
重要提醒
今天,市中心区域机动车 双号 限行,公交全部线路免费乘坐。
要闻
21日下午,市委常委会召开扩大会议,传达学习省委书记楼阳生在我市调研时重要讲话和指示精神,就抓好贯彻落实作出安排部署。市委书记闫晨曦主持会议并讲话。他强调,要认真学习省委书记楼阳生在我市调研时重要讲话和指示精神,按照市委提出的贯彻落实意见,结合各自实际,在领会精神实质上下硬功夫,在创新工作举措上拿出实招,在完成目标任务上争先进位,真正把临汾的事情办得更好,为全省“十四五”转型出雏型作出应有贡献。
22日上午,市委常委、组织部长袁振旭在市*访信**接待中心接待来访群众,面对面与群众沟通交流,并与有关部门座谈,对包联的华门壹号项目购房户要求尽快交房事项进行现场督办。他强调,群众利益无小事,要坚持把*访信**工作作为了解民情、集中民智、维护民利、凝聚民心的一项重要工作,千方百计为群众排忧解难,维护好群众的切身利益。
县市区

22日,洪洞县召开政法队伍教育整顿领导小组第四次会议暨查纠整改环节重点工作推进会。市委副书记、政法委书记、洪洞县委书记黄巍主持并讲话。

22日,尧都区委书记樊洪平主持召开区委常委(扩大)会,传达学习省委书记楼阳生在我市调研时的重要讲话和指示精神,并就抓好贯彻落实作出安排部署。

22日,襄汾县召开传达学习省委书记楼阳生在我市调研时的重要讲话和指示精神会议。县委书记乔飞鸿主持并讲话,县长刘春林参加。

22日,侯马市十七届人大一次会议闭幕, 黄晓君当选侯马市市长 。侯马市委书记吴勇出席并讲话。

20日,霍州市委书记李强调研传统文化古村落的保护利用及环境综合整治工作,要求做好*物文**保护、利用和传承工作,打造古建筑文化品牌,推动市域文旅融合高质量发展。

22日,安泽县召开全县政法队伍教育整顿领导小组会议暨查纠整改环节重点工作推进会。县委书记廉海平要求,坚持问题导向,组织开展学习教育“回头看”,以更严的督查、更高的要求、更实的举措,打造一支有规矩、有形象、有纪律的政法铁军。

22日,古县召开县委常委会(扩大)会议,传达学习省委书记楼阳生在我市调研时的重要讲话和指示精神,研究部署贯彻落实意见。县委书记庞明明主持并讲话。

22日,浮山县召开四套班子会议,传达学习省委书记楼阳生在我市调研时的重要讲话和指示精神。县委书记扈新起主持并讲话,县长王兴参加。

22日,蒲县县委书记薛凤奎主持召开县政法队伍教育整顿领导小组第五次会议,要求贯彻落实全市会议精神,抓好中央督导组对全省、全市反馈意见的整改落实,部署查纠整改环节重点工作。

22日,乡宁县委书记杨建军主持召开县重点工程项目推进会,研究解决问题,确保各项重点工程项目早开工、早建成、早见效。县长王林波作具体安排。

22日,汾西县十七届人大一次会议闭幕,贾文魁当选县人大常委会主任, 霍俊波当选县长 。县委书记张安文出席并讲话。
22日,吉县县委书记崔绍民、县长赵松强调研督导城乡集中供热项目工程建设情况,要求全力抓好工程建设各项工作,确保如期投入使用。

