现代社会中,从个人生活到企业管理,从日常通信到国家安全都离不开"密码"。古罗马凯撒大帝被认为是最早使用数学知识来对信息进行加密的人之一。为了确保信息安全,信息需要加密传输。

发送方由明文→加密→密文,接收方由密文→解密→明文。
明文:不希望被未经允许的人看到的信息,可以是文字、符号、图形、图像、数据等任何表现形式
加密:对明文的信息或搭载信息的信号进行处理,使其变得难以判读的操作过程,在现代技术条件下大多数就是某种算法。
密文:明文经过加密后所呈现的信息。
解密:持有密钥的人将已被加密的信息进行还原的形式和步骤。
莱布尼茨还对二进制的发展做出了贡献。早在1679年,他就发明了二进制算术。他曾断言:"二进制是具有世界普遍性的、最完美的逻辑语言。"在今天德国图林根著名的郭塔王宫图书馆里,仍保存着一份莱布尼茨的手稿,标题为《1与0,一切数字的神奇渊源》。在莱布尼茨的二进制中,通过对0与1的引申,可以表示一切数字,如000、001、010、011、100分别代表着0~4这几个数字。

1703年,法国汉学大师若阿基姆·布韦(汉名白晋,1662-1732)向莱布尼茨介绍了中国的《周易》和八卦图。在莱布尼茨看来,八卦中的"阴"和"阳"犹如他的二进制的中国版。如果把阴爻看作0,把阳爻看作1,所有的卦象也可以看成是0和1的组合,比如坤卦就是000000,乾卦就是111111,大有卦就是111101等。六十四卦图,正好对应二进制算术中从0到63的数字。

从控制论到通信理论,从计算机到人工智能,从电气时代迈入信息时代,一群才华横溢的数学家以深邃的洞察力奠定了信息化社会的技术基础20世纪40年代后期,人们从长期的通信实践中总结出一门学科——信息论。其标志是著名数学家、美国科学院院士香农于1948年发表的具有里程碑性质的论文《通信的数学原理》,该文首次为通信过程建立了数学模型,用充满天才直觉的新概念和23个定理,精确计算出通信的理论极限和数据压缩的理论极限,用数学勾画出一项技术的构架。
图灵(1912-1954),英国著名数学家、逻辑学家。1936年,图灵发表《论可计算数及其在判定问题中的应用》构造尚在想象中的计算机,数学家称为"图灵机"。
能破译密码问题的关键是:读懂明文与密文的变换公式,逆变换公式,确定字母的取值范围,并恰当选择公式。
在《通信的数学原理》中,香农(1916-2001)开创性地定义了"信息",这个定义与语义无关,而是反映了将"信息"编码成由简单的0和1表示的语言能力,香农作为信息论的奠基者,跻身于20世纪最杰出的科学家之列,被称为"信息论之父"。
第二次世界大战期间,波兰、英国和美国的一批数学家破译德国和日本的密码,改变了战争的进程,为赢得这场战争作出重要贡献。
破译密码,让我们看到数学与世界经历着同样的历程——战争与和平,凋零与繁华,隐秘的数学英雄以数学为*器武**守卫着世界,并印证了数学在抽象华美的外衣下,蕴含的是能将智慧发挥到极致的伟大力量。
1949年美国数学家香农发表的《保密系统的通信理论》论文,建立了保密通信的数学原理,加密与解密成为了一种科学——密码学和密码分析学。

例1.阅读下列材料,并回答问题

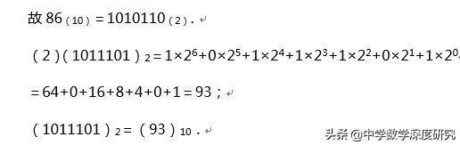
(1)将86化成二进制;
(2)将1011101化成十进制.
【解析】(1)十进制化成二进制用"除k取余法"是将十进制数除以2,然后将商继续除以2,直到商为0,然后将依次所得的余数倒序排列即可得到答案.
(2)将二进制数转化为十进制数,可以用每个数位上的数字乘以对应的权重,累加后,即可得到答案.
(1)86÷2=43,43÷2=21…1,21÷2=10…1,10÷2=5…0,5÷2=2…1,
2÷2=1…0,1÷2=0…1,

