本文将从以下几个角度对产品进行分析:
- 产品功能拆解
- 竞品分析
- 用户分析
- 用户调研
- 功能分析与优化方案
- 总结
01 产品功能拆解
笔者将B站的业务分为7个模块组成进行功能拆解,分别为内容社区、电商(会员购)、直播、游戏社区、知识付费、我的和广告。各业务模块下细分的各项服务及其重要功能组成,如链接中脑图所示。
02 竞品分析
以下为本文中使用的词汇缩写的含义明确:
- UGC – User Generated Contents
- PUGC – Professional User Generated Contents
- PGC – Platform Generated Contents
2.1 市场分析
B站,全名“哔哩哔哩(Bilibili)”,昵称“小破站”,于2009年6月26日诞生。创站初期的定位为ACG弹幕视频网站,目标用户是二次元爱好者;平台初期的核心功能在于分享第三方平台视频的同时,在视频上进行“弹幕”形式的评论与交流。
在发展至今的快11年历程中,B站做了两方面的探索:纵向深耕和横向扩充。
一方面继续深耕二次元垂直领域,丰富业务形式。B站加入了二次元方向衍生的直播、电商、游戏等联动业务,并从视频拓宽至漫画、专栏文字等内容形式,深化其二次元社区的建设,使之得以成为现今二次元垂直领域的一枝独秀,行业独占率高达87.3%(数据来源:易观千帆,二次元社区行业-APP分析-2019年6月数据),远甩其后的第一弹、AcFun、腐次元等产品一大截。
另一方面扩充社区内容,拓宽内容边界。首先,得益于B站良好的社区氛围和粉丝质量,大量优质的UGC视频陆续出现,并且这些优秀自制也不再仅限于二次元,而是更多的涵盖了鬼畜、生活、科技等领域。对此,B站执行内容泛化的运营策略,为各分区的UP主提供扶持计划,辅助更多优质UGC/PUGC内容出现在平台上。其次,B站也在做PGC方面的探索,包括番剧、国创、电影、电视剧等版权的购买,以及纪录片的自制。一系列的举措,使得B站的社区内容逐渐从初期窄众的二次元为主向更泛化的泛娱乐演化。
从B站的发展历程,可以看出B站的产品定位,已经逐渐从为小众的二次元爱好者服务的弹幕视频网站,发展成一个为年轻人提供综合性视频服务的兴趣社区。
2.2 明确竞品
由于B站在二次元垂直领域坚定不动摇的龙头地位,以及其从二次元弹幕视频网站扩展至综合性年轻人兴趣社区的产品定位转变,第一弹、AcFun、腐次元等二次元垂直领域产品在下文中将不被算作竞品进行分析。
而作为面向所有中国网名提供综合性视频娱乐服务的爱奇艺、优酷视频、腾讯视频,和面向年轻人提供服务的B站,在目前与未来的用户市场的争夺上,存在着更直接的竞争关系。
同时,同样拥有内容型平台属性,作为字节跳动部署视频领域产品之一的西瓜视频,虽然在产品调性上与B站存在着一定的差异,却在核心业务方向和B站存在着高度的重合。核心业务高度重合所带来的直面竞争可以从西瓜视频通过明星效应高调进入Vlog领域,并与B站的UP主之争初见端倪。
因此,下文选定作为B站的主要竞品进行分析的有:爱奇艺、优酷视频、腾讯视频、西瓜视频。
2.3 业务分布

上表是总结的B站和竞品的业务分布图,可以看出:
2.3.1 核心业务
“爱优腾”作为国内视频行业的“三驾马车”,在核心业务有着高度的重合,均针对中国所有互联网网民提供综合性版权视频和PGC视频娱乐服务。虽然目前三者有着一定的差异,比如爱奇艺更早投入平台自制视频服务并有着丰富的自制内容,优酷视频偏重老剧的采购,而腾讯视频有着更丰富的版权(比如英剧、美剧、好莱坞电影等的独家),但随着产品业务的发展,三者之间必然会有非常激烈的版权资源和用户市场的争夺。
这与B站的核心业务有着一定的区别,B站以UGC/PUGC视频为主要内容,鼓励用户成为平台内容的生产者;同时也基于B站社区的调性,对一些番剧、国创、动漫、电影、电视剧的内容进行版权的采购,以及制作一些符合B站审美的纪录片来丰富平台内容。
西瓜视频的核心业务定位非常类似于B站,同样也是UGC视频辅以版权视频。但是两者的社区与文化氛围有着非常大的区别。B站从二次元起家,一直致力于建设与维护良好、包容的社区氛围,并且其互联网行业独一无二的会员高门槛入会机制,也一定程度上对用户进行了挑选。而西瓜视频背靠头条,在初期通过头条大量的用户流量疯狂生长,而这流量的来源也一定程度上决定了西瓜视频的用户质量,从而影响社区氛围。
2.3.2 分支业务布局
“爱优腾”在分支业务上也有着较高的重合度。三者都有着UGC视频的布局,但是由于UGC需要社区氛围的培养与用户的教育,是一个需要时间投入的过程而非一蹴而就,因此都只能放在平台业务结构的分支上。另外,三者都有独立的明星娱乐社区,这与三家有着大量的版权视频,同时也直接参与视频制作不无关系。得天独厚的优势使得三家可以更好地从粉群经济角度布局,从而获利。
此外,三家均有直播的投入。爱奇艺以游戏、体育赛事、生活为主。优酷则以主流媒体、互联网教育、体育赛事、娱乐为主。腾讯视频也有直播板块,但因为腾讯自身有腾讯NOW直播(生活娱乐方向)和腾讯直播(电商方向)的独立App业务,腾讯视频中的直播板块仅以视频内容的扩充辅助形式存在(比如一些腾讯视频拿到直播版权的晚会、演唱会等,以免费或收费订阅的形式为用户服务)。
在以上类似的分支业务以外,爱奇艺还有全品类的电子商城、漫画和小说的文娱板块以及游戏业务;优酷视频则有漫画业务板块;而腾讯视频首先有漫画和小说的文娱业务板块,另外还有游戏板块体现了腾讯的游戏基因(但更多的是为腾讯旗下游戏导流),最后还充分利用其版权和自制优势,打造相关周边的电子商城(草场地)。
西瓜视频的分支业务则相对简单,主要体现在以游戏、音乐、乡野、生活和媒体为主方向的直播板块中。 B站有着独具特色的社区氛围,分支业务也多是从二次元切入,逐渐再将内容拓宽。B站直播业务中区别于其他平台的虚拟主播便是二次元切入的一个很好案例;并在业务拓展中逐渐加入游戏以及游戏赛事板块的直播;以及B站先天的UP主优势,也可以以一种粉丝社群的方式丰富起其直播业务。天然与二次元有着千丝万缕关系的游戏代理服务,也能在B站的社区氛围中得到更好的用户响应。
B站的电商产品也多为二次元周边以及展会票务等。另外,B站还是一个年轻人为主用户群体的社区,用户普遍有着对更优质内容的需求。基于此,B站也在进行知识付费布局的探索。整体而言,B站独特的社区“文化护城河”,使其在与竞品的相似业务中有着不同的布局方式。
2.3.3 商业结构
会员和广告是“爱优腾”的主要变现方式,而两者与内容质量有着强依赖关系。西瓜视频的变现方式则相对单一,主要依赖于字节跳动优秀的推荐算法以及广告分发平台,通过流量进行变现。而B站的变现方式更为多元,包括大会员、游戏代理、直播、电商、广告等,目前游戏代理是主要变现方式。这些业务之间独立性相对较强,整体而言使得商业变现结构更为完善全面。
2.4 产品发展史

