编译者按
“Een Vergeten Genie”一文是著名理论物理学家Hendrik B. G. Casimir所写的关于荷兰天才物理学家特罗德(Hugo Martin Tetrode)的简单生平及其物理贡献的介绍。为了便于读者阅读,文后附加了原文没有的一些关键参考文献和适当的注释(笔者借此对本文编辑的建议与帮助表示感谢)。说特罗德是“被遗忘的天才”只是在作者当时的语境之下,时过境迁,今天看来可能并不十分“确凿”,毕竟在物理系的热力学统计物理课上,还要讲到他与另一位德国物理化学家奥托·萨库尔(Otto Sackur,1880-1914)各自独立发现的Sackur-Tetrode方程(今年恰好也是该方程诞生110周年)。但是无论如何,特罗德及其物理成就对公众,甚至物理工作者,都稍显陌生。编译此文,希望能够将其历史角色拉回公众的视野。
撰文 | H. B. G. Casimir
编译 | 1/137

前段时间我收到了西班牙科学史家J. M. Sanchez-Ron的来信,信里说:
“我正在为牛津大学出版社写一本书,专门讲述20世纪物理学中超距作用概念的历史。我要谈的一点是荷兰物理学家特罗德 (Hugo Martin Tetrode) 的贡献。他在1922年 (关于超距作用) 的论文,首先给爱因斯坦以及多年后的惠勒和费曼,留下了深刻的印象。问题是到目前为止我完全找不到任何关于他的生平,甚至连他的名字都没有 (除了他发表的一些论文提到他住在阿姆斯特丹) 。我得承认,就此事我已经联系了很多国家的大学。尽管如此,我认为在书中包含一些关于这位真正被低估的荷兰物理学家的生活细节是很重要的,他对量子和经典物理的研究是我们这一领域的持久贡献。因为我知道你也是荷兰人,所以我把你当作救命稻草。如果你能向我提供一些关于特罗德的生活、职业和工作的细节,或文件,我将非常感激。”
从一个著名的公式开始
这样的信必须回复,但首先我对特罗德知之甚少。我知道一个著名的热力学公式以他的名字命名。我记得在1928年或之后不久,我震惊于他在德国Zeitschrift für Physik上发表的一篇非常专业的文章。令人惊讶的是,他不属于通常的、非常小的荷兰理论家圈子。我的老师泡利 (Wolfgang Pauli) ——1932-1933学年我在苏黎世联邦理工学院给他担任助理——就曾经长叹说:“在你们荷兰有些怪才 (Merkwürdige Kauze) 。比如特罗德,他的工作十分出色。但没人认识他,他似乎也不想认识任何人。”
此外,我相当确定他从未在大学或工业实验室担任物理学家。因为没有其他更多信息了,所以我不得不着手调查一番。我先去查阅了电话簿,很快发现“Tetrode”这个名字非常罕见 (倒是“Tetterode”更常见) 。因此,打电话去特罗德家并非无望,我试了两次就成功了。我不记得到底为什么要去希尔弗瑟姆 (Hilversum) ,但事实证明,住在那里的特罗德女士仍记得自己帅气但孤独的堂兄。她在那时以及后来应我请求查阅了家族文档,我非常感激她。她说特罗德的父亲曾是银行董事,这一点对我非常有帮助。
德维斯 (Joh. de Vries) 教授向我提供了有关特罗德家族的大量信息,他那时正在研究荷兰银行史。与此同时,我还通过其他方式知道到了更多东西。考克斯 (A. Kox) 博士正在负责出版洛伦兹 (H. A. Lorentz,1853-1928) 的通信集,他偶然发现了特罗德给洛伦兹的一封值得注意的信。此外,他注意到在阿姆斯特丹的塞曼 (Pieter Zeeman,1865-1943) 实验室里有一些书籍,其中的藏书票是特罗德钉上去的。我自己也在莱顿大学教授保罗·埃伦费斯特 (Paul Ehrenfest,1880-1933) 井井有条的通信中发现了特罗德的一些笔记。
有了这些线索,完成一个稍完整的传记似乎并不太难,但这种期望只部分地实现了。然而我的发现是如此惊人,我认为值得讲述出来。他的父亲,Pieter Johan Conrad Tetrode博士 (1863-1955) 是金融界的知名人物,曾在多家银行工作,1919年至1934年担任荷兰银行董事。此后他还担任过多个监事。1894年,他与Charlotte Louisa Gildemeester (1864-1942) 结婚,育有三个子女:本故事主角雨果 (Hugo Martin,1895.3.7-1931.1.18) ,妹妹海伦娜 (Helena Maria,1897-1982) 和弟弟彼得 (Pieter,1902-1973) 。特罗德终生未婚。他的弟弟和妹妹都是晚婚,没有子嗣,他们的配偶也过世了。他出生在范德斯特拉特 (Vondelstraat) 的一所房子里。1902年,他家搬到了Keizersgracht 573号,1909年又搬到了Herengracht 526号。他们一直在这住到1934年,也就是特罗德去世后,这里一直都是他们家的地址,尽管后来他们主要住在索斯特堡的惠泽埃格蒙德 (Huize Eggher-monde) 。
他毕业了吗?
