
文字/翰林阅史
编辑/翰林阅史

引言
大多数人造草坪表面都使用沙子或橡胶(或两者兼有)进行填充,以优化球面和球员之间的相互作用力学性能。
本研究使用室内试验来探究填充量和污染对第二代砂填人造草坪运动表面性能的影响。

实验中构建了三个面积为1平方米的测试区域,通过在石沥青碎石橡胶减震垫亚基上放置人造草皮完成。
在不同填充量(0-35 kg/m2)和填充污染浓度(0%、10%和20%)的范围内,我们对凹坑橡胶鞋底的球回弹、球滚、表面回弹硬度和旋转阻力进行了测量。
随着填充量的增加,硬度、球回弹和旋转阻力均呈现线性增加的趋势(p < 0.01), 在填充量达到10 kg/m2后,测试范围内的数据变化没有进一步显著增加。

根据性能特征和纤维在填充物上的长度,我们确定了人造草坪表面测试的最佳填充量为25-30 kg/m2。
随着填充污染的增加,球的减速也增加,渗透速率下降,并且在干燥过程中表面保持湿润的时间更长(p < 0.001),从而创造了适合苔藓和藻类形成的条件。

为了保持人造草坪表面的良好状态,我们建议进行定期刷毛和监测填充量,以确保填充物均匀分布,并尽量减少填充物对人造草坪表面的污染。
这些维护措施对于保持人造草坪表面性能的一致性非常重要。

一、人造草坪构造、常见磨损威胁及基础养护要点
人造草坪表面包括簇绒或针织割绒地毯或编织或针刺(环)地毯,这些地毯由各种聚合物(通常是聚丙烯和聚乙烯,但历史上是聚酰胺)的合成纤维制成。
它们覆盖在构建的基础上,旨在为地毯提供稳定、水平、自由排水、负载支撑的底层。

进一步的优化可以通过地毯下的"减震垫"——一层弹性橡胶层实现。

目前最常见的人造草坪表面仍然是"第二代"(2G)填沙表面,采用短纤维(约25毫米)的聚丙烯地毯,覆盖在石头、沥青碎石和橡胶减震垫的基础上。
2G表面是一种折衷选择,适用于曲棍球、保龄球、足球、网球和多功能运动场。
"第三代"长桩人造草坪表面,填充沙子和橡胶,由于其更适合足球和橄榄球的特点,越来越受欢迎。

由于制造商和安装商的目标是降低成本、提高耐用性,并确保符合国际体育管理机构标准(如FIFA(2009)、FIH(2008)和IRB(2009)), 人造草坪表面的设计规范在纤维材料、纤维长度、底层结构、减震垫和填充材料等方面越来越多地进行变化。
相比天然草坪,人造草坪表面在固定的时间内更耐用,可以增加单位面积的运动使用强度,然而,人造草坪的维护需求与天然草坪有所不同,但不能认为人造草坪表面无需维护。

由于来自鞋类和曲棍球棒等装备的磨损颗粒、垃圾、空气污染以及土壤和植物物质会在表面积聚,随着时间的推移,这些杂质会被冲刷到填充物中,降低渗透速度,导致球场积水,并创造了适合苔藓生长的理想环境。
在实验室研究中证明, 当填充物污染达到10%时,2G地毯的渗透速率从150毫米/小时降低到50毫米/小时。
为了尽量减少污染的积累,人工草坪需要进行维护工作,包括使用动力旋转刷和拖刷,在小型拖拉机后面进行拖动,补救技术包括去除、清洁或更换填充物。

填土深度相对于纤维高度非常重要。
如果填充深度不足,纤维将无法得到足够的支撑,会发生封盖现象,纤维末端会发生纤颤,并在填充物上永久弯折,从而降低渗透速度。
过多的填充物会掩埋纤维,因此在纤维增强的沙子上填充物可以有效发挥作用。