本题考查的知识点是不同进制之间的转换,其中其它进制转为十进制方法均为累加数字×权重,十进制转换为其它进制均采用除K求余法.
本例渗透了计算机的基本知识—"二进制计算",无论何种进制的数都可表示为与数位上的数字及进制值有关联的和的形式。
例2.按下面的程序计算,若开始输入的值x为正数,最后输出的结果为1339,则满足条件的x的不同值最多有( )

A.2个 B.3个 C.4个 D.5个
【解析】根据题意可知,设输入x,则直接输出6x+1,且6x+1>0,那么就有6x+1=1339,解得x=223.
若不是直接输出6x+1>0,那么就有①6x+1=223,解得x=37;
就有②6x+1=37,解得x=6;就有③6x+1=6,解得x=5/6.
因为x是正数,所以不用再逆推.因此符合条件的一共有四个数,分别是223,37,6,5/6.故选:C.
变式.按下面的程序计算,

(1)若开始输入的值x=﹣6,最后输出的结果为______;
(2)若开始输入的x的值为负,最终输出结果为﹣341,则满足条件的x的不同值有哪些?并简要写出探求的过程.
【解答】:(1)把x=﹣6代入程序中得:(﹣6)×4﹣1=﹣24﹣1=﹣25>﹣200,
把x=﹣25代入程序中得:(﹣25)×4﹣1=﹣100﹣1=﹣101>﹣200,
把x=﹣101代入程序中得:(﹣101)×4﹣1=﹣404﹣1=﹣405<﹣200,
则最后输出结果为﹣405;
故答案为:﹣405
(2)根据题意得:4x﹣1=﹣341,即x=﹣85;
4x﹣1=﹣85,即x=﹣21;4x﹣1=﹣21,即x=﹣5;
4x﹣1=﹣5,即x=﹣1;4x﹣1=﹣1,即x=0,
则x的所有可能值为﹣85,﹣21,﹣5,﹣1.

…可以看出,从第5次开始,结果就只是1,4两个数轮流出现,
且当次数为偶数时,结果是4,次数是奇数时,结果是1,第2019次是奇数,结果是1,故选:D.
例3.先阅读下面的材料,再解答后面的问题.
现代社会对保密要求越来越高,密码正在成为人们生活的一部分,有一种密码的明文(真实文)按计算器键盘字母排列分解,其中Q、W、E、…、N、M这26个字母依次对应1、2、3…、25、26这26个自然数(见表):

再如:将密文X转换成明文,X→21→3×(21﹣17)﹣2=10→P,即X变为P;
将密文D转换成明文,D→13→3×(13﹣8)﹣1=14→F,即D变为F;
(1)按上述方法将明文NET译为密文;
(2)若按上述方法将明文译成的密文为DMN,请找出它的明文.

(2)13→3×(13﹣8)﹣1=14,即D变为F;
2→3×(2﹣0)=6,即W变为Y;
25→3×(25﹣17)﹣2=22,N变为C.
变式。 在密码学中,称直接可以看到的内容为明码,对明码进行某种处理后得到的内容为密码.对于英文,人们将26个字母按顺序分别对应整数0到25,

(4)检验单词的正确性,hope合适.故答案为hope.

例4.你觉得手机很神奇吗?它能在瞬间清晰地传递声音、文字、图像等信息,据说以后还能发送味道、触觉等信息呢!这都是手机中芯片的功劳。其实,这些信号在芯片中都是以二进制数的形式给出的。每个二进制数都由0和1构成,芯片上电子元件的"开"、"关"分别代表"1"和"0"。一组电子元件的"开""关"状态就表示相应的二进制数,例如"开""开""关"表示"110"。
如图,芯片的某段电路上分布着一组电子
元件(假设它们首尾不相连),且相邻的两个元
件不能同时是关的(以下各小题要求写出解答过程)
(1)若此电路上有4个元件,则这4个元件所有不同的"开""关"状态共有多少种?(请一一列出)

分析与解对于(1),通过穷举,得出相应的结果;对于(2),从特例入手,归纳出相应关系式。
(1)用"1"表示"开","0"表示"关",则所有不同的"开""关"的状态共8种,可表示为:


总之,程序框图是一种用规定、指向线及文字说明来准确、直观地表示算法的图形。它能清晰地展现算法的逻辑结构,常见的逻辑结构有:顺序结构、条件结构、循环结构。当代著名计算机专家沃斯说过:"程序=算法+逻辑结构。"