上表是总结的B站和竞品的产品发展史,可以看出:
2.4.1 UGC/PUGC视频
B站成立初期,搬运视频以及二次制作视频便是这个二次元兴趣爱好社区的主力军。随着B站的日渐扩大,内容涵盖与用户数量的逐渐增多,社区也一直努力维持着一个友好、包容的氛围。但B站对其“小破站”的外号也可谓“不负盛名”,2009年成立的B站在2012年才在移动端正式上线;另一面,虽然有着强烈的UGC属性,并且也自然吸引着大量创作者和观看者的涌入,B站对优秀作品及平台内容创作者的扶持却来得相对滞后,力度也相对较弱。
但尽管如此,B站的良好氛围,依然保证着平台充足的优质UGC/PUGC视频,并在领域占据强力位置。 西瓜视频一开始发力的领域便是UGC,并且来势汹汹。于2016年5月正式上线的西瓜视频,在9月便宣布10亿的短视频创作者扶持。扶持带来了大量的流量与内容,2017年6月西瓜视频用户量便破亿,DAU破千万。但平台创作者也多带着投机心理,更多地成为了剪刀手或搬运工,创作内容也偏粗制滥造。
西瓜视频内容分成的扶持激励在接下来的发展中持续加码,2017年推出「3+X」变现计划,成立20亿联合出品基金,带来了更多的用户和平台内容。不同于B站一路坚持的“自留地”社区氛围建设,西瓜视频更关注于内容多样性与更广的大众用户群体,内容板块也更显“接地气”,包括有:游戏、三农、Vlog、美食等。西瓜视频更广的目标用户群体,更大的用户流量和更高的内容供给数量,已经给B站的发展带来一定的压力。
2.4.2 版权/PGC视频
版权视频和平台自制视频,可以说是背靠财力雄厚的BAT的“爱优腾”三家的主战场。
2010年上线的爱奇艺在2011年便开始在平台自制视频上的投入(先是自制综艺《爱GO了没》,接着是自制剧《在线爱》),应该是“爱优腾”中最早正式踏入平台自制领域的。
优酷是中国最早的一批视频网站(于2006年正式上线),2008年得到北京*电总广局**颁发的“广播电视节目制作经营许可证”可以看出其对平台自制的布局,并以2012年的自制真人秀《我是传奇》打开自制道路。
最晚杀入战场的腾讯视频,在一开始便大刀阔斧地对大量优质的欧美影视剧资源进行独家版权的收购,丰富平台内容。并于2017年开始自制领域的探索(超级IP网剧《鬼吹灯之精绝古城》),隔年打造现象级话题网络综艺《创造101》。 版权视频作为“爱优腾”的主战场(同时也是强劲优势),西瓜视频和B站若想要分到一杯羹,只能想办法另辟蹊径。
比如,西瓜视频选择引入大量泰剧。而B站,基于独特社区优势,也限于成本压力,在番剧、日本影视剧,以及“小精美”的纪录片、电影、电视剧上进行引入。 在自制方面,西瓜视频于2018年正式进军自制综艺领域,并于2019年2月推出综艺《大叔小馆》,发展较为激进;B站则早早开始对国漫、国创的支持,并于2015年成立Bilibili影业,次年12月推出的《我在故宫修*物文**》纪录片备受好评。在自制方向上整体而言,西瓜视频依旧走得是大众路线;而B站也依然遵循其年轻人社区氛围,进行二次元布局及高质量优秀平台内容的制作。
2.4.3 直播
2014年1月,腾讯视频上线直播。同年2月,优酷推出直播功能,主要围绕体育赛事直播(2018年5月,拿下世界杯直播权)和生活内容直播(2019年12月,全资入股生活秀直播平台来疯直播)开展业务。同年6月,爱奇艺世界杯频道正式上线,支持赛事直播,并在后期加入游戏、生活领域的直播业务扩展。 B站的直播业务开展的相对滞后,于2014年11月上线直播功能。但B站的直播也有着强烈的社区特色,比如对虚拟主播的签约,并以此开对展虚拟偶像的粉丝社群经济的探索(2018年增持“洛天依”母公司股份)。
此外,类似于对视频内容的扩充尝试,B站也在对直播内容作扩充尝试,希望在深化二次元方向的同时,开展更多游戏、生活等其他方面的拓展。在2017年组建官方电竞队进驻职业电竞领域,在2019年12月用8亿拿下LOL三年的全球总决赛独家直播版权,同期以高价独家签约冯提莫,都可以看出B站对直播业务发展的野心和决心。 西瓜视频于2018年1月上线直播,由于用户调性更“接地气”,西瓜的直播更多地围绕乡野、生活展开。同年3月,西瓜视频对职业电竞队完成赞助,应该也是对游戏直播业务的布局。
2.4.4 电商
2015年4月爱奇艺商城正式上线,并在之后与京东独家合作,试图打造视频电商平台。但爱奇艺商城作为一个全品类电商,功能相对而言较为鸡肋,发展前景模糊。 B站于2017年11月上线“会员购”,可以理解为是对二次元社区内容的展开和补充,商品也主要围绕二次元周边和票务。 腾讯视频于2018年上线“草场地”,商品主要是围绕影视剧IP的周边,具一定特色。未来可以和doki明星社区天然展开连结,开发更多明星相关的影视剧IP的周边商品,带动粉群经济。
2.4.5 游戏
B站2016年9月宣布独立代理手游FGO国服,2017年12月组建官方电竞队BLG,正式进驻职业电竞领域。爱奇艺和腾讯视频均设有游戏中心,并向自主开发的游戏引流。
2.4.6 知识付费
“爱优腾”和B站均有对知识付费的部署,B站由于2019年央视“过去一年已有超过1800万人在B站学习”的报道,知识付费业务的打开收到额外的关注。从社区氛围和用户属性来看,“爱优腾”更偏大众娱乐性,B站的年轻用户群体的确更适合知识付费业务的尝试。
2.4.7 商业化
“爱优腾”的商业变现模式从一开始就非常直接,就是“会员+广告”占收入大头。无论是“会员”还是“广告”的商业模式,都需要吸纳更多的用户。而用户的数量非常依赖于平台内容的数量与质量,因此三家都在版权购买、独家引入以及平台自制上卯足了劲。但由于用户市场基本已经达到饱和,三家之间的用户争夺、内容竞争也将变得越来越激烈,市场版图也基本定型。
对于付费用户,除却内容,三家也试图通过和其他领域产品的联合会员,通过会员权益吸引付费用户;但相较于内容,这对付费用户数量的影响相对较弱。在付费用户数量基本定型的前提下,平台只能试图在ARPPU上“做文章”。具体体现在会员体系上的创新,比如:腾讯视频的花式会员收费(如《陈情令》、《庆余年》的会员超前点播)以达成扩收等。此外,其实“会员”和“广告”两边的收益可以看作是零和的,因为用户成为“会员”会带来“会员”收益的同时,也会导致“广告”业务的损失,非会员用户同理。所以平台也在试图寻找新的尝试,在这零和以外,进行创收,具体操作比如有:会员不再是去除广告,而是缩短广告;腾讯视频首创的“蛋黄广告”等。
“广告”是西瓜视频的主要变现方式。西瓜视频一直打得都是庞大的下沉用户市场,同时背后有着字节跳动成熟的推荐系统和广告系统的加持。下沉用户市场意味着更庞大的目标用户群体,而成熟的推荐系统技术则保证了用户的粘性和使用时长,更利于广告的投放,自然吸引更多的广告主。
B站的商业化则走得更为多元。UGC/PUGC视频作为B站的核心业务,支撑着一部分“广告”收入,然而不同于西瓜视频“用户内容消费—平台广告变现—创作者内容分成”的完美商业闭环,B站这块的业务一直比较“拧巴”。由于B站一直想做的“高用户体验”,并在早期做出“不对视频加入贴片广告”的承诺,使得“广告”无法成为大头收入,不俗的MAU也并无法直接撬动高广告收益,也因此很难与优秀内容的创作者进行更好的广告收入分成(在与内容创作者收入分成上,有的尝试是2016年上线充电计划,由观众直接“承包”喜欢的视频内容)。
而这商业闭环的不跑通,是隐藏着巨大的潜在风险的。如果平台无法寻求到更好的变现方式,无法更好地与平台内容创作者分成,是无法留存住创作者的,毕竟为爱发电是一件很难维持的事,而失去内容创作者要面临的就是平台内容的流失,那么即将面对的就是平台核心业务的丢失了。
2016年10月上线“大会员”制度,是B站在“会员”商业模式上的一个探索。但由于B站视频本身不添加贴片广告,会员权益不会包括免广告功能,那么吸引用户为“大会员”付费的理由就只能是平台内独家版权视频和自制视频,这就需要B站在番剧、国漫国创、影视剧、纪录片等的版权引进,以及自制纪录片、综艺的数量和质量上做出更大的努力,才能足够吸引到愿意买单的用户。
游戏作为B站的非核心业务,却是B站的变现主力。手游FGO的国服独家代理,给B站带来了大量收益。但过分依赖游戏代理业务的商业结构是不健康的,B站也在努力通过提高其他业务收入已达到稳定收入结构的目的。B站2019年Q3财报显示,经过努力,游戏业务与非游戏业务已经达到50:50的占比。
直播收入也在B站的商业布局上,逐步占领更重的位置。根据B站2019Q3财报披露,直播和增值服务业务收入已达4.5亿,占总收入的24.2%,同比增长167%。在直播业务,除瓜子商店外,B站还上线了“老爷”和“大航海”制度。可以看出,B站在直播模式与ARPPU相关性高,头部付费用户是更重要的切入点。 此外,B站还在试水知识付费。作为拥有大量年轻用户群体的平台(根据易观千帆2019年6月统计数据显示, 55%的用户为24岁以下,而这个人群正是学生人群),知识付费作为B站的补充性收入,也是一个不错的选项。
2.5 产品数据表现

