杨运平 刘志鹏
中交第二公路勘察设计研究院有限公司
摘 要: 本文分析了B型喇叭形立交出口分流鼻楔形端与前方跨线桥之间存在的安全隐患,从解决此问题为出发角度,结合交通心理学建立驾驶员驶出过程的四阶段行为模型,重点建立基于了混合型正弦曲线变道模型和二阶爱尔朗车头时距等待段距离模型。通过所建模型,从理论上论证了规范中关于此问题单一标准的不合理性。并运用模型计算了不同设计速度下双向四车道和双向六车道B型喇叭形立交出口端与前方跨线桥的最小间距。通过建立UCWin/Road和驾驶模拟器进行仿真实验,以驾驶员的心率变化和运动轨迹为指标,实验结果既验证了理论计算模型的正确性,同时给出了不同条件下的最佳间距区间。
关键词: B型喇叭形立交;跨线桥;最小距离;计算模型;仿真模拟;
喇叭形互通式立体交叉是国内目前应用较为广泛的立交形式,以三岔式较为著名,常见于高等级公路的建设中使用,主要是因为喇叭式立交可以降低造价和节约建筑面积。三岔互通式立交一般可归结为A型、B型,A型主要为驶入型,即车辆进入匝道以较高速度并入主线;B型主要为驶出型,即车辆降低速度进入出口匝道驶离主线。A型由于车速较快,车流可以快速顺畅通过匝道进入主线,因此A型喇叭式立交应用较多。B型因其可能会影响主线交通而应用较少,一般在地理条件不允许时才会选择B型喇叭式立交。而且,B型喇叭式立交供驶离主线车辆使用的减速车道出口分流鼻楔形端(后文简称“出口端”)和前方跨线桥之间的距离较短,使得跨线桥结构物如桥墩等有可能会影响驶出车辆司机的视距,同时也会影响到大型车辆司机的视线情况,不良的视线情况使司机不能及时看到出口楔形端,导致错过出口或者强行变换车道,甚至发生交通事故。
尽管B型喇叭形立交应用较广泛,但其本身存在的缺点也很突出,为了保证行车安全,国内外很多学者对此进行研究。王方杰通过研究发现了新的环形匝道出口设计方法,即借助卵形曲线优化出口线形的设计保证行车安全。张景涛系统的阐述了B型喇叭形立交的优缺点,提出了设置边孔跨等系统的行车安全保证措施。
国内《公路路线设计规范》(JTG D20-2017)(以下简称“《规范》”)规定:匝道出口处应设置在易于观察的地点且应设置醒目标识以提醒驾驶员,宜把出口分流鼻设置在跨线桥之前;地形限制时可将出口设置于跨线桥之后,但要保证150m的安全距离。但该规范值并没有区分不同设计速度、车道数等交通情况,显然不同情况下所需的安全距离是不同的。
本文以喇叭形互通式立交的出口位置和跨线桥之间的间距为研究对象,结合交通心理学相关理论和B型喇叭形立交出口端的实际情况,确立了集四段计算模型为一体的最小间隔距离模型,旨在从理论上论证最小间隔距离的影响因素,证明规范中仅仅设置150m安全距离为单一指标的不足。并计算双向四车道和六车道高速公路不同主线设计速度情况下匝道出口端位置与前方跨线桥之间的最短距离,给出设计参考值。
1 四阶段计算模型建立
高速公路出口分流区交通流为非自由流,驶出匝道的车辆本身会存在变换车道、减速、等待间隙、与直行车辆交织等行为,这些会影响驾驶员心理,导致其心率波动增大、紧张、注意力分散;若前方道路状况复杂,如存在跨线桥、横坡变化较快、标志较多等,会进一步影响驾驶员操作。B型喇叭形立交保障措施虽然较多,但当受地形、地物条件限制,出口位置不得已设置于跨线桥之后时,因为跨线桥结构物影响视距,若驾驶员未注意到前面立交出口预告标识,在车辆经过跨线桥之后发现出口位置,假如没有足够的安全距离保证驾驶员采取措施减速变道以进入出口匝道,就会导致驾驶员手忙脚乱的情形,甚至引发交通事故。
交通心理学正是研究驾驶员和行人在交通过程中心理活动和生理特征的综合学科,驾驶员利用感官感知已有的交通条件,进行分析、思考、判断,最后做出有利的行动。《交通工程手册》中把驾驶员发现标识物后的认知行为分为五个阶段:发现阶段、识别阶段、记忆阶段、明确阶段以及采取措施阶段;李爱增等借助交通心理学的理论知识将司机发现标识物后的认知行为分为四个阶段:发现标志阶段、认识标志阶段、决策阶段和采取行动阶段。
B型喇叭形立交出口端,以双向四车道的主线道路为例,内侧车道相对于外侧车道更为不利。当内测车道正常行驶的车辆刚经过跨线桥后即发现匝道出口位置,在发现阶段车辆行驶的长度称为发现段,记为L1;随后司机在去找机会进入外侧车道的等待时间内车辆行驶的距离称为等待段,记为L2;找到机会后车辆在变道阶段行驶的距离称为变道段,记为L3;当驶入减速车道,采取措施保证和减速车道上其他车辆的安全距离称为确认段,记为L4。所以结合交通心理学相关理论和B型喇叭形立交出口端具体情况,本文将司机发现立交出口匝道位置后的行为分为以下4个阶段:发现阶段、等待阶段、变道阶段以及确认阶段,如图1所示。