我无法确定特罗德是否完成了他的毕业考试,更不要说在何时何地考的了。阿姆斯特丹的市政档案馆只记载了他没有念市属高中,也没有去过第一HBS银行。尽管勤勉地查阅了参考文献和档案,除了一个例外,我从后来的调查中一无所获。但是这个例外很有意思。
在1913年版“荷兰贵族“第4卷中提到他被莱比锡 (Leipzig) 大学录取。我给莱比锡一位知名同事的信意外立功。莱比锡大学学生注册登记系统在两次世界大战中得以幸存。事实证明,特罗德于10月16日注册两年,其间念了数学、物理和化学。他住在教授冯·厄廷根 (von Oettingen) 教授的家中。他是否参加了毕业考试?是的话,他必须跳过一门或几门课程,或参加国家考试。1912 年 8月8日,他收到了一封他参加的讲座和实践的证明。他显然回到了阿姆斯特丹。
奇怪的是,名单上没有关于理论物理和数学的讲座。没有证据表明他在次年再次来到莱比锡。我怀疑情况并非如此,但无论如何他没有参加定期讲座:这已在登记系统中已查明了。
奇迹
现在,伟大的奇迹到来了。1912年3月18日,著名的物理杂志Annalen der Physik的编辑收到了他的一份手稿。它很快于5月23日发表 (7月17日杂志编辑收到了他的一份简短补充,对前文中的一些小错误进行了纠正) [注释1] 。

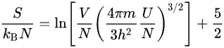
著名的Sackur-Tetrode方程
对于一个还不到十七岁的年轻人来说,这是一件令人惊叹的工作。这表明他已经研究和理解了现代理论物理学的大部分内容,特别是玻尔兹曼和吉布斯的统计力学,他并不惧怕相当高等的数学。这已经非常难得,但更为引人注目的是,他引入了两个大胆的假设,几乎是不言而喻的,而这些他无法证明但合理的假设,则给出了那个著名的方程 (德国物理化学家O. Sackur几乎同时得到了同样的方程 [注释2] ) 。这个理论引起了不小的轰动,洛伦兹和埃伦费斯特都研究过它。但两人都反对特罗德的方法,虽然他们承认它导致了有用的结果。随着量子力学后来的发展,人们才完全搞清楚特罗德为什么是正确的。

Otto Sackur (1880-1914) and Hugo Tetrode (1895-1931),(本图为译者所加,来自网络)
他从莱比锡回家后做了什么?我怀疑他一直在家里独立工作。1915年,他写信给埃伦费斯特,显然后者邀请他参加讨论班,他很遗憾当天无法参加,但他希望很快能去莱顿拜访埃伦费斯特。在不久之后的第二封信中,他感谢埃伦费斯特寄来的 (论文) 副本,并说可以从中学到很多东西。1915年,他在荷兰皇家科学院院报 (Koninklijke Nederlandse Akademie van Wetenschappen) 发表了一篇长论文,进一步阐述了他对“化学常数”的看法。这是由洛伦兹和塞曼提交的。如文档所示,他与洛伦兹交换了意见。到目前为止,我没有找到关于与塞曼有关系的详细信息,但特罗德和塞曼并不是不可能相互认识。无论如何,特罗德随后与其他荷兰物理学家进行了一些接触。
1916年,埃伦费斯特再次邀请他。他答称由于健康状况不佳无法参与讨论,他也没有在家接待访客。这可能是结核病的第一次发作吗?然而他对物理学的兴趣并未消失:同一封信中还包含了对普朗克文章的批评。
直到1922年,他才再次“发声”:Sanchez-Ron写信给我提及的论文发表于Zeitschrift für Physik [注释3] 。它包含一种新的力学方法,非常新颖,非常大胆,但数学上有精确地表述。这种方法也导致了特殊的思辨性的反思,用他自己的话说:“在最后四页中,我们宁可放弃对数学证明的思考。”我想引用几句话,尽可能原汁原味地将特罗德(在我看来非常漂亮) 的德语翻译出来:
“因果关系,部分取决于偶然性。然而,这种观念最初并不存在于人类头脑中,并且在过去并未得到遵守:众所周知,在世界事件中 (人们) 假设完全不同的相互联系,尽管是以一种相当幼稚的方式。”
在上面提到的那位表亲在家族文件找到的材料中,有一张特罗德的照片,照片背面写着“1922年夏天第一次会议,工人在演讲者房子的窗口”。我还没有确定它是哪个会议,但至少看来他已经康复并参加了一定的社交活动。1924年,特罗德给洛伦兹写了一封长信,解释说他过去完全陷入了对1922年论文中的想法的进一步阐述之中。他现在正朝着完全不同的方向寻找“量子之谜”的解决方案,并希望与洛伦兹讨论这个问题。
我不知道他们是否真的进行了这样的讨论,但无论如何,这种方法目前也没有被证明是富有成效的。发生在1924年至1928年之间的新量子力学的发展是沿着完全不同的路线。特罗德肯定密切关注这一发展。事实上,1928年他再次在Zeitschrift für Physik 发表了两篇文章 [注释4] ,其中包含对Dirac理论的宝贵数学补充,并显示出他已完全掌握最新的量子力学理论。与埃伦费斯特的最后一次通信也在那一年。后者要求他寄来论文副本,并邀请他有机会来莱顿:也许他会很高兴认识狄拉克或泡利。特罗德寄送了一些(论文) 副本并附上礼节性的回函,称旧论文的副本在阿姆斯特丹,他本人在苏斯特贝赫 (Soesterberg) 。他一回到阿姆斯特丹就会立即寄送给埃伦费斯特,但没有回应后者的邀请。
将爱因斯坦拒之门外
特罗德于1931年1月18日去世。其后不久,他的妹妹来到塞曼实验室捐献了他的科学藏书,塞曼的一名前雇员仍然清晰的记得这一幕。她说她哥哥死于肺结核,生前变得越来越怕见人,最后她几乎成了唯一一个与他接触的人。
有一则关于特罗德的轶事。爱因斯坦和埃伦费斯特有一次想去拜访他,却被他的仆人在前门谢客:“先生不待客。”这个我已听过多次的故事听起来可能难以置信,但它与我目前所发现的是一致的。浮现在我们面前的是一个真正有天赋的人,但健康不佳。因为经济上的独立,他可以抱病继续他的研究,但也许正是这种经济上的独立导致了一种逐渐形成的孤独。
无论如何,他显然并不热衷于参加会议和讨论。也许他认为,如果他能偶尔通过发表论文和他的同行沟通,那就足够了。我自己对此并不完全满意。我想多了解一下这位杰出人物的生活方式、思维方式和工作方法。这也是我写这篇短文的原因之一。
注释
1. 详见参考文献[2]。特罗德在5月23日发表的文章中给出了熵的一个启发性的推导,他假设基本单元相格的大小为(zh)^n.他利用液体汞的蒸气压数据拟合参数z。由于一些数字上的错误,他得到z≈0.07。在随后对前文的勘误中,特罗德修正了自己的错误,得到了z~1的正确结果。详见参考文献[9]。
2. 详见参考文献[3,4]。
3. 即文章开始西班牙科学史家J. M. Sanchez-Ron提到的“超距作用”论文,见参考文献[5, 6]。电动力学可以用粒子间超距作用(Action at a distance)——即不引入场的情况下——加以描述,以区别于(麦克斯韦)场论。这导致了Tetrode-Fokker-Schwarzchild作用量积分。这是H. Tetrode对电动力学研究的贡献。电动力学的超距作用思想比“场”的概念来的悠久,甚至在麦克斯韦场论被实验所证实之后约半个世纪,也即上世纪40年代末,费曼和惠勒师徒仍然试图以所谓的“吸收体”超距作用来诠释。
4. 见参考文献[7,8]。
参考文献
[1] http://www.marceltettero.nl/mtettero/Tetrode.htm,本文原文发表于NRC Handelsblad, 1984.2.23.