由于体育运动中的滑动、脚踩和球棒击球等动作会重新分配沙子,导致沙子在空间上分布不均匀,这可以通过定期使用拖动刷解决。
填充物常常被清除到服装、装备和机械上,因此需要补充填充物,目前还没有公开的关于填充量、填充污染和人造草坪表面性能之间关系的数据。

为了建立填砂的第二代人造草坪表面的填充深度、污染和表面性能参数(球回弹、球滚、牵引力和硬度)之间的关系,我们提出本次实验研究。
我们设立了一个假想:人造草坪养护中存在一个最佳填充量(针对特定纤维长度),并且填充污染对表面性能有害。

二、人造草坪渗水率及保水率、球回弹、表面硬度测定
对于表面硬度、牵引力、球回弹和渗透测试,在钢托盘中构建了三个1 m x 1 m x 150 mm深的测试表面。
100毫米的MOT型1X石材被压实,并覆盖25毫米的沥青碎石,其中90%为6毫米碎石,在其上铺设15毫米预制SBR减震垫和24毫米桩高, 44100簇/m2,聚丙烯合成草皮地毯。

采用分选良好的直径为0.71-0.25 mm的硅砂填充,填充率为0、10、20、25、30和35 kg/m2。
填充物以5公斤的步骤施用,并用夯实装置轻压实刷入表面。
在污染测试中,将填砂与沙质壤土(<0.5 mm)预混合,模拟现场污染,然后以相同的方式施用;填充量为25 kg/m2。
对于所有的球滚测试,三个较长的(5米)表面铺设在水平混凝土实验室地板上,填充物和污染物以相同的方式施用。

在这种环境下,力的垂直分量仅限于重力作用,而球滚主要是水平过程, 假设减震垫的刚度足以抵抗球的偏转,则次地毯结构(次底座)对球滚的影响有限, 这种适应适合于在1米距离内测量无边缘效应的球减速。
球滚试验也考察了纤维取向的影响, 在实验中,使用通常用于人造草坪维护的聚丙烯拖刷对人造草坪表面进行拖刷,拖刷的纤维长150毫米,直径2毫米,对于搭扣表面(单纤维方向),表面在单一方向上刷50次。

一个160g,直径73 mm的曲棍球从1米(±5毫米)的高度按45度斜坡向下释放,定时门被放置在距离坡道底部2米(v1, m/s)和3米(v2, m/s)测量超过100毫米的球速度。
根据FIH合成草皮表面性能的原始要求,将同一个冰球从1.5米的高度垂直无旋转或冲击地扔到测试表面上,按预设这种类型的表面的球回弹在100到300毫米之间。
回弹高度(±20毫米)从球的表面到底面使用红外门阵列安装在导管(1.5米× 110毫米内径)上,间隔20毫米。

回弹硬度测定采用0.5 kg克莱格冲击锤(CIH)从表面上方0.55 m高度落下。
该装置的初始势能为2.70 J,与通常用于人体表面相互作用研究的2.25 kg (0.45 m下落高度)CIH相比,这减少了73%,它类似于冰球在球反弹装置中的势能(2.35 J)。
旋转阻力的测定旋转阻力,作为鞋表面牵引力的测量, 使用扭矩扳手在峰值扭矩(±1 Nm)时进行测定,当从静止处旋转带有凹痕橡胶鞋底(直径150毫米)的圆盘时,轴向加载46公斤。