上表是总结的B站和竞品的数据表现,可以看出:
(1)在用户规模上,B站与“爱优腾”有着量级的差别,只能算“爱优腾”的一个零头;而与西瓜视频也有着一倍的差距。推测主要原因在于B站的产品定位。B站最初的产品定位为二次元视频网站,而后逐渐转变为针对泛二次元人群,到现在扩展至年轻人兴趣社区。而“爱优腾”和西瓜视频,在一开始的产品定位,便是针对全中国互联网网名的泛娱乐服务。理论目标用户就有着量级的差别。
(2)在人均单日启动次数上,西瓜视频有着最高的数据(8.2次),其次是B站(7.1次)。猜测原因一在于视频时长。西瓜视频有很多的短视频,而B站视频主要为中长视频,“爱优腾”则有更多长视频。视频时长会对用户是否点开App的抉择带来影响。一般来说,点开App观看短视频不需要太多的心理建设,因此会时不时点开观看一下;而对于长视频,比如需要全情投入的追剧、综艺等,因为需要占用走一整块片段时间,用户在决定观看前,一般都会对时间提前做好安排。因为会对点开App的时间做预留、安排,所以也没有不时点开App的需求了。 原因二在于内容分发形式。西瓜视频主要依赖的是推荐机制,对于无所事事、漫无目的,只是想使用一个App进行休闲娱乐的用户更为友好。因为用户不需要有一个明确的目的,便能点开App进行浏览。而B站,用户普遍认为推荐系统的推荐效果不是非常好,主要还是依靠订阅和主动搜索来获得视频内容。而“爱优腾”更是主要以搜索为主,那就意味着如果用户没有一个明确的目标,那么也并不打开App进行随意浏览。
(3)在用户粘性体现上,西瓜视频有着最高的人均单日使用时长(121.3min),爱奇艺(114.7min)与腾讯视频(105.4min)紧追其后,然后是B站(90.2min),最后是优酷视频(85.9min)。推测西瓜视频得益于字节跳动优秀的推荐系统,可以一直不停地推送满足用户需求的视频内容,用户容易沉浸到使用中而不自知。而爱奇艺与腾讯视频的长视频,一般也容易占走一定的片段时间(比如:50分钟一集的电视剧,两集就能占走100分钟的使用时长;或者一般综艺的时长也在80-120分钟间)。对于B站的人均单日使用时长较低有几个猜测。猜测一可能就是B站的推荐系统效果不佳,因此在观看完关注UP主的视频内容后,用户一般不会对其他内容进行新的探索。 猜测二可能在于:视频时长和App的页面设计。不同于西瓜视频的Feed流形式,B站的视频观看,还是较为传统的点开视频,跳转页面进行观看(当然采取这种形式很有可能也是因为不足的推荐系统算法导致)。而每一次点开一个新的视频进行一个页面的跳转,一定程度上也在不断的提醒着用户“你正在浏览一个新视频”(换言之,用户可以清晰的感受到视频切换的边界)。而B站的视频时长一般在6-15分钟间,用户很容易就会需要切换下一个视频。因此,明确感受到的“你正在点开一个新视频”的压力随着打开视频数量逐渐加强,当焦虑到达一定极值时,用户便会主动离开App的使用了。
(4)在另一个用户粘性体现的角度,人均月度使用天数上,西瓜视频有着最优的表现(13.2天),B站占据二位(10.4天),随后才是“爱优腾”。推测原因类似于人均单日启动次数,视频时长与内容分发形式为主要原因。
(5)在次月留存率上,“爱优腾”和西瓜视频都保持着差不多的数据表现(50%左右),而B站则较明显低于其他四家(27.9%)。推测原因,可能是B站正在努力扩展中,试图获取更多用户,而过于强烈的社区特色和有鲜明调性的平台内容并不能很好的满足到新吸引的用户,因此造成较大的用户流失。这一定程度上也表示,B站若想要在用户规模上得到更大的增幅,就必须从现有的社区氛围建设和大众性上做出一个抉择。
(6)在行业独占率角度,B站拥有着最高的比例(43.6%)。但需要注意的是,B站的行业独占率是指在垂直视频上的占比。但也一定程度表明B站在垂直领域已经达到了垄断地位。其次是西瓜视频(30.4%),数据是在短视频聚合平台上的占比。接着是爱奇艺和腾讯视频,两者有着相差不大的占比(11.6%和11.7%),而优酷视频有着最低的行业独占率(仅为3.4%)。三者的数据皆为在综合视频的占比。从三者之间数据的比较,可以看出优酷的独占率远远低于其他两家,用户忠诚度相对较低。
2.6 目标产品的优劣势分析

