电影里有句台词:“让*弹子**飞一会儿”风靡一时。
*弹子**到底是怎么飞的?这似乎是一个很傻的问题,因为学过高中物理的孩子都会脱口而出:“抛物线呗!”
*弹子**真的是按抛物线的轨迹飞行的吗?它是怎么飞的?*弹子**到底能飞多久?我们今天要就这些问题好好说道说道,因为它背后的答案会出乎你意料。

飞行的*弹子**
什么是抛物线?
热爱体育运动的你对抛物线一定不陌生,篮球、排球在空中划过的曲线是抛物线,铅球的抛物线近乎完美。但足球、网球和乒乓球的运动路径就不一定了,由于受马格努斯效应的影响,它们会发生侧向偏转,也就是大家俗称的“香蕉球”和“弧圈球”。

铅球的抛物线运动
受地心引力影响,我们扔出去的球总会落回到地面。球在空中飞行时会有两个力(忽略空气阻力时)作用于它:惯性力使其向前运动,而地球对物体的引力则会将它向下拉拽。球在运动中的速度我们可以将其分解为Vx和Vy。

抛物线的分解
在初始速度V0和重力加速度的共同作用下,球沿着一条二维曲线前进,直到落回地面,这条曲线就是抛物线。在物理上,完美抛物线可以分解为一个水平方向的匀速运动与垂直方向自由落体运动,这两个运动相互独立,所以当我们知道球体的投掷速度与角度后就不难计算出它的射程。
*弹子**的飞行也是一样简单吗?并非如此。
*弹子**的运动不是抛物线
无论我们在学习自由落体运动还是在讲到抛物线运动的时候,都要反复强调一个重要因素,那就是“忽略空气阻力”。一方面是在非常短的运动距离内,空气对球体运动的影响比较轻微,另一个原因就是简化运算。然而只要你在地球上,特别是在分析*弹子**这种长距离运动物体时,就不能不考虑空气阻力的存在。
*弹子**飞行受到空气阻力的影响,它的轨迹被称为弹道曲线。弹道曲线是一开始平缓、越到后来越陡峭的复杂曲线,我们再也不能套用抛物线的简单公式去计算*弹子**复杂的飞行弹道了。

弹道曲线与抛物线不一样
为什么会出现这种情况?这先要归结于*弹子**的速度。
你将手伸入水中,几乎不会感觉到阻力;当你的手在水中划动,就会感觉到水在阻止手掌的前进;手划动的速度越快,受到水的阻力也就越大。
我们知道空气是流体,它与水有共同的特点,那就是有粘滞力和拖曳力,这就是空气阻力。另外,空气还可以被压缩,在运动物体前方产生冲击波,这在一定的速度下也会影响物体的运动。
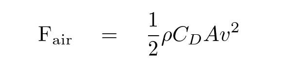
空气阻力的大小受多种因素影响,比如空气的密度、温湿度、运动物体表面的粗糙度、运动方向的投影面积、以及物体运动的速度等等。一般来说,物体在运动中受到的空气阻力大小可以以下面的方程来表示:

空气阻力方程
从这个方程我们可以看出,*弹子**在飞行中受到的阻力大小与它速度的平方成正比,*弹子**飞得越快,它受到的阻力会呈指数级放大。当然方程中其它元素也很重要,只是为了不让文章过于冗长,我们不做重点介绍。
*弹子**是怎么飞的?
手枪*弹子**飞行距离短,为了保证更有效地*伤杀**目标,它被制成各种古怪的外形,空气阻力并不是主要考虑的因素,这一点我们已经在之前的文章中详细介绍过。
步枪不同,作为一种远距离*伤杀***器武**,它的*弹子**需要最大限度地解决空气阻力的不利影响,同时还要兼顾准确和最大程度的*伤杀**效果。因此步枪弹头需要格外考虑空气动力学,它们大多被设计成前端尖尖、后部扁平,剖面类似船的形状。

