
四则运算
- (u+v)'=u'+v'
- (u-v)'=u'-v'
- (uv)'=u'v+uv'
- (u/v)'=(u'v-uv')/v^2
常见导数
- y=c(常数),y'=0
- y=pow(x,a),y'=a·pow(x,a-1)
- y=pow(a,x),y'=pow(a,x)·ln(a)
- y=log(a,x),y'=1/(xlna);特别的ln(x)=1/x
- y=sin(x),y'=cos(x)
- y=cos(x),y'=-sin(x)
- y=tan(x),y'=1/(cos(x)^2)
复合函数的运算法则
若y=f(g(x)),y'=f'(g(x))·g'(x),前提是g在x处可导,f在g(x)处可导
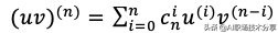
莱布尼兹公式
若u(x),v(x)均n阶可导,则

条件概率
P(A/B) = P(AB)/P(B)
独立
P(AB) = P(A)P(B)
概率基础公式
加法:P(A+B) = P(A)+P(B)-P(AB)减法:P(A-B) = P(A) - P(AB)乘法:P(AB) = P(A)P(B/A)
全概率:

贝叶斯
P(B/A)=P(B)*P(A/B)/P(A)
切比雪夫不等式
p(|x-u|>k∂)<=1/(k^2),满足k>0,u为期望,∂为标准差
绝大多数数据都应该在均值附近
抽球
- 有 放回 的抽取,抽取 m 个排成一列,求不同排列总数:
- 无 放回 的抽取,抽取 m 个排成一列,求不同排列总数:
纸牌问题
问题:54 张牌,分成 6 份, 每份 9 张牌, 大小王在一起的概率?
54张牌分成6等份,共有M=(C54取9) (C45取9) ...种分法。其中大小王在同一份的分法有N=(C6取1) (C52取7) (C45取9)*...种。因此所求概率为P=N / M
棍子/绳子问题
问题:一根棍子折三段能组成三角形的概率?
假设:棍子长度为1,第一段长度为x, 第二段长度为y, 第三段长度1-x-y
分母:总样本空间为: 1 * 1 = 1分子:两边之和大于第三边,得1/8
贝叶斯
问题:某城市发生一起汽车撞人逃跑事件,该城市只有两种颜色的车,蓝20%绿80%, 事发时现场只有一个目击者,他指正是蓝车,但根据专家分析,当时那种条件下能看正确的可能性是80%,那么肇事的车是蓝车的概率是多少?假设事件 A 为目击者指正蓝车, 事件B为肇事车为蓝车,事件C为肇事车为绿车,那么有:
0.2*0.8/(0.2*0.8+0.8*0.2)=0.5
选择时间问题
问题:一个活动,n个女生手里拿着长短不一的玫瑰花,无序的排成一排,一个男生从头走到尾,试图拿更长的玫瑰花,一旦拿了一朵就不能再拿其他的,错过了就不能回头,问最好的策略及其概率?
1/e
0~1均匀分布的随机器如何变化成均值为0,方差为1的随机器
均匀分布:E(x) = (a+b)/2标准差:D(x) = (b-a)^2/12
所以只需要对x做变换:sqrt(12(x-1/2))即可
抽红蓝球
问题:抽蓝球红球,蓝结束红放回继续,平均结束游戏抽取次数
假设设抽到 蓝球 的概率为 p , 设抽到红球的概率为 q, 那么抽取到的次数为:1·p+2p·q+...+np·q^(n-1)可得E = p[1+2q+...+nq^(n-1)],令1+2q+...+nq^(n-1)=s,再由s为等比公式和s-sq得,E=1/p
均匀分布
- 离散随机变量的均匀分布:假设 X 有 k 个取值:x1, x2, ..., xk 则均匀分布的概率密度函数为:
- 连续随机变量的均匀分布:假设 X 在 [a, b] 上均匀分布,则其概率密度函数为:
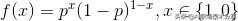
伯努利分布
伯努利分布:参数为 p∈[0,1],设随机变量 X ∈ {0,1},则概率分布函数为:

期望为p,方差为p(1-p)
二项分布
独立重复地进行 n 次试验中,成功 x 次的概率:

期望为np,方差为np(1-p)
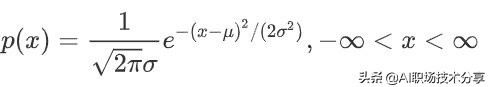
高斯分布
我们在做模型训练的之后,随机变量取值范围是实数,大多数情况下都假设变量服从高斯分布,原因:
- 随机变量大多数情况下有若干个因素组合而成,中心极限定理表明,多个独立随机变量的和近似正态分布
- 在具有相同方差的所有可能的概率分布中,正态分布的熵最大(即不确定性最大);熵大带来的信息量多
典型的一维正态分布的概率密度函数为 :

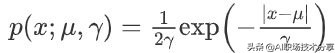
拉普拉斯分布
概率密度函数:

期望为u,方差为2γ^2
拉普拉斯分布比高斯分布更加尖锐和狭窄,在正则化中通常会利用该性质
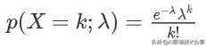
泊松分布
假设已知事件在单位时间(或者单位面积)内发生的平均次数为λ,则泊松分布描述了:事件在单位时间(或者单位面积)内发生的具体次数为 k 的概率。概率密度函数:

期望:λ,方差为:λ
范数
1范数:各列绝对值和的最大值2范数:

,矩阵 ATA ATA 的最大特征值开平方根
特征值分解,特征向量
特征值分解可以得到特征值与特征向量特征值表示的是这个特征到底有多重要,而特征向量表示这个特征是什么
矩阵A 的特征值与其特征向量

, 特征值

满足:
也可写成:

其中,Q为特征向量组成的矩阵,∑为特征值由大到小组成的矩阵
正定性
- 如何判断矩阵的正定性?矩阵的特征值大于等于0,半正定矩阵的特征值大于0,正定
- 正定性的用途?Hessian矩阵正定性在梯度下降的应用若Hessian正定,则函数的二阶偏导恒大于0,,函数的变化率处于递增状态,判断是否有局部最优解在svm中核函数构造的基本假设
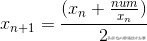
迭代公式推导



- 这边是2次,所以直接以y=x^2化简了
实现
def get_ans(nums,count=10000):
ans = nums
if not ans:
return ans
Times = 0
while Times<count:
ans = 0.5*(ans+nums/ans)
Times+=1
return ans