22日,隰县召开县政法队伍教育整顿领导小组第六次会议暨查纠整改环节重点工作推进会。县委书记李亚丽出席并讲话。

22日,大宁县十七届人大一次会议闭幕,张新平当选县人大常委会主任, 樊宇当选县长 。县委书记王晓斌出席并讲话。
22日,临汾经济开发区*党**工委书记、管委会主任元福明主持召开专题会,传达学习省委书记楼阳生在我市调研时的重要讲话和指示精神。
本地民声
典型诉求
市民反映,尧都区体育南街南延道路实验小学附近墙壁被广告贴满影响市容,希望尽快清理。
诉求回复
市民反映,尧都区孙膑庙英才苑小区西门外私设地桩10余个。市市容监察支队回复,已拆除,今后将继续加大巡查清理力度。
社会
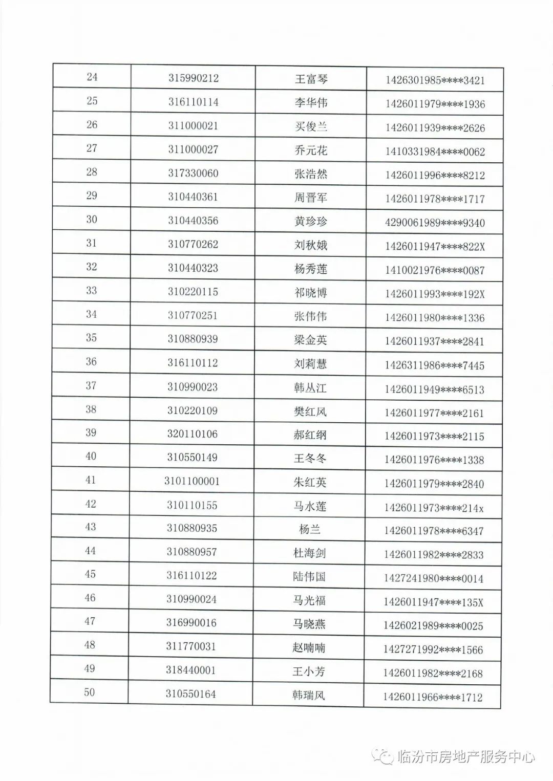
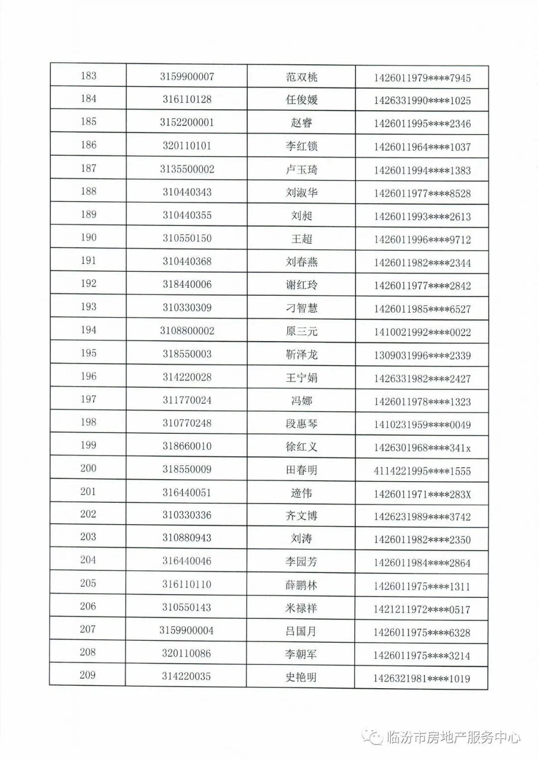
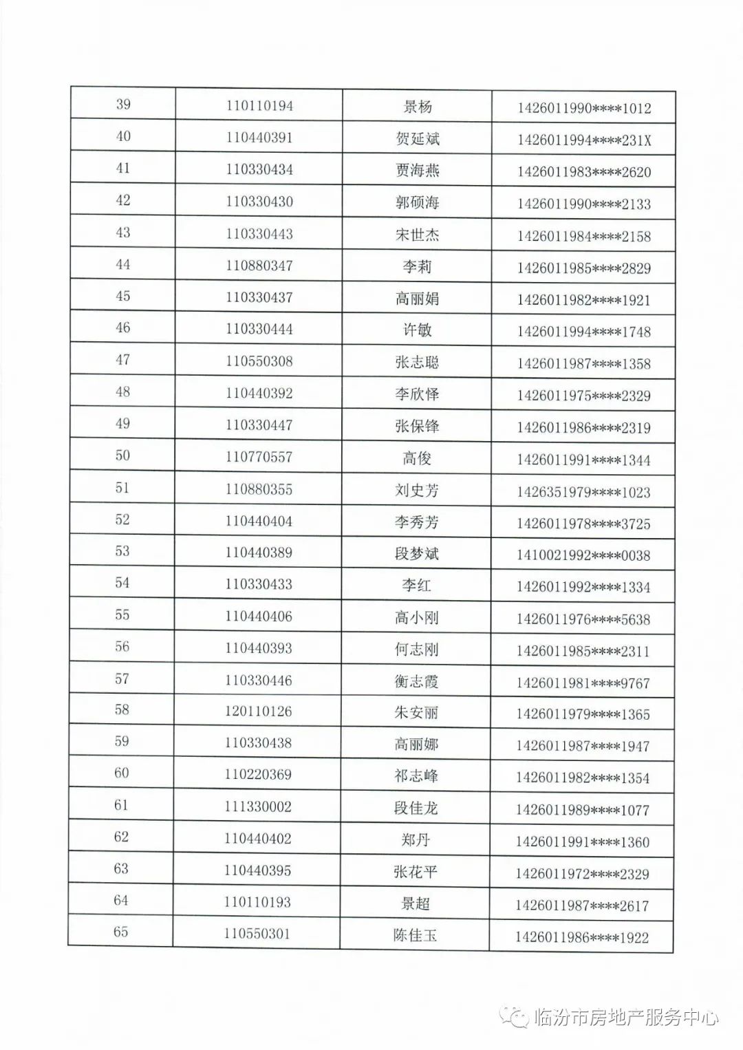
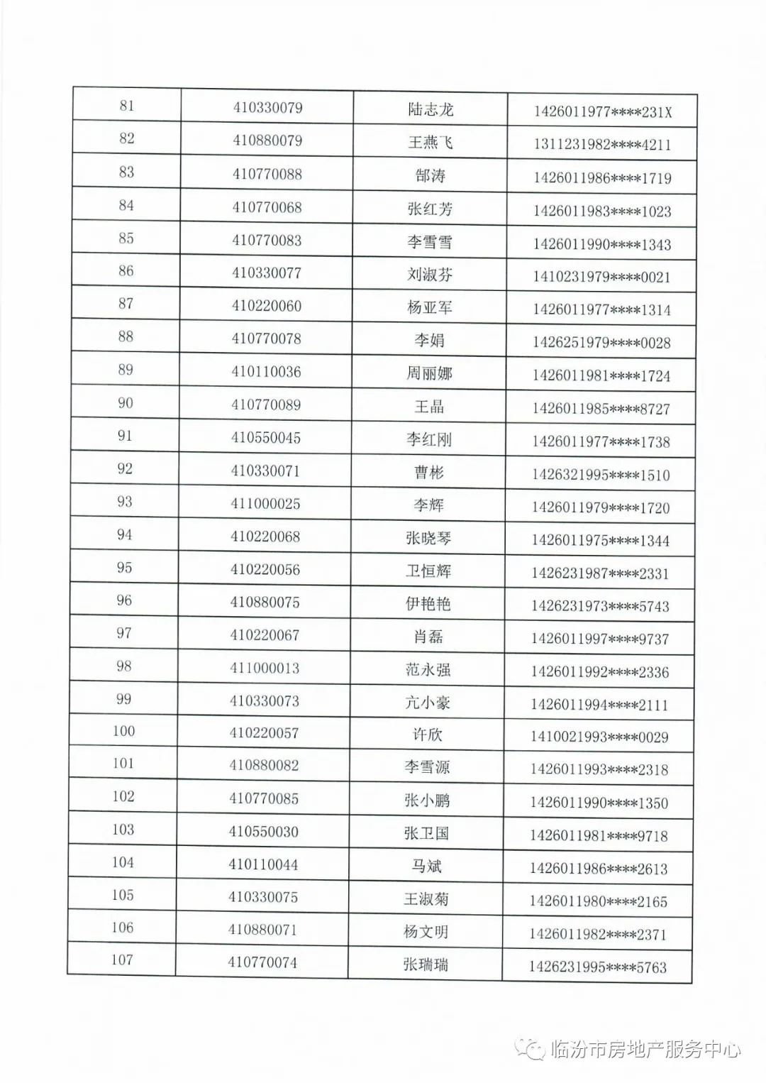
22日,临汾市房地产服务中心公示市区第九批 公租房 、第十六批 经济适用房 、第十批 限价商品房 保障家庭摇号结果名单。如下↓





































