我们都知道,赌徒们永远也赢不了*场赌**,不管投入多少本钱进去,最后都会血本无归。那么问题来了,赌徒们这么多,为什么永远也赢不了*场赌**呢?
必赢公式
赌徒们之所以赢不了*场赌**,其实是因为游戏规则是*场赌**设计的,而*场赌**则会设计出对自己有利的规则。

比如:猜*子骰**的点数,每次投注一元钱,如果你赢了,那么你将会获得5元钱,表面上看,每投资1元钱可以带来5元钱的潜在收益,所以你会去玩该游戏。但实际上,按照这种游戏规则玩下去,你早晚会赔完所有本金。

这是因为你赢了的话,纯利润4元;输的话,亏本1元,那么你的*率赔**则是4元。由于*子骰**一共有6个面,所以你赢的概率为1/6,而你输的概率则是5/6,那么你的期望值是1/6*4+5/6*(-1)=-1/6,也就是说平均每玩6次,你将会输掉1元钱。你玩的次数越多,赔的钱就越多。
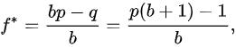
*场赌**的这个必赢公式叫做凯利公式,是由约翰.凯利在1956年发表在《贝尔系统技术期刊》的文章,这个公式非常简洁:

其中F为现有资金应进行下次投注的比例;B为投注可得到的*率赔**(不含本金),P为胜率,Q为败率。
其中当(bp-q)为负数时,那你就永远也不要下注,因为玩这种游戏对赌徒没有任何优势。
举例来说,还是掷*子骰**,每次投注1元钱,猜中了的话你将会获得7元钱,猜错的话本金将会没有。在这场游戏中,B就是6元钱,而P就是1/6,q就是5/6。那么(bp-q)=1/6,是正数,如果有这种游戏,那就代表着你赢得希望非常大。只要赌徒按照凯利公式的投注方式,不仅能保证本金,甚至还能赢得最多。

但如果每次掷*子骰**下注为1元,赢了时你会获得6元钱,那么bp-q=0,也就是不亏不赢,这种游戏也不要玩,因为会浪费时间;如果你每次掷*子骰**下注为1元,赢了会获得5元,那么bp-q=-1/6,由于结果是负数,所以你玩得越多,亏本就越多。
而*场赌**在设计规则时,就会利用凯利公式,将*率赔**设定为对自己有利的规则,比如掷*子骰**,赢了赌徒会获得5元,只要赌徒不停地玩,那么这个公式就会源源不断地为自己带来财富,所以赌徒永远也赢不了*场赌**。

公平的游戏赌徒为什么也会输?
如果有一个比较公平的游戏,你赢或者你输的概率都是50%,只有双方中有一方输完所有的钱时游戏才能停止。
如果你有10元钱,对方也有10元钱,那么你赢的概率依旧是50%;但如果对方有20元钱,那么你输的概率则是33.3%;如果对方的资金上不封顶,那么你输的概率则是100%。
这是因为对方有无限次机会可以翻盘,而你的资金不允许你出现过多的失误。所以即使是公平的游戏(必须玩到一方破产),那么你大概率也会输。

当然你可能会说,你曾经去香港赌钱就赢了,由此可见赌徒不一定输钱。但其实,你能赢钱是因为小数定律。
比如:理论上来说,随意掷*子骰**每一个点数出现的概率是相同的,都应该是1/6,但如果你只玩6次,有可能出现6次都是点数“1”,这并不是因为掷*子骰**的人作弊,而是因为掷*子骰**的次数比较少时,*子骰**的点数会随机出现,不受控制。
能够在*场赌**中赢钱的人,除了大神借助各种计算工具、模型之外,还有一些则是随机玩几把就撤的人, 他们玩得次数不够多,所以有可能赢钱 , 也有可能会赔钱。 如果赌徒玩得次数无限多,此时大数定律才会发挥出魔力,赌徒将会无限赔钱。

对于*场赌**来说,他在乎的并不是一个两个人能不能从*场赌**中赚到钱,而是*场赌**的赌盘能不能一直运转,只有一直运转,大数定律就会发挥出魔力,赌盘将会源源不断地为*场赌**带来收益。
所以,想要在*场赌**中全身而退,最好的方法就是不玩。
总结
*场赌**和赌徒之间并不是公平的游戏,*场赌**在设计游戏规则时就已经制定了对自己有利的规则,所以只要你一直赌下去,那么你将会一直输下去。无论什么赌局都是如此,当然也有赌徒赢过*场赌**的案例,下次找机会再详细聊。