上表简单分析总结了B站的优势和劣势:
(1)B站的独特社区氛围为B站建立了一条独具特色的文化“护城河”,使得B站在巨头厮杀的环境中依旧可以做到“圈地自萌”,在ACG和UGC/PUGC领域占据高地。但这文化“壁垒”既是保护B站存活的城墙,也是限制B站发展的禁锢。即使B站正在努力从最早的二次元/泛二次元社区转变为年轻人社区,和“爱优腾”针对全国网民的市场定位相比,理论目标用户规模依然不是一个量级。而西瓜视频的果断杀入UGC领域,也在威胁着B站的未来发展空间,并且这个“未来”并不远。
(2)B站对社区的建设,还有另一个优势体现在UGC生态的蓬勃发展。相较于版权和自制的高昂成本,UGC产自用户,成本较低。并且内容长尾,满足各类用户需求。但不能认为UGC社区运营是无成本或低成本的。而这方面是B站的一个弱势,一直都在摸索(也是一直都没摸索出)一个适合的商业模式。最直接的“用户内容消费—平台广告变现—创作者内容分成”商业闭环无法完成,而从其他收入来“贴补”UGC创作者的“家用”,明显也不是一个长久之举。为创作者提供更多变现途径,以此吸引更多优秀创作者的加入和更多高质量内容的产出,是一个亟待解决的问题。
(3)B站的商业化方式相对多元,各业务间的关联性较弱,独立性强,抵抗风险能力强。每一个独立的业务都有发展的潜力和空间。但深入来看,B站的收入结构仍是有很大风险的,具体在于占据B站营收半壁江山的游戏业务发展并不明朗。虽然2019Q3财报显示游戏业务营收占比已经下降到50%,似乎是B站营收平衡达到了一个很好的效果。然而不可忽略的是,带来这一份平衡的原因可能并不是非游戏业务的飞速发展,而更是因为游戏业务的增长停滞。代理FGO带来的营收,向来是B站游戏业务的大头。而任何一款游戏都是有生命周期的,过分依赖一款游戏带来的游戏业务营收是极具风险的(并且B站还没有FGO的版权,每年都要和Aniplex重新签约)。具体可以从B站财报数据看到,2018Q4、2019Q1、2019Q2、2019Q3游戏业务的收入分别是7.1亿元、8.7亿元、9.1亿元、9.3亿元,环比增长分别为22.5%,4.6%和2.2%,明显体现出增长放缓。并且与此同时,B站并没有摸索出另一个可以带来巨大收益的游戏,来优化游戏业务的收入结构。
(4)B站作为一个UGC/PUGC内容平台,却始终没有着配套的推荐算法支持。推荐算法对于用户粘性的提升一定有着至关重要的作用。一定程度与“公司基因”有关。张一鸣的字节跳动从初始就定位从算法出发做一家商业公司,因此商业化变现道路也走得更为通畅。相较而言,B站一直都如同一个温吞佛系的文化社区,更强调的是社区的维持,因此商业化道路也走得更为谨慎。
03 用户分析
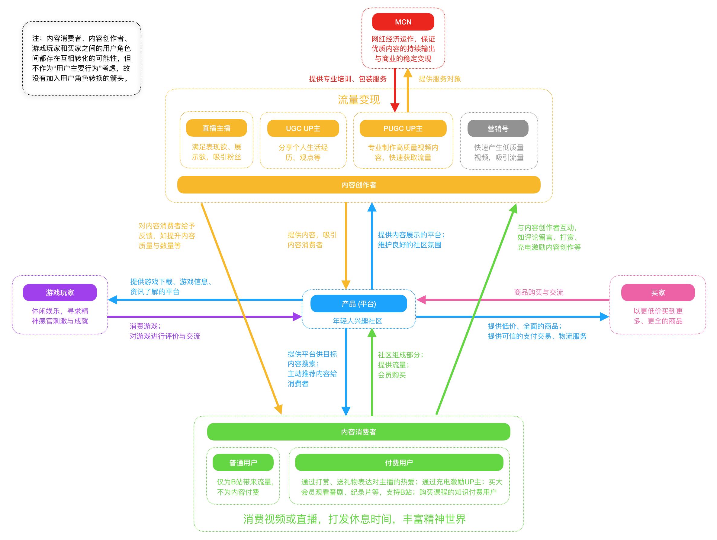
3.1 用户角色地图