21日,我省3地入选全国中小学劳动教育实验区,其中我市 襄汾县上榜 。

街巷整治 !“一周一巷”开始后,我市先后对市区解放西路、鼓楼西街、后东关、花果街、体育南北街及南延、华州路、临钢北门,人流密度大、道路关键点进行集中整治。与此同时,在这些关键地段寻找宜于摆摊的集中场所,做出初步安排,报审之后建立小场所,既便于摆摊,又方便群众。目前,已经初步确定小场所6个。

古县第十四届 “天下第一牡丹”文化旅游节 将于4月27日在该县三合牡丹景区开幕。文化旅游节将持续到5月底。期间将充分整合全县旅游资源,开展10大类16项活动,全面展现古县文化旅游特色。
继国家民政部先后公布三批非法社会组织名单后,省民政厅加大对非法社会组织的打击整治力度,日前向社会公布 两批涉嫌非法社会组织名单 ,请社会公众提高警惕,避免受骗上当。


教育部:不得故意安排学生独坐最后一排。 日前,教育部答复关于《中小学教育惩戒规则(试行)》中“刻意孤立”如何界定时明确:“刻意孤立”首先主观上是故意而且针对特定学生,具有相对性、持续性,非因疏忽而没有关注到学生的需求;行为表现上,可以是对学生正常需求故意不予回应、指使其他学生孤立特定学生或者物理上隔离(比如单独坐在最后一排)等;后果上,导致学生得不到老师的关注和正常的同伴关系,产生心理上的压力。
22日,国务院办公厅发布意见,明确 职工医保个人账户可支付家人医保自付部分 :职工医保个人账户可用于支付参保人员本人及其配偶、父母、子女在定点医疗机构就医发生的由个人负担的医疗费用。

