三角形内角和不等于180度?锐角的一边垂线可以和另一边不相交?两个三角形不可能相似?过已知直线外一点可以做两条与已知直线平行?如果你刚刚学习平面几何,可能觉得刚刚的问题全是胡说,这怎么可能呢?可这些命题却是由一个俄国科学家罗巴切夫斯基提出来的。而这些命题的提出,开创了几何学的新篇章——非欧几何。而罗氏几何就是非欧几何的一种。下面分别从罗巴切夫斯基生平、罗氏几何的诞生、罗氏几何的主要内容、罗氏几何的直观模型、罗氏几何的意义五个方面进行简要介绍。

图1 罗巴切夫斯基几何三角形
01 罗巴切夫斯基生平:
罗巴切夫斯基(1792-1856),俄国数学家。15岁就进入喀山大学,不到20岁就获得物理数学硕士学位并留校工作。30岁成为了学校常任教授。不过后来由于自己发现的新几何不被理解,甚至遭到了同行的攻击。晚年的罗巴切夫斯基心情更加沉重——他被免去喀山大学的所有职务,这使罗巴切夫斯基的精神遭到了巨大的打击。雪上加霜的是,自己心爱的大儿子因肺结核治疗无效去世。不过,他从来没有向命运屈服,更没有放弃自己对新几何的追求。在身患重病,卧床不起的困境下,他也没停止对非欧几何的研究。 他的最后一部巨著《论几何学》,就是在他双目失明、临去世的前一年,口授完成的。
罗巴切夫斯基在世时,他的新几何学始终没有得到同行的认可。直到1868年,意大利数学家贝特拉米发表论文证明了证明非欧几何可以在欧几里得空间的曲面 (例如拟球曲面)上实现。这就说明了只要欧几里得(即我们学的平面几何)几何没有矛盾,非欧几何就没有矛盾。这时候罗巴切夫斯基以及非欧几何才逐渐受到人们重视。

图 2 罗巴切夫斯基
02 罗氏几何的诞生:
1815年,罗巴切夫斯基开始研究平行线理论,尽管他还是一个23岁的青年,但是已经留校工作,并在第二年升为额外教授。一开始,他也是循着前人的思路,试图给出第五公设的证明。
一个证据是,在保存下来的他的学生听课笔记中, 就记有他在1816~1817学年度几何教学中给出的几个证明。但是,很快他便意识到自己的证明是错误的。他已经看到,“在概念本身之中并未包含大家想要证明的真情实况”,换句话说,从几何学的基本的前提和概念并不能推导出第五条公设。那么他怎么肯定这种推导的不可能性呢?或许他曾了解过萨凯里、吕格尔、兰伯特等人的工作, 并从中受益良多。他肯定了的是,可以循着萨凯里和兰贝尔特曾经走过前几步的途径,继续地走下去。
前人和自己的失败从反面启迪了他,使他大胆思索问题的相反提法:可能根本就不存在第五公设的证明。于是,他便调转思路,着手寻求第五公设不可证的解答。
罗巴切夫斯基新的尝试是借助反证法进行的,这很像他的前辈萨凯里、兰伯特所使用的归谬法。不过为证“第五公设不可证”,他首先对第五公设加以否定,假设“过平面上直线外一点, 至少可引两条直线与已知直线不相交”,然后用这个否定命题和其他公理公设组成新的公理系统,并由此展开逻辑推演。假设第五公设是可证的,即第五公设可由其他公理公设推演出来,那么,在新公理系统的推演过程中一定能出现逻辑矛盾,至少第五公设和它的否定命题就是一对逻辑矛盾;反之,如果推演不出矛盾,就反驳了“第五公设可证”这一假设,从而也就间接证得“第五公设不可证”。
事实上,在推演过程中,他得到一连串古怪的命题,但是,经过仔细审查,却没有发现它们之间含有任何逻辑矛盾。于是,远见卓识的罗巴切夫斯基大胆断言,这个“在结果中并不存在任何矛盾”的新公理系统可构成一种新的几何。它的逻辑完整性和严密性可以和欧几里得几何相媲美,而这个无矛盾的新几何的存在,就是对第五公设可证性的反驳,也就是对第五公设不可证性的逻辑证明。由于尚未找到新几何现实世界的原型和类比物,罗巴切夫斯基慎重地把这个新几何称之为“想象几何”。
由此,罗巴切夫斯基断定了第五条公设的不可证明性和根据否定公理展开新几何学的可能性。当然,这里包含着极为重要的一个普遍结果:在逻辑范畴内,可以存在的并不只是一种几何学。即是说,逻辑上互不矛盾的一组假设都有可能提供一种几何学。

图3 罗氏几何
03 罗氏几何的主要内容:
在逻辑的可能性和直观的表现之间的这个矛盾是理解罗巴切夫斯基几何的主要困难,但是假如谈的是作为逻辑理论的几何学,则应该考虑的是论证的逻辑严密性,面不是与惯常的图像是否协调。我们知道,罗氏几何除了一个平行公理之外采用了欧氏几何的一切公理。因此,凡是不涉及到平行公理的几何命题,在欧氏几何中如果是正确的,在罗氏几何中也同样是正确的。在欧氏几何中,凡涉及到平行公理的命题,在罗氏几何中都不成立,它们都相应地含有新的意义。下面不妨举几个例子加以对比说明:

下面讲解罗氏几何的具体内容:
长度与角的关系:
我们不妨先说一下罗氏平行公理。罗氏平行公理是这样说的:从直线L外一点O,至少可以引和L不相交的两条直线OL和OM,例如本页图4所示那样,直线OL叫做右平行线,直线OM叫做左平行线。从O向直线L引垂线ON,设ON=P,那么,∠NOL就随P的变化而变化,把这个角叫作平行角。

图4
罗巴切夫斯基得出了平行角公式的解析形式。若全中心角为2π,则线段a的长度x与平行角角度π(x)之间的关系为

其中k是一个常数,为空间常数。
罗巴切夫斯基三角学:
罗氏几何的三角形性质不同于我们印象中欧式几何中的三角形。我们认为三角形内角和等于两个直角。而在罗氏几何中,三角形的内角和小于两个直角。更让人惊奇的是,在罗氏几何中,不同的三角形一般有不同的内角和。换句话说,只要三角形的内角和不同,它们的形状就不同。由此可以得出在罗氏几何中不存在欧式几何内角和相同,形状相同的相似三角形。
三角形面积和两直角与它的内角和的差成正比。如果以S(△)表示三角形的面积,
以α、β、γ分别表示三角形的三个内角,那么

这里,

叫做“亏损”。可以看到,三角形内角和对π的亏损因它的面积增大而增大。也能看成,不存在面积任意大的三角形。当内角和趋近于0时,三角形的面积无限逼近Kπ。任何三角形面积永远不会超过Kπ。
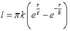
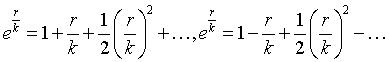
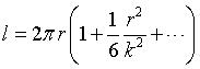
在充分小的区域内,罗氏几何和欧氏几何的差异很小。即在极小空间内,罗氏几何就退化成了欧几里得几何。下面以圆周长为例进行具体说明:
圆周长度L不与半径r成正比,而是更迅速地增长(在指数定律的基础上),那就是说,下列公式成立:

(1)
这里k是依赖于长度单位的常数,因为

所以我们从公式(1)得:

(2)
唯有在区域足够小,即r很小,或是k很大时,比值r/k很小时才以相当的精确性得出

,这是欧氏结合中的圆周的公式。
既然常数k越大,与欧几里得几何的差异越小,那么在极限情形,当k无限变大时,罗氏几何就变成了欧几里得几何。这就是说,欧几里得几何正好是罗氏几何的极限情形。因而如果在罗巴切夫斯基几何里添上了这个极限情形,则它也就包括了欧几里得几何,在这意义下它就显得是更普遍的理论。由于这个缘故,罗巴切夫斯基把自己的理论命名为“泛几何学”,即普遍的几何学。理论之间的这种关系在数学和自然科学的发展中经常出现。
04罗氏几何的直观模型
从前面所列举的罗氏几何中的一些命题可以看到,这些命题和我们所习惯的直观形象有矛盾。所以罗氏几何中的一些几何事实没有像欧氏几何那样容易被人们接受,这也是罗氏几何早期历程如此艰难的重要原因。罗巴切夫斯基自己终其一生都没能在欧氏几何的已经用惯的概念体系中建立罗氏几何的比较简单的现实意义。但是,后来的数学家们经过研究,提出可以用我们习惯的欧氏几何中的事实作一个直观“模型”来解释罗氏几何是正确的,即克莱因模型。
克莱因模型非常简单明了:在普通欧氏平面上取一个圆,并且只考虑圆的内部。它约定圆的内部叫“平面”,圆的弦叫“直线”(将弦的端点除外)。

图5 克莱因模型
可以证明,这种圆内部的普通(即欧氏)几何事实就变成罗巴切夫斯基几何的定理,反过来,罗氏几何中的每个定理都可以解释成圆内部的普通几何事实。例如,如果把罗氏几何的几何公设:过直线外一点可以做两条以上直线不与已知直线相交,用克莱因的模型来叙述是下面这条显然成立的命题:通过圆内不在已知弦上的一点,至少可以引两条弦不与已知弦相交。(具体见上图)
通过观察这个“模型”,使我们认识到罗氏几何的内容可以理解成是欧氏几何中圆内的几何学的独特的命题,从而证实了罗氏几何的现实意义。此外,也解答了欧氏几何的平行公设不能由其他公设得到,否则欧氏几何的平行公设在克莱因的“模型”中也一定成立,而事实却并非如此。
05 罗氏几何的意义
1.打破了两千多年来欧氏几何一统天下的局面,从根本上改变了人们的几何观。
2.扩大了几何学研究的对象(由图像的性质进入抽象空间)。是数学从以直观为基础进入到以理性为基础的重要标志。为几何学的统一建立了前提。
3.对时间和空间的物理观念的认识产生重大影响,改变了欧氏几何是描述物质世界的唯一真理的看法。爱因斯坦的狭义相对论说明了时间与空间其实是处于一个连续区(闵可夫斯基空间),广义相对论利用了黎曼几何这个数学工具,揭示了宇宙结构的几何学更接近于非欧几何。

图6 爱因斯坦
4.使数学哲学研究进入了一个崭新的时期。给康德唯心主义哲学以有力一击,使数学从传统的形而上学的束缚下解放出来。也为唯物主义的发展扫清了一些障碍。