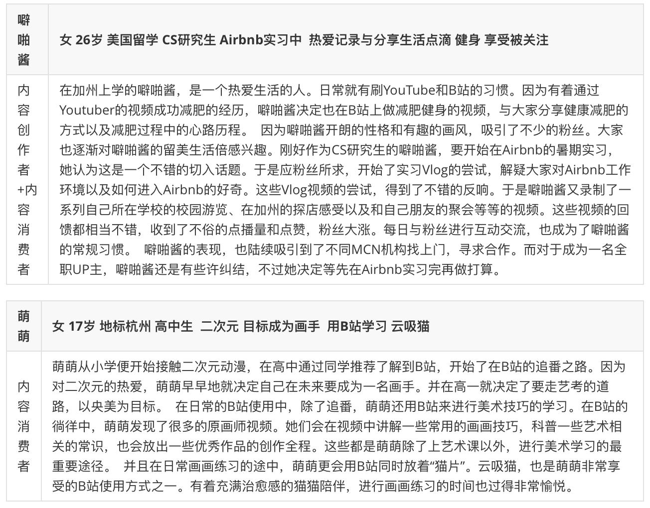
3.2 用户角色(User Persona)



04 用户调研
4.1 调研问题列表
4.1.1 基本信息
- 性别
- 年龄
- 地点
- 职业
- 收入范围/月零用钱
- 什么时候知道B站的?怎么知道B站的?又是因为什么开始使用B站的?
- 身边用B站的人多吗?有成功拉人入坑的经历吗?
- 有混过什么圈层吗?混圈使用的什么平台?使用频次?
4.1.2 使用习惯
- 平时B站使用的频次?平均每次使用时长?
- 会因为什么打开B站?(比如是因为推送消息?还是没事就点开看看?还是因为想搜什么?)
- 一般会在什么场景使用B站?
- 会和别人分享视频或者UP主吗? 会:通过什么方式?有觉得不方便的地方吗? 不会:为什么?
- 有试图在B站交网友吗?为什么?如果有交到网友的话,维护网友关系一般会在站内还是站外交流呢?站外的话,会在什么平台?有什么不便之处吗?
- 看视频时会开弹幕吗?弹幕会影响体验吗?怎样的影响?
- 会使用评论吗?在评论交互中会有任何觉得不适的地方吗?
4.1.3 用户自制
- 具体做什么?(会浏览哪些内容、信息?)
- 通常使用时的浏览路径?
- 会逛“分区”吗?常逛的分区有?有觉得不便的地方吗?
- 主要关注的UP主?会和UP主有互动吗?有的话,是什么样的互动?
- 知道“频道”吗?知道的话用吗?怎么用?有觉得不便或值得提升的地方吗?有什么不适吗?
- 知道“动态”吗?知道的话用吗?觉得好用吗?自己会主动发动态吗?知道“话题”吗?会使用吗?
- 知道“专栏”吗?知道的话会看吗?会关注什么内容?有觉得不便的吗?
- 觉得“首页推荐”推荐的视频符合你口味吗?不符合的话,问题是什么?
- 发现新人UP主的频率高吗?会通过什么途径?
- 有举报过吗?因为什么?成功了吗?
- 使用抖音或西瓜视频吗?为什么?
4.1.4 平台内容
- 追“番剧”、“纪录片”、“电视剧”中的任何一个或多个吗?或者另外?
- 通常使用时的浏览路径?
- 追的内容是通过什么途径了解到的?(首页推荐、自己主动浏览分区还是其他社交平台?)
- 如果是自己主动搜索的到的话,有什么搜索时不便的地方?影响内容点开的因素有哪些?
- 有购买“大会员”吗? 有:权益中哪一个最吸引你购买“大会员”?权益都会用到吗?你还会继续购买“大会员”吗?为什么? 没有:为什么?
- 会使用短评吗?短评查看和编写中,有任何不便的地方吗?
- 会有想和B站中兴趣同好交流的想法吗?有的话,现在的方式是什么?觉得需求能否被满足?
- 会使用会员购吗?频次和消费力度?有什么不便或希望改进的地方?
- 你现在有在使用其他视频网站? 有:是什么?用来做什么?为什么用?哪个用的多点,为什么?有购买会员的习惯吗? 没有:那曾经使用过吗?放弃的原因?
- 认为B站和其他视频网站相比,会更吸引你吗?为什么?
4.1.5 直播 1)使用直播吗?
使用:
- 什么时候开始使用直播的?
- 通过什么途径了解到直播这个功能的?(主页?朋友推荐?UP主推荐?社交平台?新闻通稿?)
- 看B站直播的频率?时长?
- 最主要看哪个板块?
- 选择在B站看直播的原因?
- 有打赏/买礼物过吗?
- 除B站之外,还看其他App的直播吗?为什么?
不使用:
- 是曾经用过,现在不用了吗?是的话,为什么不用B站直播?
- 使用其他App的直播吗?为什么?
4.1.6 学习
- 在B站学习吗?
- 在B站学习什么?
- 通过什么途径了解到B站的学习资源的?
- 为何选择在B站学习?
- 一般学习的频率有多高?学习时长为多长?
- 会对想学习的或者正在学习的视频进行收藏吗?
- 通过B站学习的好处和坏处?坏处可以被克服吗?克服的方式是什么?
- 学习效果如何?你觉得造成效果的主要原因是?
- 还有在其他的学习平台学习吗?有的话,什么平台?学习效果如何?和B站相比,优缺点?
- 你会和别人分享,在B站的学习内容或者学习方法吗?为什么?
- 有用过其他知识付费产品吗?你觉得,影响你课程选择和订购的因素是什么?
4.2 调研回答整理






4.3 调研回答总结
本次调研有5名用户参与,3名女生和2名男生,均居住于上海、浙江地区(其中一名在英国留学中)。其中有3名职场人和2名学生。
5名用户中有3名通过朋友了解到B站,另外2名用户通过自己主动搜索找到B站。5名用户均表示身边很多人都在使用B站,并且都在差不多同一时期开始使用,均为高中、大学学生时期开始使用。
5名用户使用B站频次均为每天,其中4名表示使用时长至少为1小时,另1名表示至少使用半小时。5名用户对B站的使用均为重度依赖,但功能的开发、使用相对为浅度或中度。5名用户均表示认为B站的社区氛围佳,用户素质相对较高。但相对而言认为B站的社交氛围较弱。
在调研过程中笔者发现,5名用户使用B站的目的都很明确,主要是看UGC视频以及平台版权/自制视频。用户的兴趣爱好和对视频内容的需求多种多样,并有4名用户在平日里有“混圈”的需求。另外,有2名用户表示因为关注的UP主的原因,会使用直播功能。仅有1名用户表示会在平日使用会员购。5名用户在娱乐之外,都表示会使用B站进行学习。有2名用户表示B站学习资源过多,无法下手;4名用户表示无人督促,很难坚持学习计划;2名用户表示一个人学习,学习氛围不强,容易松懈、偷懒。
笔者还发现,5名用户的UGC视频观看使用路径较为单一,重度依赖主动搜索和首页推荐。同时用户认识到UP主的途径也非常单一(不利于UP主的曝光)。另外,平台中专栏的内容形式基本遭到忽略。频道功能存在着严重的失效,一定程度在于功能引导与功能效用体现两方面的不足。几个板块之间关联性弱。
具体的调研问题结果已经归纳在 [4.2 调研回答整理] 的表格中。
05 功能分析与优化方案
经过用户调研问题的结果总结,B站产品优化方案将主要按以下两个大方向展开:
- 优化频道板块
- 新增学习计划功能板块
功能优化方案如脑图所示。方案相关细节会在之后章节具体展开。

