关注风云之声 提升思维层次
导读: 我希望,当我们终有一天面对其他智慧文明时,能够有充分的信心,向他们发去这串信息:2,3,5,7,11,13……
视频链接:
西瓜视频:
https://www.ixigua.com/7041028364785680903
本视频发布于2021年11月13日,观看量已达3.7万
精彩呈现:
本文为黎曼猜想系列之六,
黎曼猜想(一)见黎曼猜想(一)每出现一个数学公式,就会吓跑一半观众?如何打破“跳蚤效应” | 科技袁人,
黎曼猜想(二)见黎曼猜想(二)两个自然数互质的概率是多少?我不仅算起黎曼猜想,还写了个程序 | 科技袁人,
黎曼猜想(三)见黎曼猜想(三)你真的相信全体自然数的和等于-1/12吗?| 科技袁人
黎曼猜想(四)见黎曼猜想(四)短短8页纸,至今仍在给数学家启发和挑战,黎曼究竟写了什么?| 科技袁人
黎曼猜想(五)见理解黎曼猜想(五)跟外星文明交流,第一条信息应该发什么?| 科技袁人

在上一期节目中,我们介绍了黎曼猜想的意义以及它的重要性。许多数学家把黎曼猜想看作数学中最重要的问题。虽然哥德巴赫猜想与孪生质数猜想在公众中的名气比黎曼猜想大得多,但其实黎曼猜想比它们高一个层次。
下一个问题就是,人们尝试证明黎曼猜想的努力,达到什么程度了呢?
基本的回答是:离真正解决问题,看起来还离得远。
下面是自从1859年提出黎曼猜想以来,在这个领域中最重要的一些进展。
1896年,阿达马和德·拉·瓦·布桑证明了质数定理。

1905年,德国数学家曼戈尔特(Hans Carl Friedrich von Mangoldt,1854 - 1925)证明了,黎曼ζ函数的非平凡零点有无穷多个。

1914年,丹麦数学家玻尔和德国数学家朗道证明了玻尔-朗道定理(Bohr–Landau theorem):对于任何δ> 0,离临界线的距离大于等于δ的非平凡零点在全部非平凡零点中所占的比例是无穷小。换句话说就是,对于以临界线为中心的任意窄的竖直条带,其中都包含了几乎所有的非平凡零点。


乍看起来,这条定理好像已经离黎曼猜想非常近了。但仔细想想你就会发现,这条定理甚至都没有证明有一个非平凡零点位于临界线上!你很容易构造一种情况,使得随着虚部t的上升,零点离临界线越来越近,却永远不落到临界线上。

顺便说一句,一提到玻尔,你八成就会想到著名的丹麦物理学家、量子力学的先驱尼尔斯·玻尔(Niels Henrik David Bohr,1885 - 1962)。但我们在这里说的玻尔是丹麦数学家哈罗德·玻尔(Harald August Bohr,1887 - 1951),他是尼尔斯·玻尔的弟弟。



这兄弟俩都是专业水平的足球运动员,不过弟弟在这方面的成就更高,他作为丹麦足球队的主力球员参加了1908年奥运会,并且获得了银牌。在半决赛上,丹麦队以17:1血洗了法国队,这项奥运会纪录保持至今。在哈罗德·玻尔1910年进行博士答辩的时候,据说现场慕名而来的球迷比数学家还多,其中大概也有不少迷妹……对于玻尔兄弟,以后我们有机会再详细介绍。

一提到朗道,你八成就会想到著名的苏联物理学家列夫·朗道(Lev Davidovich Landau,1908 - 1968)。但我们在这里说的朗道是德国数学家埃德蒙·朗道(Edmund Georg Hermann Landau,1877 – 1938),他跟列夫·朗道并不是亲戚,两人之间的联系似乎仅限于他们都是犹太人这一点。


所以,玻尔-朗道定理并不是物理学家玻尔和物理学家朗道的定理,而是数学家玻尔和数学家朗道的定理。人生总是充满意外啊!
同样也是在1914年,英国数学家哈代(Godfrey Harold Hardy,1877 - 1947)证明了,有无穷多个非平凡零点位于临界线上。