三、填充物数量、填充物污染及刷毛方向的影响
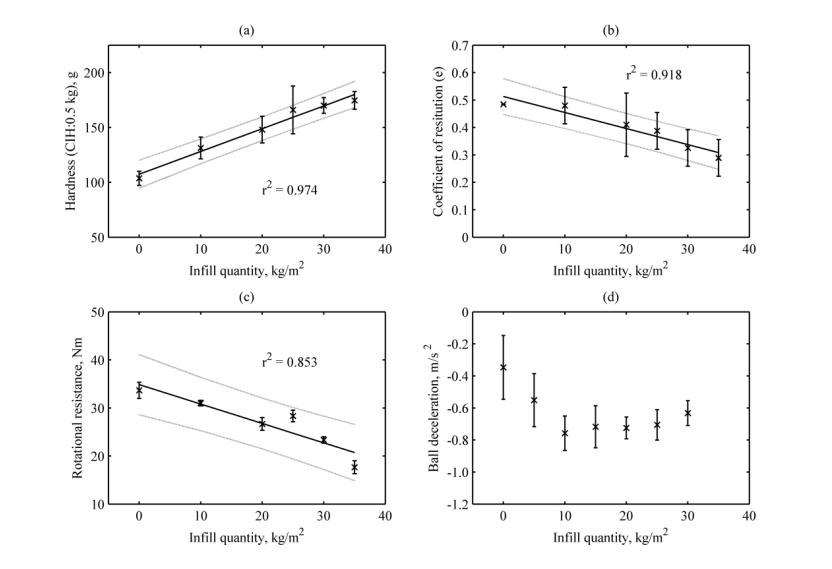
表面硬度随填充量的增加呈线性增加(p<0.001)。
这是因为随着填充量的增加,暴露的纤维长度减少,纤维的变形可能减少,增加了对CIH影响的减速。
表面硬度与球弹跳呈负相关(r = -0.8966;P <0.01),随填充量的增加线性降低(P <0.001),足球的回弹高度随着填充量的增加而降低。

他们还观察到克莱格锤的冲击更受冲击垫的影响,而不是填充量,但这是针对2.25公斤的克莱格锤,而不是本研究中使用的0.5公斤。
对黏土草皮板球场上垂直板球回弹和沙质天然草皮上足球回弹的研究表明,硬度和球回弹之间存在正相关关系,尽管其他研究板球回弹的报告称这些参数之间没有相关性。
所研究的板球和足球表面都受到压实和草植物的紧密束缚,足球和板球的刚度低于曲棍球。

在我们的研究中,更仔细地观察球的反弹行为表明,未绑定的沙子在水平方向上径向重新分布,减少了与表面碰撞时返回给球的能量。
圆柱形克莱格冲击锤撞击时未观察到水平位移,在0 ~ 35 kg/m2范围内,增加填充量可线性降低旋转阻力(r2 =0.853, p<0.05)。
在低填充量时,草皮纤维和一定程度上的填充物与旋转的凹陷橡胶鞋底互锁。
在较大的填充量下,纤维-鞋底接触面积减小,填充物具有较低的内部剪切阻力,因为圆形砂粒能够在牵引装置的剪切应力下移动。

最初减速的增加是由于额外填充材料引起的额外球表面摩擦。
填充物污染的影响不如填充物数量的影响明显,污染对硬度有意想不到的影响,污染在20%时显著降低(p<0.001)。
假设硬度会随着污染的增加而增加,这是由于填充物的更大的填料,由于污染降低了填充物分级的均匀性,这将导致恢复系数的增加。

污染对球回弹恢复系数无显著影响(p>0.05),对旋转阻力无显著影响(p>0.05),但球的减速随污染呈显著线性增加(r2 >0.999;p < 0.01)。
填充污染显著降低了渗透速率(p<0.001), 这是因为污染减少了填充基质内的孔隙大小,降低了水进入和通过填充的导电性。

实验中,我们还观察到填料对减小孔隙大小的影响(p<0.001),由于毛细作用,减小孔隙大小也会增加水潴留,因此增加填充污染会使表面保持更长时间的湿润(p<0.001)。
减少表面干燥促进了苔藓和藻类生长的环境,这可能导致不美观的表面,并且污染为苔藓和藻类生长提供了基质。

与直立纤维相比,将纤维远离滚球装置显著降低了球的减速(p<0.001),当纤维朝向球滚装置时,与纤维竖直状态相比,减速显著增加。
当球在纤维尖上滚动时,纤维的阻力更大,球的速度就会减慢,反之亦然。
保持纤维垂直是至关重要的——通过产生交替的绒毛来实现的“条纹”表面会导致球在与绒毛不平行的方向上产生明显的偏差。