5.1 优化频道板块
1)需求背景
通过用户调研的结果显示,可以看到有1名用户表示并不知道频道板块,另有3名用户知道却不使用,仅有1名用户知道并会使用,但使用频率非常低。由此可见,频道板块的功能存在严重的失效问题。
2)频道功能分析
在分析功能失效的原因前,先随笔者理解一下什么是频道?及其目的为何?
首先,频道板块可以简单理解为,就是曾经的标签功能的一次全面升级。标签,是由内容创作者在内容创作发布时添加的,目的在于帮助内容消费者更快得定位到目标内容,以及帮助平台做更好的内容聚合和内容相关推荐。而频道存在两种形式,一种是官方频道,另一种是普通频道,最主要的区别在于官方频道有着更完善的tab页,以及有相关频道的关联推荐。
而频道板块存在的目的,笔者认为主要有三:
- 提供一个颗粒度更细、灵活度更高的内容聚合新方式。B站曾经的内容聚合方式主要为:分区、用户直接搜索、标签以及UP主空间,而分区则是最重要的内容聚合方式。而随着B站的发展,越来越多带有不同属性标签的用户(或者也可以更直接的说,就是有更多的三次元用户)涌入B站社区,分区已经逐渐跟不上B站内容发展的步伐了(具体体现在,有大量的视频内容无法找到准确的分区位置,都挤在了科技、生活、时尚这几个分区里)。早期设定的内容分类框架无法支撑起如今的迅速发展,频道应运而生。而另一层面,订阅的频道内聚合的是用户自身做过选择的内容,可以显著提高用户定向浏览内容的效率,从而提升用户粘性。
- 做成细分的兴趣社区入口,平衡用户扩张与社区氛围之间的矛盾。良好的社区氛围建立在活跃的用户社交意愿上。而三观相合,能达成基本共识的人聚在一起,才能提升彼此间的交流欲望,从而达到优化社区氛围的目的。在B站的发展过程中,扩张的用户人群必定带来因属性区别无法达成理念共识而导致的用户间情感维系降低问题。而为不同的兴趣圈层提供相应的兴趣社区,能一定程度帮助挑选并归并三观、理念相近的人群,从而提升社交感,进而稳定整体社区。另外一个层面,频道的建立有着很高的灵活性,而B站的内容长尾显示着用户兴趣的多种多样,两者相搭也有潜力使B站成为一个为小众兴趣圈提供圈层社区搭建的平台。
- 增加未来商业变现方式和机会。首先最直观的,频道可以精准定位受众调性,方便广告商的定向投放(最简单的方式就是在频道投放信息流广告)。其次,频道的存在可以方便一些有针对性的活动的精细化运营。比如品牌方想进行一个宣发活动推介,B站就可以直接将频道运营权限出售给品牌方,品牌方则可以直接在频道内更灵活地运营相应活动,而B站也可以配合在站内对这个活动频道进行上首页等方式的推广。
由此可以看出,频道板块建立的初衷是很好的,但目前所达到的效果却是有限的。
3)失效原因分析
用户调研结果显示,频道板块失效原因主要为: ①用户不知道这个板块功能,或者说没有留意过频道。笔者认为,这是因为频道的功能并没有得到很好的引导。首先,频道板块相对独立,没有与用户最常会使用到的首页有很强的关联。其次,在用户的日常使用路径中,频道作为一个新概念,其作用没有得到很好的曝光,因此无法吸引到用户的注意。
②用户知晓该板块功能的存在,但不加以使用。不加以使用的原因,有两种情况。一种情况是,进入频道的总界面,存在页面复杂混乱的问题,用户直接被劝退。另一种情况是,针对进入具体频道后的界面,其功能作用没有足够的吸引力让人使用,具体展开分析,笔者认为有以下几点:
- 功能混乱。具体来说,精选页和综合页没有必要拆分成两页。两者本质都是视频内容形式的展示页,前者可以理解为没有时效性的由平台挑选的视频推荐,后者则是一个可以选择视频排序方式的内容展示页,其中近期热门应该是经过算法的推荐视频,*放播**最多则是30天内按*放播**量排序的视频,最新投稿则是按投稿时间排序的视频。
- 功能单一。内容形式仅为视频和话题的整合,作为一个社区的尝试,频道完全可以放入标签相关的更多内容,丰富其聚合的内容形式,使其区别于首页对于用户的兴趣推荐。
- 功能逻辑不统一。频道作为标签的升级,仅对标签下视频内容做了整合,而并没有对专栏进行归并,明显在逻辑上存在混乱问题。
- 功能不足。具体体现在话题页。话题页作为一个社交的尝试(其内容的展现形式类似于微博、微信朋友圈、虎扑等社交内容的卡片信息流,不难感受到其试图探索社交功能的尝试)并不完善。首先,就是信息流内容分发方式有问题。一系列的热门固定在信息流最上方,用户下拉刷新也没有内容更新,体验不佳;而当热门内容过多时,新发布的动态卡片要拉到信息流的很下方才会出现,即新更新的内容并不能得到良好的曝光机会。其次,针对每个动态卡片,其实也有就推动用户交流欲望方面的优化空间。
4)优化目标
优化频道入口,完善频道功能,吸引到更多的用户发现、探索、使用频道板块功能。
5)优化建议
- 新增在搜索结果页的频道入口,强化首页与频道的关联,引导用户感知频道订阅功能。
- 在视频*放播**页下方标签栏和UP主空间强化频道存在感,引导用户知晓频道功能存在。
- 优化频道总界面,解决页面复杂混乱、劝退用户的问题。
- 优化具体频道界面,解决逻辑混乱问题,丰富完善功能,提升用户使用频道的意愿。
5.1.1 新增频道入口
通过调研发现用户的UGC视频观看路径较为单一,首页的搜索是用户较为依赖的一种发现视频的方式,即首页搜索栏的使用率相对较高。因此,在首页搜索栏的搜索结果页新增频道入口,根据搜索关键词,推荐相关联频道,提高频道曝光率,引导用户感知到频道及其订阅功能的存在。同时,一定程度上也能缓解首页板块和频道板块弱关联,相对独立的问题。