哈代的结果固然十分重要,但是,无穷多个临界线上的非平凡零点对无穷多个非平凡零点,前者占后者的比例是多大呢?却还完全不知道。可能是全部,可能是一半,可能是1/10,甚至可能是0!你很容易构造一种情况,使得随着虚部t的上升,临界线上的零点占总的非平凡零点的比例越来越低,无限趋于0。

哈代是一个非常有幽默感的无神论者。他有一年列出了六大新年愿望,其中第三号愿望是找到一个能说服大众的对于“上帝不存在”的证明,而第一号愿望是证明黎曼猜想。当然,他这两个愿望都没有实现。
哈代还有一个关于黎曼猜想的轶事,是这个样子的。哈代跟刚才说的哈罗德·玻尔是好朋友,他们经常在丹麦共度暑假,讨论问题。有一次当哈代要从丹麦坐船回英国时,发现只剩下一条小船了。面对汪洋大海,其他乘客大都在祈求上帝保佑。而哈代的做法,却是写了一张明信片发给哈罗德·玻尔,上面只写了一句话:“我已经证明了黎曼猜想。”
哈代真的证明黎曼猜想了吗?当然没有。那他为什么要发这样一张明信片呢?平安回到英国后,他向哈罗德·玻尔解释了原因:如果他乘坐的小船沉没了,那人们就只好相信他真的证明了黎曼猜想。但既然他坚决不信上帝,那么如果上帝存在的话,上帝肯定不会愿意把这么巨大的荣誉送给他。因此,上帝一定不会让这艘小船沉没的!
好吧,这个理由真是好有道理,简直无法反驳!用现在的语言说,毋宁说是哈代的猪脚光环开启,王八之气乱放。无论如何,数学家面对生死的超脱态度,大家感受到了吧?
1942年,挪威数学家塞尔伯格(Atle Selberg,1917 - 2007)证明了,临界线上的非平凡零点占全部非平凡零点的比例大于0。

外行可能会觉得这是个很弱的结论,但其实这是个很强的结论。回顾一下,假如非平凡零点的实部是在0到1之间随机取值,那么它刚好取到1/2的概率应该等于0。黎曼却认为这个概率是100%!塞尔伯格虽然没有证明这个概率达到100%,但这个概率不等于0,本身就已经是一件非常惊人的事了。
1974年,美国数学家莱文森(Norman Levinson,1912 - 1975)证明了,临界线上的非平凡零点占全部非平凡零点的比例至少有34%。在这里最惊人的还不是这个数学结果,而是莱文森的年龄:他当时已经62岁了!而且他当时已经身患重病,第二年就去世了。

我以前一直以为,数学家极少有在50岁后做出重大成果的,张益唐可能是唯一的例外,他57岁时在孪生质数猜想上取得了历史性的突破。但看了卢昌海的《黎曼猜想漫谈》我才知道,莱文森在62岁做出了这个重大成果。


不但如此,在第二年也就是1975年,莱文森又把这个下限提高到了34.74%。这虽然是一个很小的改进,但这种计算每一个都异常繁复,而莱文森当时的身体状况已经极差,他能够完成这样的计算堪称一个奇迹。在当年的10月10日,莱文森因脑瘤去世,享年63岁。
当我读到这里时,不禁泪流满面。莱文森堪称真正的“朝闻道,夕死可矣”!

朝闻道,夕死可矣
1989年,美国数学家康瑞(John Brian Conrey)证明了,临界线上的非平凡零点占全部非平凡零点的比例至少有40%。

2012年,中国数学家冯绍继在莱文森和康瑞的基础上,把临界线上的非平凡零点占全部非平凡零点的比例的下限提高到了41.28%。这是目前人类在这个方向上的最佳结果。

不过,我们必须要强调一下:即使我们证明了临界线上的非平凡零点占全部非平凡零点的比例达到100%,也不等于证明了黎曼猜想。这是因为,我们在讨论的是无限对无限。你很容易构造一种情况,使得这个比例为100%,但同时有有限多个甚至无限多个非平凡零点位于临界线之外。

因此你可以看到,我们离证明黎曼猜想还差得很远,甚至连方向都还没有搞清楚。《黎曼猜想漫谈》里提到,据说在对有关黎曼猜想的研究进行评述时,有一种比较“规范”的总结词,就是:“这确实是一个重要进展,但如何才能证明黎曼猜想仍不是很清楚。”科学家的诚实和礼貌,大家可以体会一下……

