若已知X属于某个分布,且又知道其某些矩,便可确定X的分布函数,比如知道一阶原点矩(即数学期望)就能确定(0-1)分布和泊松分布,指数分布的分布函数,若进一步还知道二阶中心矩,便能确定二项分布,均匀分布,正态分布的分布函数。由此是否能推断:知道X的各阶矩,就一定能确定X的分布函数呢?回答是否定的,事实上,存在着不同的分布函数,其各阶矩都一样。
例如设随机变量X与Y的密度函数分别是


其中0<a<1/2,显然

从而X与Y各自的分布函数

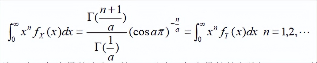
但它们却有相同的各阶矩:

因此,只有知道随机变量的分布类型以及某些矩,才能确定分布函数。
结论:由随机变量的分布函数可以确定随机变量的数字特征,反之不然。