5.1.2 强化频道存在感
1)标签形式改变
频道作为一个新的概念,需要对用户进行适当的教育,让用户明确感知到频道的存在,以及理解其功能作用。如同当年instagram、微博等产品向用户推广和教育tag、话题的功能与用途一样,使新概念可以成为用户使用途径中的日常与习惯。
而频道作为标签的升级,最容易在用户使用途径中,出现在用户视野的位置,就是视频*放播**页面视频信息的下方,即曾经标签所在的位置。现在的做法,是将有官方频道的标签高亮,并加上一个icon来强调频道,等待用户点击,进入具体频道页,然后探索到频道的功能作用。但是,相同于标签的呈现形式,相对抽象的图像icon强调方式,其实很难使得用户从曾今的标签印象中,抽离并升级为频道印象,即频道概念依然无法深入人心。另一个角度,用户意识到频道标签与频道之间的关联需要的步骤繁杂:首先需要点开频道标签,记住频道界面的样式;然后点开频道板块,点击具体频道,又一次看到频道界面样式;最后细细品味,了解到“原来两者是相通的”。
相较而言,文字表达则更为直观。通过在有官方频道的标签处,添加“频道”字眼,强调频道的存在,更便于用户直接与频道板块进行思维连接,从而达到推广、普及频道印象的目的。这种设计建立起频道标签与频道板块的关联,需要的步骤仅为:用户看到频道标签上的“频道”二字,用户看到频道板块的“频道”二字,然后自然建立起联系。相较而言,这种方式,用户的概念关联途径更近,认知成本更低。而在一段时间的教育后,待用户已经会将升级标签与频道板块进行天然联系后,再考虑表现形式改为icon加上频道名的形式。

2)新增UP主关联频道
在UP主的空间页面,添加该UP主常用频道一栏。首先,是起到强化频道的概念(同时又增加了频道的一个入口)。其次,也可以起到帮助建立UP主画像的作用,比如帮助区分该UP主是擅长什么细分领域的内容创作,或该UP主是垂直领域的深耕学者还是兴趣广泛的杂学家。最后,也为未来频道的发展预留一份空间,主要考虑的方式是,待未来频道概念成为习惯自然,UP主也可以自建频道,并拥有管理、经营该频道的权限,同时也更有利于小众圈层社区的建立。

频道排序的规则:
- UP主在哪个频道投稿的数量越多,该频道在频道tab中就会显示的越靠前;
- 投稿数相同的频道,会按照在哪个频道的投靠时间越靠近,频道在频道tab中越靠前的规则显示。
5.1.3 优化频道总界面
用户调研显示的频道总界面劝退问题,主要根结在于:一个页面当中的内容元素、展现形式过多,导致视觉效果错杂,用户使用感混乱。引用调研的用户原句,即“界面花里胡哨”。在第一时间无法理解到想通过界面传递的功能到底是什么,同时用户也没有意愿额外花时间精力来理解、挖掘,所以直接劝退。
比如,“订阅频道”和“热门频道”最上方频道的展现形式均为圆形缩略图,包含的信息为频道示意图和频道名;“最近看过的频道”频道的展现形式是矩形卡片,包含的信息为频道示意图、频道名和浏览时间。这两者,本质是一样的,都是频道的快速入口,不具备订阅功能,且都不包含过多的频道内容信息,唯一的信息区别,在于后者所包含的浏览时间,但其实也并非是一个重要信息(笔者也暂时无法想到这个信息的有效功能作用是什么)。那么在这样的前提下,使用两种不同的展现形式,其实是不必要地增加了用户的感知和理解成本,会大幅提升探索抗拒感。其实在牺牲的仅为无关紧要的浏览时间信息情况下,完全可以减少展现形式,将两者统一为一种。
再比如,具体来看“热门频道”。该部分由三块子组成部分:最上方的是频道圆形缩略图组成的总览(无详细信息,无订阅功能,仅为入口);中间穿插一个推荐频道的矩形条(有频道最新动态的简单描述信息,无订阅功能,仅为入口的存在);接着便是圆形缩略图显示的频道的具体内容的快速查看(呈现形式为一个频道单独占据一行,其中包括两个视频的豆腐块,同时还具备订阅功能)。其中,最上方的频道圆形缩略图入口,和下方的对应频道内容快速查看存在一定的重复冗余。如果说下方的快速查看是想通过视频内容的展示,来为用户解释频道的内容是什么,并吸引用户进行订阅,笔者认为较为牵强。用户做决定订阅一个频道,一种可能是用户自身本来就带有强烈意愿的订阅,那么无需两个视频的展示,便可吸引订阅;另外也可能是经过一段内容的挖掘后最终决定订阅,那么这种情况下,两个视频的展示也没有任何的说服力,依然需要用户进入到频道内通过一系列的视频探索后才会做最终决定的。因此在笔者看来,完全只需要提供一个频道入口并附上订阅键即可。
因为频道总界面存在两种状态,以下笔者将分别展开讨论优化方案。
1)未订阅任何频道时
在未订阅任何频道时,频道总界面所应扮演的角色是提供具体频道的入口广场,同时通过提供频道订阅键,来帮助用户最直观地将频道与分区区别开。
以此为基调,优化方案将围绕降低用户理解成本展开,界面的构成继续保持原设计(即依然由三部分组成:最上方是频道搜索栏和订阅频道栏,接着是最近看过的频道,下面是热门频道频道)。
首先,取消热门频道下的内容快速查看。其次,减少最近看过的频道和热门频道中频道的展现形式,统一为圆形缩略图的形式。最后,为强化与分区的区别,同时也为本身就带有强烈意愿进行订阅的用户提供便捷功能,所有的圆形缩略图下都加上订阅键。

2)有订阅频道后
在有订阅的频道后,频道总界面的主要作用,在笔者看来,应该有二:一,所有订阅频道的入口及其相应的信息通知地;二,所有订阅频道内视频的集合展示区域,相当于一个做的更精细的用户自制喜好决定的推荐页面(没必要再是一个个频道分开展示两个推荐视频了,原因也有二:一,既都是用户自制确定喜欢的内容,不分开推送也不会影响体验;二,用户真的想要观看特定频道内容,大可直接点击入口进入,仅在界面展示两个豆腐块的内容也不能满足视频选择的需求)。
按照以上思路,对有订阅频道后的订阅总界面的优化方案主要针对我订阅的频道栏,将其改为我的订阅,综合展示所有订阅频道内的视频,作为具体频道的视频页的快速浏览以及总和区域(具体展示的视频的挑选逻辑选择算法推荐,用户每次下拉都会进行一次更新,在无新视频点击情况下保证有10次更新内容)。我的订阅内,设置放5行,每行2个豆腐块的视频内容。