有些朋友问我:既然黎曼猜想自从1859年提出以来,已经过了150多年没有被证伪,绝大多数数学家都相信它成立,而且还有十万亿个非平凡零点的计算结果的支持,那么我们能不能干脆把黎曼猜想作为一个公理得了?
回答是:不行!
不行的根本原因,是数学的本质。像物理、化学、生物这样的自然科学知识,正确性来自与实验的符合。但数学不是这样。数学跟逻辑学属于同一类,它们不是经验的科学,而是先验的科学。它们的正确性只能来自证明,而不能来自实验。事实上,你也不可能设计一个实验去检验数学命题,因为当你分析实验结果时,已经要用到数学知识了。
不行的原因之二,是一件非常有趣的事实:你觉得十万亿个数据的支持很多吗?其实一点都不多!下面就是一个有趣的例子,而它又是在研究黎曼猜想的过程中发现的。
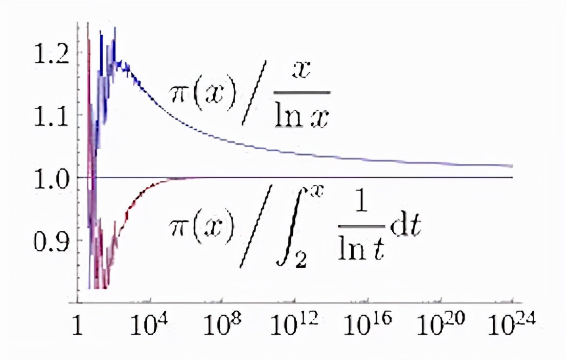
让我们回顾一下质数定理,它说的是随着x的增大,质数计数函数π(x)与对数积分函数Li(x)的比值趋近于1,如这个图所示。不过,π(x)与Li(x)的比值究竟是大于1还是小于1呢?也就是说,π(x)跟Li(x)相比是大还是小呢?

目前在人们计算过的所有数值中,π(x)总是小于Li(x)的。这样的计算持续到10的19次方,即1千亿亿,都没有发现反例。事实上,随着x的增大,π(x)与Li(x)的差的绝对值还有越来越大的趋势,如下图所示。

因此,数学家们在很长时间内都认为,很可能对于所有的x,都有π(x) - Li(x) < 0。这是一个非常合理的推测,对不对?
但是到了1914年,却发生了石破天惊的变化。英国数学家李特尔伍德(John Edensor Littlewood,1885 - 1977)证明,随着x的增大,一定会出现π(x) - Li(x) > 0的情况!而且这个符号会翻转来翻转去,翻转无穷多次!

不过,李特尔伍德给出的只是一个存在性的证明,他并没有指出第一次翻转出现在哪里。1933年,李特尔伍德的学生、南非数学家斯丘兹(Stanley Skewes, 1899 - 1988)对此给出了第一个定量估计。在假定黎曼猜想正确的前提下,斯丘兹证明了,第一次翻转的x不会大于……不会大于下面这个吓死人的大数:e的(e的(e的79次方)次方)次方。用“^”来表示乘方的话,就是e^(e^(e^79)))。用10的乘方来表示的话,就大约是10^(10^(10^34)))。

同学们可能需要沉思一会儿,才能理解这是多么大的数字。

(动图)陷入沉思
沉思好了吗?我们继续。
从此以后,人们就把第一个使得π(x) - Li(x) > 0的数称为斯丘兹数(Skewes’s number)。目前对斯丘兹数最佳的估计是,它不小于3.7乘以10的114次方,不大于1.4乘以10的316次方。想想看,这是些什么量级?一亿是10的8次方,114/8 = 14.25,316/8 = 39.5,所以10的114次方等于1百亿亿……亿,总共出现14个“亿”字!而10的316次方等于1万亿亿……亿,总共出现39个“亿”字!你在日常生活中,不会看到任何东西的变化横跨这么大的数量级!

