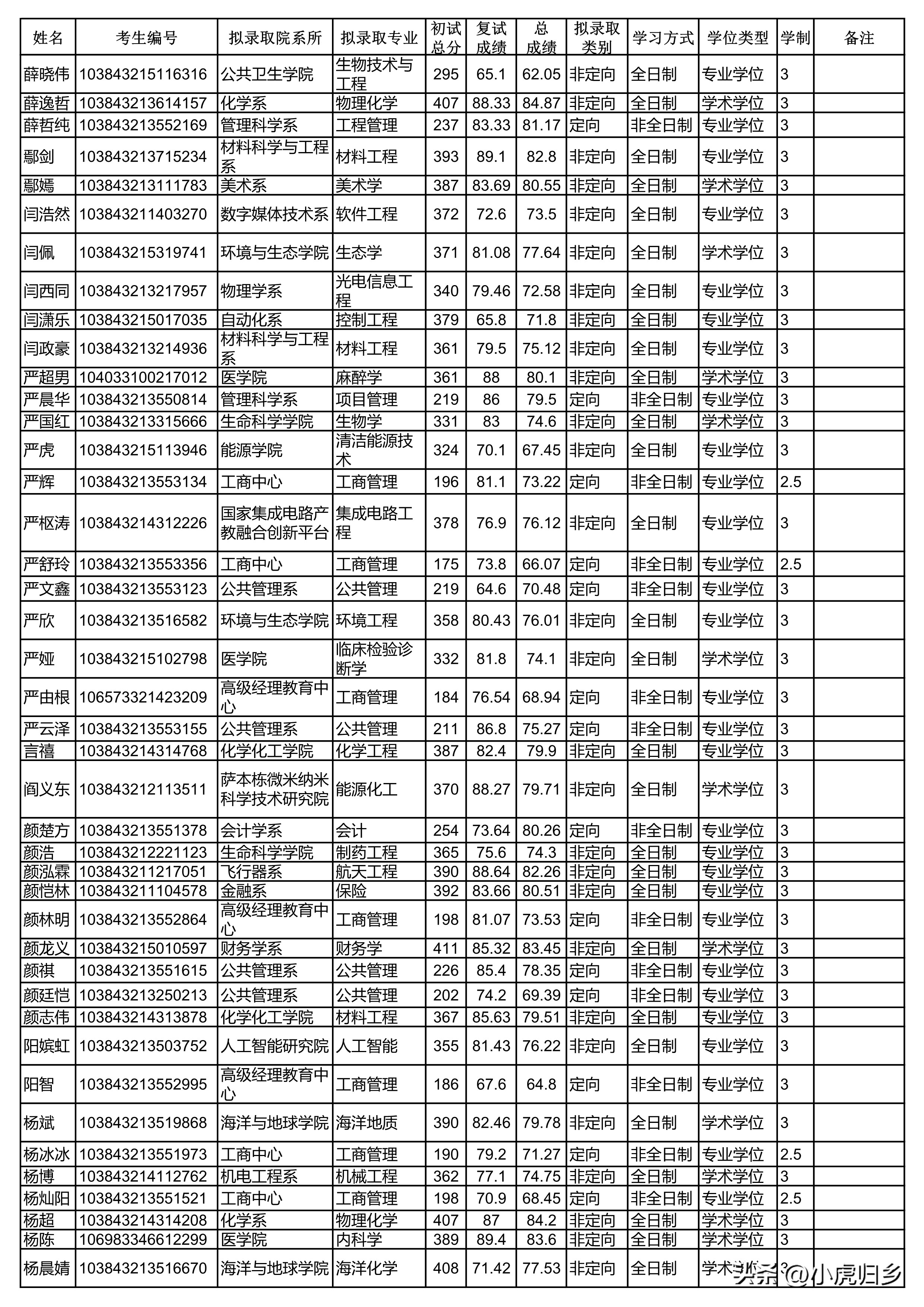
录取名单 按照姓名拼音排序 。共计录取4045人。其中:全日制2843人,非全日制1202人;专业学位2852人,学术学位1193人;定向1302人,非定向2743人;包括少数民族高层次骨干人才专项计划86人。
部分院系、院所录取人数情况如下

部分招生人数少于20人院系

主要院所招生人数

录取名单 按照姓名拼音排序





































































































了解更多升学与推免消息,谢谢关注[玫瑰]