步枪*弹子**剖面图
为了使*弹子**拥有更稳定的弹道,枪管里被用工具拉出一道道螺纹,称作“来复线”。这样,当*弹子**头被*药火**推动着在枪膛里前进时,来复线会同时让它沿着轴线旋转起来。

来复线让*弹子**旋转起来
*弹子**通过来复线获得了沿轴线旋转的动能,它在空气中是像陀螺一样旋转着向前飞行的。由于旋转物体角动量守恒,*弹子**可以始终保持尖端向前飞行的状态,它的横截面面积最小,这比那些在空中翻跟斗的*弹子**受空气阻力的影响会更小一些。

*弹子**的陀螺运动
*弹子**到底飞多久?
电影里的主角说:“让*弹子**飞一会儿”。似乎*弹子**需要在空中飞挺久才能击中目标,按照正常的语速,至少也得4、5秒吧。事实果真如此吗?
我们来看看一枚7.62毫米北约标准*弹子**的飞行数据:它的枪口速度约792米/秒,击中50码(45.7米)距离目标用时0.058秒,击中100码(91.4米)目标耗时0.116秒,命中150码(137.2米)距离目标用时0.174秒。人眨一下眼睛的时间大约是0.1~0.2秒左右。快不快?
步枪*弹子**在100米的射击距离内,它的弹道非常低平,基本上是瞄哪打哪。但如果一名*击狙**手想要狙杀一个2000米外的移动目标时,就必须要考虑用什么*弹子**,并且好好计划一下提前量了。

*击狙**手射击时需要考虑提前量
好的射手需要一支好枪,更需要好的*弹子**。普通步枪*弹子**在100~300米射程内问题不大,但这些大批量制造的*弹子**比较粗糙,它们的弹道系数大约只有0.3~0.4,完全不能满足超远距离射击的要求。*击狙**手要求的弹道系数至少要在0.5~0.7,少数定制的超高精度*击狙**弹的弹道系数甚至高于1.0。
Lapua Scenar GB528 19.44 g(300 gr)8.59 mm(0.338 in)极低阻力*弹子**的弹道系数0.785,它的膛口速度为830m/s。*弹子**飞行300米距离用时0.3918秒;到1200米距离用时2.0435秒;飞行2100米用时4.7522秒;到3000米时耗时8.29秒,此时它的速度已经下降到227m/s,高度比出膛时下降了241.73米。由此看来,姜文说话的当儿,那*弹子**至少应该飞到2公里之外了。

超低阻力*弹子**在飞行时受到的阻力
*弹子**的飞行还受到风的影响,由于*弹子**是旋转着前进的,侧风不仅会使它左右偏转,同时还会因为马格努斯效应而产生向上或向下的弹道飘移。即便是静止无风的情况下,飘移也会发生,就像我们打乒乓球时拉出一记弧圈球那样。鉴于相关的分析更加复杂,在此一笔带过,不再深入了。

马格努斯效应会使*弹子**发生偏转
回顾:
关于*弹子**的飞行,我们用了大约2000字来进行了简单的分析。
*弹子**在空气中飞行,它的运动受空气阻力影响,因此走的不是抛物线,而是更加复杂的弹道曲线。
为了最大限度地减少空气阻力影响,超音速飞行的步枪*弹子**被设计成前端尖尖的形状,同时我们还通过枪管里的来复线让*弹子**旋转起来,以保证尖端向前飞行。即便如此,空气阻力还是能将一颗设计完美的*弹子**从2马赫速度拖慢到200米/秒,强弩之末时你甚至可以徒手抓住它。
*击狙**手攻击2公里外目标时需要有点儿耐心,因为*弹子**确实需要飞几秒钟,但在200米距离内它几乎是瞬间到达,比眨眼都快。

*击狙**手有时需要让*弹子**飞一会儿
“让*弹子**飞一会儿”?它比你吹的牛快多啦!