[2] H. Tetrode, Die chemische Konstante der Gase und das elementare Wirkungsquantum (The chemical constant of gases and the elementary quantum of action), Ann. Phys. 38, 434-442 (1912); Berichtigung zu meiner Arbeit: “Die chemische Konstante der Gase und das elementare Wirkungsquantum”︁ (Correction to my work: The chemical constant of gases and the elementary quantum of action), ibid., 39, 255 – 256 (1912).
[3] O. Sackur, Die Anwendung der kinetischen Theorie der Gase auf chemische Probleme (The application of the kinetic theory of gases to chemical problems), Ann. Physik. 36, 958-980 (1911).
[4] O. Sackur, Die universelle Bedeutung des sog. elementaren Wirkungsquantums (The universal significance of the so-called elementary quantum of action), Ann. Physik. 40, 67-86 (1913).
[5] H. Tetrode, Über den Wirkungszusammenhang der Welt. Eine Erweiterung der klassischen Dynamik (On the interdependencies of the world. An extension of classical dynamics), Zeitschrift für Physik, vol.10, 317–328 (1922).
[6] A. D. Fokker, Ein invarianter Variationssatz für die Bewegung mehrerer elektrischer Massenteilchen (An invariant set of variations for the movement of multiple electrical mass particles), Zeitschrift für Physik vol. 58, 386–393 (1929).
[7] H. Tetrode, Der Impuls-Energiesatz in der Dirachsen Quantentheorie des Elektrons (The impulse-energy theorem in Dirac’s quantum theory of the electron), Zeitschrift für Physik, vol. 49, 858–864 (1928).
[8] H. Tetrode, Allgemein-relativistische Quantentheorie des Elektrons (General-relativistic quantum theory of the electron), Zeitschrift für Physik, vol. 50, 336–346 (1928).
[9] W. Grimus, On the 100th anniversary of the Sackur-Tetrode equation, arXiv:1112.3748 [physics.hist-ph].
作者简介
Hendrik B. G. Casimir(1909-2000),即H.卡西米尔,荷兰著名理论物理学家以及工业研究领导者。1909 年 7 月 15 日出生于海牙,1926年进入莱顿大学跟随埃伦费斯特学习理论物理。后在哥本哈根成为尼尔斯·玻尔(Niels Bohr)的研究生。1931年他完成了有关量子力学和群论的博士论文,开始在量子力学领域崭露头角。1932至1933年,卡西米尔在苏黎世为泡利做助手,这段经历对他产生了持久而深远的影响。1948年,他与迪克·普尔德(Dik Polder)一起发现了著名的卡西米尔效应。卡西米尔的另一个角色是工业研究的领导者。他于上世纪50年代后期进入飞利浦实验室管理层,负责该实验室全球研究活动。卡西米尔在日常生活中喜欢美食、文学艺术、在山中Hiking,以及拉小提琴。
特 别 提 示
1. 进入『返朴』微信公众号底部菜单“精品专栏“,可查阅不同主题系列科普文章。
2. 『返朴』提供按月检索文章功能。关注公众号,回复四位数组成的年份+月份,如“1903”,可获取2019年3月的文章索引,以此类推。
版权说明:欢迎个人转发,任何形式的媒体或机构未经授权,不得转载和摘编。转载授权请在「返朴」微信公众号内联系后台。