回顾一下,目前我们只计算到10的19次方,即1千亿亿,没有发现π(x) - Li(x) > 0的。现在你明白了吧,这只是因为我们的取样范围太小!1千亿亿真是太小了!
回到黎曼猜想,我们对它的数值验证只做到十万亿个非平凡零点,即10的13次方个。现在,你还会觉得十万亿是个很大的数字吗?
因此在原则上,在后面发现黎曼猜想的反例的可能性是始终存在的。而且这个所谓“后面”,后的程度可能远远超出一般人的想象。
为什么会出现这种令人目瞪口呆的现象呢?在原理上,这是因为在这种命题中可能涉及一些增长非常慢的函数,例如ln(lnx)。在很大的范围内,它们跟一些常数相比可以忽略。但最终,它们会变成无穷大,压倒任何常数的贡献。这也就是为什么,在斯丘兹的估计中会出现多次的乘方,因为它来自多次的对数。

基本的经验教训是:在跟无穷打交道的时候,人类必须慎之又慎!
最后,让我们来谈谈本系列文章的起源,阿蒂亚(Michael Francis Atiyah)爵士声称的对黎曼猜想的证明。

嗯,这个其实没什么好谈的,因为阿蒂亚压根就没有向数学家群体提交一份完整的论文。他的证明过程跳跃太多,很难被严肃认真地看待。

这就尴尬了
阿蒂亚生于1929年,2018年宣布自己证明黎曼猜想时已经89岁高龄了,2019年90岁时去世。即使他没有证明黎曼猜想,甚至是搞成了一出闹剧,我们也不需要为他的名誉担心。因为他早已在1966年得到了菲尔兹奖,2004年得到了阿贝尔奖,被公认为在世的数学家中最伟大的之一。阿蒂亚-辛格指标定理(Atiyah–Singer index theorem)是二十世纪最重要的数学成果之一,不过鉴于我完全不知道这个定理是啥意思,在这里就不多谈了……嗯,数学科普真是太不容易了。

笑着活下去

在这里值得一提的是,阿蒂亚对自己的处境也有充分的理解。在2018年9月24日的海德堡获奖者论坛(Heidelberg Laureate Forum)上,当他开始讲述自己的“证明”时,首先开了几句玩笑:“如果你解决了黎曼猜想,那么你会变成名人。但如果你已经是名人了,那么你会声名狼藉。”(Solve the Riemann hypothesis and you become famous. If you are famous already, you become infamous.)
关于阿蒂亚的证明思路,虽然我们也有不少可以讲的,不过鉴于许多同学需要时间来消化前面的内容,而我们这个系列需要在这一期结束,我们在这里就不具体介绍了。值得一提的是,其中涉及到一个物理学常数“精细结构常数”(fine-structure constant),它是一个由若干个物理常数组合而成的数字,约等于1/137。以后有机会时,我们再来介绍精细结构常数以及相关的有趣故事。

在这里只需要解释一点。因为阿蒂亚的证明用到物理学,有些朋友就来问我:数学在不同的物理世界里有没有可能是不同的?回答是:不可能!
我们必须再次强调,在任何行星、任何星系、任何维度、以至于任何可以想象的世界里,数学都不会改变,质数分布都不会改变。因为,数学是先验的科学。这正是为什么,我们可以用质数作为跟外星文明交流的第一条信息。
实际上,力图证明黎曼猜想的前辈数学家,除了阿蒂亚爵士之外,还有不少人。例如许多媒体报道,北京大学数学系前系主任、82岁的李忠教授宣称自己证明了黎曼猜想,引起了一阵热议。后来发现,李忠教授只是要在2018年10月11日开一个讨论会,但被媒体这么一搅和,讨论会也没法开了。


不过后来又有报道说,10月13日下午,李忠教授在中科院数学所以内部讨论组的形式做了关于证明黎曼猜想的报告。此次报告长达2小时,得到了专家们的积极评价。最终的论文评审结果将会如何?让我们拭目以待。

顺便说一句,李忠老师有一篇文章《数学的意义与数学教育的价值》,对数学的重要性与特殊性进行了深入的阐述,对许多违反教育规律的所谓“教育改革”提出了尖锐的批评,在这里向大家推荐。

