
一、为什么叫伯努利方程
一、为什么叫伯努利方程
流体力学中有许多理论,其中不能不提的一个就是伯努利原理。这个原理描述了流体中速度和压力的关系,即动能与压强势能互相转换。伯努利方程是“伯努利原理”的数学描述,是一个很帅气的瑞士人名叫丹尼尔·伯努利在1726年提出的。两百多年来,这个理论已经成为了经典。
二、伯努利方程长什么样子
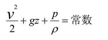
在当年,流体力学的连续介质理论方程还没建立起来,伯努利原理成了水力学所采用的基本原理,其实质是流体的机械能守恒。伯努利方程如下:
式中p为流体中某点的压强,v为流体该点的流速,ρ为流体密度,g为重力加速度,z为该点所在高度。取流体的A、B两点,伯努利方程亦可描述如下:
用能量来描述就是:动能+重力势能+压力势能=常数。
其最为著名的推论为:等高流动时,流速大,压力就小;流速小,压力就大。这种现象通常称为伯努利效应。
三、伯努利方程适用范围
任何原理都有一定的适用范围,无规矩不能成方圆,伯努利方程也有自己的应用范围。伯努利方程使用限制条件如下:
这里需要补充下就是如果加入能量损失就可以适用粘性流体了。我们都知道我们平常生活中遇到的流体都是有粘性的,除了特殊条件下的超流体。有兴趣的自己可以查下超流体资料。
四、伯努利方程生活中应用
这个经典理论和方程,在生活中是存在很多常见的场景的。当你看到的场景可以用这个“流体(气体和液体)流速非常快时,压强就会变得很小;相反的,流速慢时,压强就大了。”来解释时,你就看到了伯努利理论或方程的应用了。下面是几个常见的例子,以后遇到这些情景就要反应过来,可以和旁边的人说这是伯努利效应,高大上的卖弄哦,哈哈。
4.1、等地铁或高铁要站在黄线以外
当地铁或高铁高速行驶过来,人与地铁之间的气流被车带动起来速度很快,那么,人与车之间压力就减小,而人背后的压力是正常的,这样前后两种压力就形成了一股强大的压力差,会感受到背后一股推力推向地铁或高铁,造成伤害。
4.2、飞机能飞上天
飞机飞行时机翼周围空气的流线分布是指机翼横截面的形状上下不对称,机翼上方的流线密,流速大,下方的流线疏,流速小。由伯努利方程可知,机翼上方的压强小,下方的压强大。这样就产生了作用在机翼上的方向的升力。当然啦,这是飞机的升力的其中一部分,还有一部分升力是负压涡流提供的。
4.3、汽油发动机的化油器
化油器是向汽缸里供给燃料与空气的混合物的装置,构造原理是指当汽缸里的活塞做吸气冲程时,空气被吸入管内,在流经管的狭窄部分时流速大,压强小,汽油就从安装在狭窄部分的喷嘴流出,被喷成雾状,形成油气混合物进入汽缸。
4.4、帆船能够逆风航行
帆船顺风行驶是最慢的,侧风行驶速度也不快,逆风行驶反而是最快的。帆船能逆风前进与机翼同理,把机翼立起来就可以看到,因为帆不是一个硬绷绷的平面,在受风时,它是三度空间形状。这种弧形使得吹过帆下风面的气流与通过帆上风面的气流有压强差,从而产生推力。
保持船头与海风的方向呈30-40度角时,推动效率最高。在2000年8月,法国人设计的“Hydroptere”号帆船在风速只有15节的情况下,速度却达到了35节(略低于70公里时速)。
4.5、球类中的弧形球
弧旋球又称“弧线球”,“香蕉球”,是足球运动中的技术名词(英语bananaball)。指运动员运用脚法,踢出球后并使球在空中向前作弧线运行的踢球技术。
以右脚球员为例,当球员用右脚内侧“搓”球时,由于与脚内侧的摩擦,足球在向球门方向运动时会产生逆时针方向的旋转。当球转动时,空气就与球面发生摩擦,在球周围产生与球旋转方向一致的气流。由于足球向球门方向运动,旋转方向为逆时针(右脚搓球),而球左侧摩擦产生的气流的流动方向与飞行中迎面遇到的气流方向相同,因此球左侧的空气流动速度较快。与此同时,球右侧的这两股气流的方向相反,所以球右侧气流速度较慢。
依据这一原理,右脚内侧搓起的“香蕉球”在飞行时会感受到一个横向的压力差,形成横向作用力(即马格努斯力),使原本向右飞行的球逐渐向左偏转。反之用左脚内侧搓起的“香蕉球”则先向左飞再向右偏转。
实际生活中有非常多伯努利原理或方程应用的情景,这里不一一列举了,希望上面几个例子能够给您举一反三吧。现在明白伯努利原理或方程能够成为流体力学中的经典之一的魅力所在了吗?
流体力学中有许多理论,其中不能不提的一个就是伯努利原理。这个原理描述了流体中速度和压力的关系,即动能与压强势能互相转换。伯努利方程是“伯努利原理”的数学描述,是一个很帅气的瑞士人名叫丹尼尔·伯努利在1726年提出的。两百多年来,这个理论已经成为了经典。