图1 间距模型示意图 *载下**原图
因此B型喇叭式立体交叉匝道出口端和跨线桥之间的最小长度S的计算模型如式(1)。

2 模型参数确定
2.1 发现段距离模型
车辆经过跨线桥后立即发现匝道出口端的位置,此时,司机会有一定的反应时间,车辆仍保持原状态行驶,这一阶段时间非常短,因此可把车辆的行驶速度记为匀速,这一阶段的距离近似等于以道路设计速度前进2.5秒的长度。发现阶段距离模型如式(2)。

式中:vd为主线设计速度(km/h)
2.2 等待段距离模型
目前研究者普遍认为,在正常道路状态下,车辆进入匝道出口端可认为服从泊松分布,车头时距符合负指数分布,能够借助移位负指数分布曲线介绍,车头时距服从移位二阶爱尔朗分布,其概率密度如式(3)。采用交通流理论进行计算,得到平均等待时间如式(4),基于改进后的车头时距模型,计算得到等待段距离模型行如式(5)。

式中:λ为单位时间的平均到达概率(veh/h),λ/2=Q/3600,Q为高速公路三级服务水平对应最大交通量;τ为车头时距最小值(s);tc为可插入间隙(s),本文取3.2s;τ=1~1.5s,本文取1.2s;
2.3 变道段距离模型
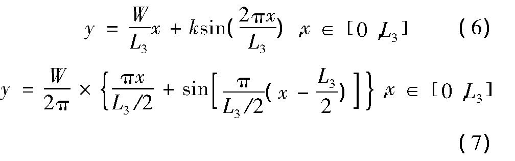
车辆驶过跨线桥之后,经历发现阶段、等待阶段后进入变道阶段,变道阶段车辆行驶的距离也是不可忽略的一部分。变换车道应用的计算模型很多,如圆形变道模型、缓和曲线变道模型、一次函数变道模型及三角函数变道模型。本文采用的数学计算模型为线性函数和正弦函数叠加的混合型正弦曲线模型,其初始函数为y=x+sin(x)x∈[0,2π],力求模型更加符合现实车辆变道的规律以及安全行驶的考虑,需要对模型的公式进行了改进如(6),根据正弦函数特性知在点(0,0)处,该函数的斜率为0,经计算k=-W/2π,将k代入式(6)后得式(7)。

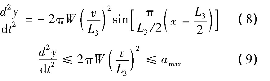
通过路程、速度与加速度关系可以计算出车辆安全稳定行驶加速度,式(8),加速度应满足式(9),进而可以得到变道距离模型式(10)。最大允许横向加速度由式(11)计算得到。


式中:W为车辆换道的横移距离(m);L3为车辆换道的纵移距离(m);x为车辆距换道起点的距离(m);即dx=vdt,v为设计速度。amax为横向最大加速度(m/s2m·s-2m·s-2);μ为横向力系数;ih为路面超高横坡;g为加速度,取9.8m/s2。
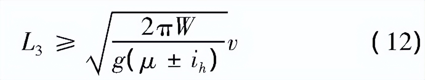
最终得到混合型正弦曲线变道模型,公式为(12)。

2.4 确认段距离模型
根据潘兵宏等研究,确认段安全距离一般取3s设计速度行程长度即可。在120、100、60km/h的设计速度下的确认段长度值如表1所示。
表1 常规设计速度下的确认段长度值 *载下**原图

2.5 最小间距
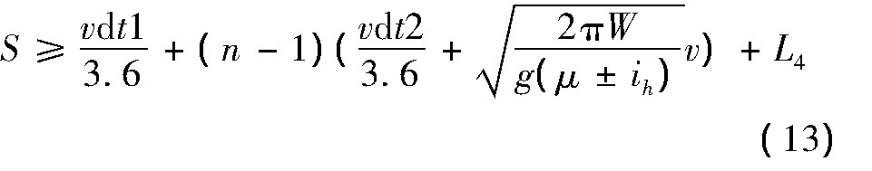
综合四段计算模型,双向四车道B型喇叭式立体交叉匝道出口端和跨线桥之间的最小长度的计算模型见式(13),n为单向车道数。

从公式(13)中可以看出:在道路环境如超高、车道宽度等不变时,B型喇叭形立体交叉匝道出口端与跨线桥之间的最短距离随着车速和车道宽度的增大而增大,在设计速度与车道数以及车道宽度不变时,B型喇叭形立体交叉匝道出口端与跨线桥之间的最短距离又随此段距离超高的增大而增大。所以正如公式所示,最短距离的影响因素很多,在设计时应全面考虑诸多因素。而规范中并没有考虑诸多因素,只是单一设定150m的安全距离,这是不客观也是不准确的。
结合上面给出的计算模型,通过计算得到了B型喇叭形立交出口端与前方跨线桥最小间距推荐值(超高考虑为正常路拱横坡2%)。计算结果如表2所示。
由表2可知:
(1)设计速度不变时,最小间距与车道数呈正相关;车道数不变时,最小间距与设计速度呈正相关;
表2 B型喇叭形立交出口端与前方跨线桥最小间距推荐值 *载下**原图

