中南大学简称中南,是教育部直属的985重点大学。地处湖南长沙,工科实力较为强劲,人文学科实力比较一般,所以很多考生蜂拥而至,都认为是潜力股。但是2022年文科专业却炸锅了,分数高的离谱,而录取人数也比较少,竞争压力还是很大的。下面是具体情况:

金融专硕

金融专硕
金融专硕录取13人,定向1人,全日制12人,最低376,最高434.推免生19人,全部录取。

会计专硕

会计专硕

会计专硕
会计专硕,录取20人,最低236,最高257.推免生15人,全被录取。

学术型

学术型

学术型

学术型

学术型

学术型

学术型

学术型

学术型

学术型

学术型

学术学位

学术学位
学术学位,区域经济学录取9人,含1人专项计划。最低398,最高429.贸易贸易学统招1人,推免4人。资源与环境经济学3人,金融学录取15人,最低397,最高437.金融工程学录取1人。管理科学与工程32人,包括1人少干计划,最低406,最高434.会计学10人,最低390,最高404.企业管理录取11人,最低391,最高418.

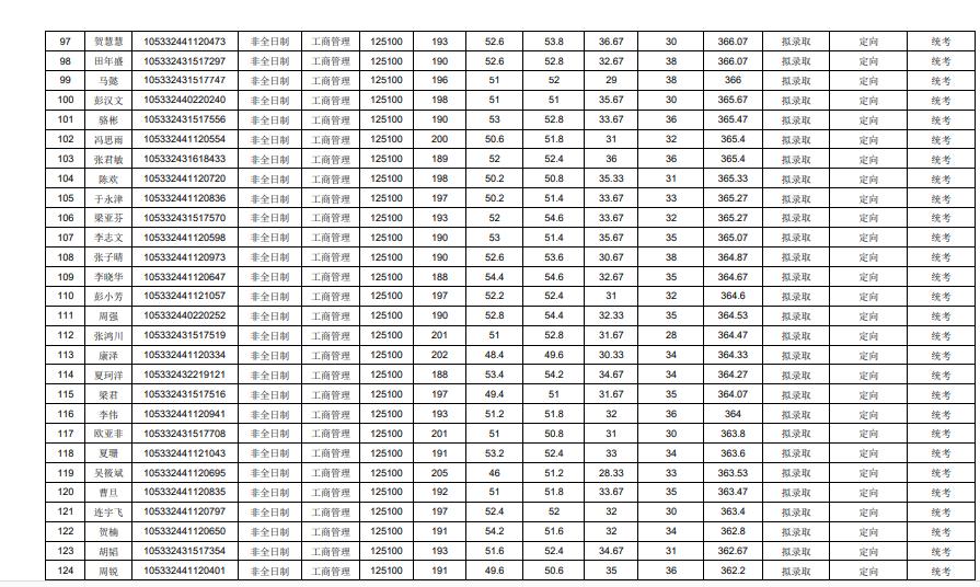
工商管理

mba

工商管理

工商管理

工商管理
工商管理非全日制录取300多人。