还有一位壮心不已的前辈,是法国数学家孔涅(Alain Connes)教授。孔涅生于1947年,因为对算符代数的贡献获得了1982年的菲尔兹奖。二十世纪九十年代中期,孔涅开始研究黎曼猜想,引起了数学界的广泛关注。

1997年,孔涅到普林斯顿高等研究院做了一个演讲,向包括前面说的塞尔伯格在内的本领域巨头们报告了自己的思路。令人遗憾的是,这些巨头们发现孔涅的方法有个本质的缺点,就是不能发现那些不在临界线上的非平凡零点。好比有一堆红色和蓝色的小球,你带着一副蓝色的眼镜去看,那么你除了看到所有的小球都是蓝色的,还能看到什么呢?
现在孔涅仍然在继续钻研黎曼猜想,虽然已不再是镁光灯下的焦点。他说过:
“对我来说,数学一直是一所教人谦虚的最好学校。数学之所以有价值,主要就是因为那些极其困难的问题,它们就像数学的喜马拉雅山。登顶是极其困难的,甚至必须为之付出代价,但千真万确的是,如果我们能登顶,那里的风景将是美妙的。”

孔涅的这番话,正如一位登山者在回答别人问他为什么要去登山时说的,“因为山在那儿”。关于那“必须为之付出”的代价,孔涅在2000年发表的一篇文章的开头曾经这样说:
“按我第一位老师肖盖(Gustave Choquet,1915 - 2006)的说法,公开面对一个著名的未解决问题是一种冒险,因为别人将更多地记住你的失败而不是其他。”

肖盖

但是,真正重要的是,孔涅仍然选择了去攀登“数学的喜马拉雅山”,原因是:
“在到达某个年龄之后,我意识到‘安全地’等待自己生命的终点同样是一种让自己失败的选择。”
当我在《黎曼猜想漫谈》的结尾读到孔涅的这句话时,不禁再次泪流满面。就像我在《三体》的结尾读到“宇宙的最后审判日”时,那样泪流满面。
总有一种力量让我们泪流满面,包括宇宙的真相,包括人类的命运。数学的意义远远不只是用来炫耀智力或者开玩笑,还包含了宇宙的密码。
地球作为一个文明,凭什么在宇宙中立足?难道不正是凭科学的成就吗?在面对其他智慧文明时,我们将会对这一点有深刻的领悟。现在付出再多的努力,都比到那时才发现自己的愚昧无知要好。
我希望,当我们终有一天面对其他智慧文明时,能够有充分的信心告诉他们,我们已经理解了质数的分布,能够有充分的信心,向他们发去这串信息:
2,3,5,7,11,13……
扩展阅读:
理解黎曼猜想(一)背景 | 袁岚峰
理解黎曼猜想(二)两个自然数互质的概率是多少?| 袁岚峰
理解黎曼猜想(三)你真的相信全体自然数的和等于-1/12吗?| 袁岚峰
理解黎曼猜想(四)得救之道,就在其中 | 袁岚峰
理解黎曼猜想(五)宇宙的密码 | 袁岚峰
理解黎曼猜想(六)朝闻道 | 袁岚峰
黎曼猜想(一)每出现一个数学公式,就会吓跑一半观众?如何打破“跳蚤效应” | 科技袁人
黎曼猜想(二)两个自然数互质的概率是多少?我不仅算起黎曼猜想,还写了个程序 | 科技袁人
黎曼猜想(三)你真的相信全体自然数的和等于-1/12吗?| 科技袁人
黎曼猜想(四)短短8页纸,至今仍在给数学家启发和挑战,黎曼究竟写了什么?| 科技袁人
理解黎曼猜想(五)跟外星文明交流,第一条信息应该发什么?| 科技袁人
背景简介: 袁岚峰,中国科学技术大学化学博士,中国科学技术大学合肥微尺度物质科学国家研究中心副研究员,中国科学技术大学科技传播系副主任,中国科学院科学传播研究中心副主任,科技与战略风云学会会长,“科技袁人”节目主讲人,安徽省科学技术协会常务委员,中国青少年新媒体协会常务理事,中国科普作家协会理事,入选“典赞·2018科普中国”十大科学传播人物,微博@中科大胡不归,知乎@袁岚峰( https://www.zhihu.com/people/yuan-lan-feng-8 )。
责任编辑:祝阳