二、伯努利方程长什么样子
在当年,流体力学的连续介质理论方程还没建立起来,伯努利原理成了水力学所采用的基本原理,其实质是流体的机械能守恒。伯努利方程如下:

式中p为流体中某点的压强,v为流体该点的流速,ρ为流体密度,g为重力加速度,z为该点所在高度。取流体的A、B两点,伯努利方程亦可描述如下:

用能量来描述就是:动能+重力势能+压力势能=常数。
其最为著名的推论为:等高流动时,流速大,压力就小;流速小,压力就大。这种现象通常称为伯努利效应。
三、伯努利方程适用范围
任何原理都有一定的适用范围,无规矩不能成方圆,伯努利方程也有自己的应用范围。伯努利方程使用限制条件如下:
- 无粘性流体
- 不可压流体
- 定常流
- 沿线流
这里需要补充下就是如果加入能量损失就可以适用粘性流体了。我们都知道我们平常生活中遇到的流体都是有粘性的,除了特殊条件下的超流体。有兴趣的自己可以查下超流体资料。
四、伯努利方程生活中应用
这个经典理论和方程,在生活中是存在很多常见的场景的。当你看到的场景可以用这个“流体(气体和液体)流速非常快时,压强就会变得很小;相反的,流速慢时,压强就大了。”来解释时,你就看到了伯努利理论或方程的应用了。下面是几个常见的例子,以后遇到这些情景就要反应过来,可以和旁边的人说这是伯努利效应,高大上的卖弄哦,哈哈。
4.1、等地铁或高铁要站在黄线以外
当地铁或高铁高速行驶过来,人与地铁之间的气流被车带动起来速度很快,那么,人与车之间压力就减小,而人背后的压力是正常的,这样前后两种压力就形成了一股强大的压力差,会感受到背后一股推力推向地铁或高铁,造成伤害。

4.2、飞机能飞上天
飞机飞行时机翼周围空气的流线分布是指机翼横截面的形状上下不对称,机翼上方的流线密,流速大,下方的流线疏,流速小。由伯努利方程可知,机翼上方的压强小,下方的压强大。这样就产生了作用在机翼上的方向的升力。当然啦,这是飞机的升力的其中一部分,还有一部分升力是负压涡流提供的。

4.3、汽油发动机的化油器
化油器是向汽缸里供给燃料与空气的混合物的装置,构造原理是指当汽缸里的活塞做吸气冲程时,空气被吸入管内,在流经管的狭窄部分时流速大,压强小,汽油就从安装在狭窄部分的喷嘴流出,被喷成雾状,形成油气混合物进入汽缸。

4.4、帆船能够逆风航行
帆船顺风行驶是最慢的,侧风行驶速度也不快,逆风行驶反而是最快的。帆船能逆风前进与机翼同理,把机翼立起来就可以看到,因为帆不是一个硬绷绷的平面,在受风时,它是三度空间形状。这种弧形使得吹过帆下风面的气流与通过帆上风面的气流有压强差,从而产生推力。
保持船头与海风的方向呈30-40度角时,推动效率最高。在2000年8月,法国人设计的“Hydroptere”号帆船在风速只有15节的情况下,速度却达到了35节(略低于70公里时速)。


4.5、球类中的弧形球
弧旋球又称“弧线球”,“香蕉球”,是足球运动中的技术名词(英语bananaball)。指运动员运用脚法,踢出球后并使球在空中向前作弧线运行的踢球技术。
以右脚球员为例,当球员用右脚内侧“搓”球时,由于与脚内侧的摩擦,足球在向球门方向运动时会产生逆时针方向的旋转。当球转动时,空气就与球面发生摩擦,在球周围产生与球旋转方向一致的气流。由于足球向球门方向运动,旋转方向为逆时针(右脚搓球),而球左侧摩擦产生的气流的流动方向与飞行中迎面遇到的气流方向相同,因此球左侧的空气流动速度较快。与此同时,球右侧的这两股气流的方向相反,所以球右侧气流速度较慢。
依据这一原理,右脚内侧搓起的“香蕉球”在飞行时会感受到一个横向的压力差,形成横向作用力(即马格努斯力),使原本向右飞行的球逐渐向左偏转。反之用左脚内侧搓起的“香蕉球”则先向左飞再向右偏转。


实际生活中有非常多伯努利原理或方程应用的情景,这里不一一列举了,希望上面几个例子能够给您举一反三吧。现在明白伯努利原理或方程能够成为流体力学中的经典之一的魅力所在了吗?