三角形代表的数
三角形数是一种数字,它可以用一组点的图案来表示,这些点排列在一个等边三角形中,每边有相同的点。
例如:

第一个三角数是1,第二个是3,第三个是6,第四个是10,第五个是15,以此类推。
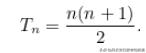
你可以看到,每一个三角形都来自于之前的那个三角形,通过在底部增加一行点,这一行比之前的底部多了一个点。这意味着第n个三角形数T n等于:

我们还可以用另一种方法来计算第n个三角形数。取表示第n个 三角形数的两个点图案样本,然后并排让底边相对排列它们,使它们形成一个矩形的点图案。

这个矩形图案的短边有n点,长边有n+1点,这意味着矩形图案总共包含n(n+1)点。由于原来的三角形点图案恰好构成了矩形图案的一半,我们知道第n 个三角形所代表的数字T n是

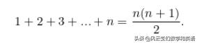
注意,考虑到这一点,我们已经证明了n个自然数和的公式,即等差数列1, 2,….n的和:

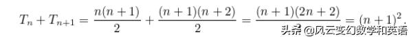
三角数有很多有趣的性质。例如,连续三角形数的和是一个平方数。你可以通过安排代表第n 个和第(n+1)个三角数的三角形点模式来看到这一点,形成一个边有n+1点的正方形:

或者,你可以使用连续三角数T n和Tn+1的公式来看到这一点:

更重要的是,交替三角形数(1,6,15,…)也是六边形数(由六边形点图案形成的数字)。

在现实生活中也会出现三角数。例如,一个由n计算机组成的网络,其中每台计算机与其他每台计算机相连接,需要Tn-1种连接。如果在体育比赛中,你参加的是单循环赛,每个队只与另一个队比赛一次,那么n队需要的比赛次数是Tn-1场比赛。这两个结果等价于握手问题,即n个人中每个人都要与其他人握手一次,那么握手的次数也是跟单循环比赛的场数是一样的。