(2)表中给出的推荐值均大于规范规定的150m安全距离,所以可见规范规定的安全距离是偏小的,存在较大的安全风险。尤其在双向六车道的车速为100km/h或120km/h时,所需的最小间距为667m和528m,远远超于规范值。
(3)要保证B型喇叭形立交出口端的行车安全,如果必须仅从最小距离角度考虑,有必要对规范作出修正,需结合车道数和设计速度,做出不同的安全距离设置。
3 仿真模拟
3.1 仿真建模
前面章节采用理论分析法建立了数学模型,计算得到了立交出口分流鼻楔形端与跨线桥最小间距推荐值,为了验证结果的合理性及可靠性,本节采用UCWin/Road和驾驶模拟器进行仿真建模。
试验建立36个UC驾驶模型,选取8名试验者(年龄25~35岁)参与测试,4名驾龄在3年以上,4名驾龄在1~2年,每个模型试验者驾驶1次,采用心率监测仪获取心率数据,采用UCWin/Road记录车辆行驶轨迹数据。分流鼻端前100m范围内峰值心率大于140次/min试验者占总体的比值来评价间距对驾驶员的心、生理影响,成功使出立交的试验者占总体的比值来评价间距的优劣。实验参数如表3所示。
表3 实验参数 *载下**原图

3.2 仿真结果
通过实验得到了288组心率数据和车辆行驶轨迹数据,通过整理分析,得到了双向四车道和双向六车道间距S-心率比率图(图2、图3)和间距S-车辆成功驶出率图(图4、图5)。

图2 双向四车道间距S-心率比率图 *载下**原图

图3 双向六车道间距S-心率比率图 *载下**原图
由288组心率数据及图4、图5可知:(1)随着间距S的增加,试验者心率越平稳;(2)双向四、六车道设计速度相同时,间距S越大,试验者心率越平稳;设计速度越低,试验者心率越平稳;(3)间距S为150m(除了双向四车道设计速度80km/h)所有试验者心率全程都波动幅度很大,个别出现不适反应;(4)上节理论模型计算得到的间距对应的心率受影响的实验者占比小于30%。可知理论计算结果是合理的。从驾驶员的舒适性和操作安全性角度分析,增大间距是必要的。

图4 双向四车道间距S-车辆成功驶出率图 *载下**原图
由288组UC车辆行驶轨迹数据及图4、图5可知:(1)随着间距S的增加,驶出成功率先增加后减少,并不是间距越大越好;(2)理论模型的计算结果均在80%以上成功驶出率的范围内,这便验证了理论模型的正确性;(3)在保证80%以上的成功驶出率,四车道和六车道在不同设计速度下均存在最佳间距范围,并不是间距越大越好,这在理论模型的基础上得以拓展,结果更加准确完善,且更具实际操作性。表4为综合理论计算模型和仿真模型,给出的最终最佳间距推荐值。

图5 双向六车道间距S-车辆成功驶出率图 *载下**原图
表4 基于计算和仿真的最终间距推荐 *载下**原图

4 结论
(1)本文根据汽车变道轨迹特征建立了混合型正弦曲线变道模型,并结合交通心理学建立了集四段模型为一体的B型喇叭形立体交叉匝道出口端和跨线桥之间的最短距离计算模型。
(2)通过理论模型分析,得到了最短距离受设计速度、车道数、车道宽度以及超高的综合影响规律,从理论上指出了现有规范仅用单一标准考虑此问题的不合理性。
(3)结合相关特征参数,运用计算模型给出了不同设计速度情况下双向四车道和双向六车道B型喇叭形立体交叉匝道出口端位置和跨线桥之间最短距离的推荐值,具有实际参考意义。
(4)通过UCWin/Road和驾驶模拟器进行仿真建模,以驾驶员的心率变化和运动轨迹为指标,既验证了理论计算模型的正确性,同时也拓展了理论模型的计算结果,给出了不同条件下的最佳间距区间,更具实际意义。
参考文献
[1] 杨少伟.道路勘测设计.人民交通出版社,2009.
[2] 赖文忠,张济锋.如何提出B型单喇叭互通立交运行的安全性.西部交通科技,2006(5):75-76.
[3] 王方杰.B喇叭形互通式立交环圈匝道出口线形优化设计.北方交通,2017(9).
[4] 张景涛.B型喇叭互通式立交的安全性评价与保障措施.长安大学,2013.

声明: 我们尊重原创,也注重分享。有部分内容来自互联网,版权归原作者所有,仅供学习参考之用,禁止用于商业用途,如无意中侵犯了哪个媒体、公司、企业或个人等的知识产权,请联系删除,另本头条号推送内容仅代表作者观点,与头条号运营方无关,内容真伪请读者自行鉴别,本头条号不承担任何责任。