在这个填充量范围内,旋转阻力的95%置信区间从32纳米下降到15纳米,低于国际足联(2009)的最低阈值,尽管该标准是针对在较长的草地上踢球的有钉鞋。
在对类似填砂表面的调查中,报告了恢复系数的平均值为0.33,硬度为126 g (CIH 0.5kg),旋转阻力为28 Nm。
在20和35 kg/m2之间,球减速没有显著变化,但填充物数量超过32 kg/m2意味着纤维将被埋在填充物下方,少于25 kg/m2将在填充物上方留下>5毫米的纤维,增加了封盖的风险。

有规律的拖刷以确保填充均匀分布是很重要的, 可能需要补充填充量,但必须旋转刷刷方向,以防止形成绒毛,从而显著影响球滚。
填充物污染对比赛性能参数的影响不太明显,随着填充物污染的增加,球的减速显著增加,这意味着球的滚动将明显减少。

填充物污染的增加显著降低了渗透速率,根据FIH(2008)的标准,“国家”最小入渗速率为150毫米/小时。
在10%的污染下,压实填料的渗透速率(与现场条件最相似)低于该标准,即使在经过维护的表面上,污染也可能接近这个数字,在不进行维护的情况下更是经常超标。
定期使用反向旋转的电动刷子刷洗表面,并保持鞋子的清洁以防止污染,对于防止渗透速度的下降是至关重要的。

人造草坪设施的设计应该考虑为使用者和维修人员提供清洁通道,以最大限度地减少鞋类污染物的进入,防止周围土壤和草坪区域的污染。
添加的污染物是土壤,一定程度上可以作为鞋类材料的代表,但它不包括可能对污染实验产生影响的草皮纤维磨损碎片或比赛设备。
在现场,污染物会积聚在填充物轮廓的表面,然后从顶部冲洗、刷洗或注入填充物。
由于填充物起到了过滤器的作用,这意味着从地毯表面到地毯底部的污染物会呈现梯度变化。

总结
在比较现场污染测量时的特殊影响方面,现场测量中10%的污染集中在剖面顶部, 而在本研究中污染是均匀分布的,因此实验室研究中的污染影响比现场同等浓度下的污染影响要轻。
一旦填充体饱和,水的渗透取决于填充孔基质的大小和连通性,剖面中较高的填充物浓度将进一步降低渗透速率。

尽管所采用的方法存在局限性,但维护人造草坪的需求和成本仍然是合理的,表面性能破坏的机制也是相同的。
我们的研究重点是相对较短的填砂表面(20-25毫米),磨损的橡胶填充物会增加填充物污染的风险,其渗透和排水机制与前文提到的填砂系统相同,因此必须尽量减少填充物污染。
从这个意义上说,本研究的结果可应用于新一代长桩、填砂和橡胶填充的合成草坪表面。

第二代填沙人造草坪表面的使用体验感在球的回弹、滚球和旋转阻力方面受到填充物数量的显著影响(p < 0.01)。
在测试的24毫米地毯上,最佳填充物需求为25-30 kg/m2,添加污染物可显著降低渗透速率和球滚速度(p < 0.001),但对球的旋转阻力和回弹无直接影响(p > 0.05)。

在了解了表面性能退化机制之后,确保正确填充量的均匀分布和最小化污染积累是合理的,这涉及使用和维护成本。
实验结果表明,人造草坪的表面在设计和使用阶段都应该考虑最小化填充物污染,这些研究促进了合成草坪表面降解机制的初步了解。
参考文献
[1]吴佳俐,《不同石英砂、弹性颗粒填充密度对人造草坪的冲击吸收、垂直变形性能的影响》
[2]薛飞,《环保低成本型高分子复合材料人造草坪足球场地开发与实现》
[3]李天一,《 橡胶填充、草丝类型、填充物类型及缓冲层对人造足球场草坪使用质量影响研究》