清华大学成立“芯片学院”。 22日,清华大学集成电路学院正式成立。作为我国集成电路人才培养的重要基地,学院致力于破解当前“卡脖子”难题,同时让未来不再被“卡脖子”。
一季度31省份居民收入排行榜出炉:上海排第一。近日,国家统计局更新公布了31省份一季度居民人均可支配收入数据,上海(21548元)、北京(19585元)、浙江(18263元)位居前三。 你的一季度收入有多少呢 ?
本周发布的《2021年中国酒店业发展报告》显示, 2020年全国共减少5.9万家 15间房以上的酒店,酒店客房减少229.4万间,其中经济型酒店客房减少数量最多,达207.2万间。与此同时,连锁酒店客房数却增长了16.6万间。
22日,成都国际工业博览会上, 全球首个时速160公里的内嵌式磁浮交通系统正式亮相 。随着我国大中型城市的城市规模不断扩大,具备独特系统优势的中低速磁浮交通,将成为更安全、更环保、更效率、更经济的广谱公共交通方式。
47岁高校保安“蹭读”图书馆走红 :相信自己因读书变得更好。云南经济管理学院47岁保安保付祥在图书馆用*学功**习时被学生拍下发至网络,不少网友为这位励志“保安大叔”点赞。2017年,他自学通过古代文学、英语、数学等13门考试,考上了云南师范大学汉语专科 ,并于2020年顺利毕业。如今他还计划备考“专升本”。他表示,命运是否因为读书出现了转机尚不确定,但他相信自己因为读书变得更好。 今天是世界读书日,你定过读书计划吗?来投票 ↓

东航辟谣员工不雅聊天记录。 近日,有网帖称,东航客舱部一经理被领导安排欲与某老总发生关系并发送不雅信息,引发网友关注。东航22日发布严正声明:经核查,相关信息纯属蓄意捏造、恶意诋毁,受害员工已第一时间向公安机关报案。公司对不法网络行为表示强烈谴责,并保留对造谣者和恶意传播者追究法律责任的权利!
广东9个月女婴被父亲抖音女网友拐卖 。21日,广东梅州9个月大女婴被拐至河北,案发42小时后顺利回家,嫌疑人落网。女婴父亲称,抖音认识的网友张某娟来家吃饭,说带女儿去玩一下,一走就再也没有回来。最终,警方在河北一村民家中将涉嫌拐卖儿童的张某娟抓获。
【知识】 白天不分场合犯困秒睡可能是种病 。不受控制地犯困、秒睡,发作性地抽倒、如同“断电”,是典型的发作性睡病症状。专家介绍,我国约有70万名发作性睡病患者,儿童患者较多。研究发现,遗传、病毒感染诱发免疫反应等可致病发。若出现相关症状,需及时就医。
中国大使入住的巴基斯坦酒店发生爆炸 。当地时间21日晚,巴基斯坦一家酒店停车场发生汽车*弹炸**爆炸,造成4人死亡、12人受伤。中国驻巴基斯坦大使在此家酒店入住,但事发时已外出。外交部发言人汪文斌表示,中方对这起恐怖袭击表示强烈谴责,对不幸遇难人员表示哀悼,对伤者致以慰问。截至目前,尚未收到中国公民在袭击中伤亡的报告。
俄罗斯驱逐10名美国外交人员。 俄罗斯外交部21日召见美国驻俄罗斯大使馆副馆长,向其递交外交照会,宣布美驻俄使馆10名外交人员为不受欢迎人士,要求其在5月21日24点前离境。此前,美国政府对俄罗斯实施大规模制裁,并驱逐10名外交人员。
不顾核辐射威胁,日本要把福岛食材推上奥运会餐桌。 近日,东京奥运会和残奥会组委会宣布,为运动员村餐厅所提供的“大家的食物计划”餐单已经确定,其中将包括福岛县等受日本核泄漏地区的食材及当地特色菜。 韩国表示将自带部分食材参加东京奥运会 ,同时携带辐射检测器,以便检查餐具、食材等是否被污染。消息一出,连日本本国的网友也看不下去了,批评日本这样招待客人的做法“很失礼”。
国家卫健委:各地要做好精准调配, 确保第二剂次接种在8周内完成 ,避免出现打了上针没下针的情况,国家卫健委各驻点工作组对此也会加强督导。
今天白天,全市多云转阴天,部分地区有小雨,偏东风3-4级,市区温度:15~23℃。

不经意间,我们身边的人出现了不同的变化:一类不再学习,停下来追逐即刻的享受;一类面向未来,在诱惑面前自律节制。后一类人,看似日子过得辛苦,却因为这种“辛苦”获得更多选择的自由。愿你也能用坚持和自律迎来蜕变。早安!
编辑:卫博 贾亮 姚建
语音开发:巩鹏
技术:乔晟昊
设计:付基恒
校对:贾晓华 张晶