但需要注意的是,以上综合区的优化方案也有一定风险。一定程度上,若频道综合页逐渐成为用户的习惯使用途径,即用户放弃对首页的依赖时,可能会带来用户社区的封闭化,形成信息茧房。在目前用户还在扩张,无需内向发展的阶段,可能此方案的确可以一定程度上提升用户粘性,但并非必要。
5.1.4 优化具体频道界面
频道分两种形式,一个是官方频道,另一个是非官方频道,非官方频道的内容及功能远少于官方频道。以下的优化方案均针对官方频道展开。
具体频道界面的优化思路,主要围绕两点:一,完善频道内容;二,完善逻辑。
1)优化订阅数据统计
此优化建议的目的在于,帮助用户进行频道订阅时进行快速筛选。具体实现方案为:
- 删除精选视频数;
- 新增专栏数;
- 新增阅读量;
- 新增订阅人数;
- 新增好友关注人数(即关注的人中,有多少人也关注这个频道);
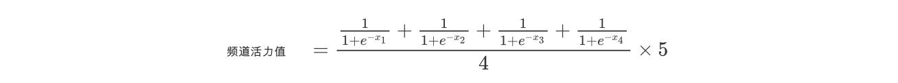
- 新增频道活力值(按照5星制度来显示)。

频道活力值计算方式为:

其中 x1, x2, x3, x4 分别为单位时间内:投稿视频增加量,视频*放播**增加量,投稿专栏增加量,专栏阅读增加量。使用sigmoid函数的原因在于把数据增幅映射到0-1之间,便于数据间比较。将4个经过sigmoid的数值相加再除以4,是为了再次将数据归一到0-1之间。最后乘以5是为了方便5星制度的表达。
2)新增UP排行榜页
通过调研发现,用户在使用途径中,直接了解认识UP主的途径较为单一。于UP主方面,UP主作为平台内容创作的重要资源,得到适当的曝光,会是财务以外的一个很好激励手段(尤其对于新人UP主);于观众而言,有一个快速甄别自己所喜爱的领域相关的UP的区域,也是为用户提供了一个方便视频挑选的途径。同时,UP榜单也可以起到丰富频道内容形式的作用。
具体在UP排行榜页设置两个分页:人气UP榜和潜力UP榜。前者上榜的为该频道内投稿获得最高人气的UP主,后者上榜的UP主有粉丝数量的限制。

上榜规则:
- 潜力UP上榜,要求粉丝数少于5万;人气UP上榜,粉丝数没有限制。
- 上榜计算公式:
- 榜单,每一个日历周的周期,进行一次更迭。
- 每个榜单,各有10名提名的UP主。
3)合并精选和综合页
将精选和综合页合并为视频页。视频页内的视频,按算法来推荐。

4)新增专栏页
新增专栏页,丰富频道内容形式的同时,完善标签升级的功能逻辑。专栏页内设置两种排序方式,分别为:热门排序(按阅读量、点赞数、评论数计算)以及最新排序(投稿时间)。

5)优化话题页
对于话题页的优化方向,主要为:优化动态分发方式和动态卡片展示内容。
前者的优化方案为:设置热门只出现在第一个卡片位置,而同批次的热门内容会在每次下拉刷新时更新;从第二个卡片位置开始,就能看到最新更新的动态,排序按照发布时间。

后者的优化方案为:在动态卡片中,增加提示评论的功能提醒。

5.2 新增学习计划功能板块
1)需求背景
从用户和产品两个角度,对学习计划功能板块进行相应的需求分析。
2)用户角度
调研中所有用户都表示会使用B站进行学习,而学习的内容,所包含的领域,多种多样(在笔者的用户调研中就已经囊括:考研、机器学习、数据分析、编程、原画、音乐等领域)。用户使用B站进行学习的主要理由,免费当然是其中之一,而另一点很重要的,在于资源的综合全面性,覆盖面非常广,很多小众的不知道去哪里寻找学习资料的内容都能在B站搜索到。
但在使用B站进行学习的过程中,由于B站目前并没有针对学习场景的相关功能设计,用户也表示碰到了不少问题。主要问题集中在:
- 学习资源过多,无法下手。
- 一个人学习的学习氛围不强,无人督促,容易松懈、偷懒,很难坚持学习计划。
3)产品角度
“学习”,是一个符合主流核心价值观的属性标签,也是一个很好的推广传播关键词。而B站,非常适合这个关键词:无论是从其内容的长尾丰富,自身本来就是一个优良的学习库来说;还是从其自身的目标用户群体就非常贴切、符合学习的需求来看。创新学习场景的相关功能,不仅能优化用户体验,也能更好地起到传播、引流作用。
4)优化目标
搭建学习场景相关功能,针对调研显示问题,满足用户需求,优化用户体验。
5)优化建议
- 新增我的学习计划。支持学习内容选择以及学习计划制定,并提供学习提醒功能,帮助督促用户到点学习。
- 新增学习计划广场。支持学习计划的共享以及用户评价,帮助对学习资源的甄别,同时营造群体学习氛围。
5.2.1 我的学习计划
1)入口
在「我的」板块的「我的服务」栏,新增进入「学习计划-我的」页面的入口。

2)「我的」主界面
通过上述入口,进入「我的」界面。界面中,将用户的学习计划分为三类存放展示:(1)正在进行的学习计划(2)等待翻牌的学习计划(3)已完成的学习计划。

3)新建计划
“新建计划”是「我的」板块中最重要的功能之一。用户可以根据自身需求,对学习内容进行相应挑选,并整合成一个学习计划。点击「我的」主界面右上角的功能入口,进入新建计划的编辑。

新建一份学习计划,主要由4个部分组成:(1)信息编辑(2)计划属性设定(3)提醒功能设置(4)学习内容选择。
【信息编辑】
该部分主要包括:
- 计划名编辑
- 计划简介编辑(可选)
- 计划封面设置
【计划属性设定】
计划的属性,分为两种:
- 公开 – 公开的学习计划会出现在计划广场,可供所有用户评价、讨论以及收藏。
- 私有 – 私有的学习计划,仅限创建者可见。
关于公开/私有属性设定的一些规则: ①为便于所有学习计划的管理,对学习计划设有唯一PV号。
②使用PV号对学习计划进行管理的规则:
- 私有变公开,PV号不变;公开变私有,PV号会改变。
- 学习计划一旦被公开,该PV号的学习计划会一直存在于计划广场中,不存在可以被替换/修改一说。
- 公开计划不能对内容进行编辑,私有计划可以;若想对公开计划进行编辑,需先将计划私有化。
- 私有化公开计划,对原计划不产生影响,会生成一个不同PV号的学习计划出现在「我的」页面。(即对于「我的」里的公开学习计划,私有化该学习计划,就是一次duplicate的操作)

选择公开学习计划后,会出现计划投放分类选项一栏。计划的投放分类是必选项,即必须选择一个广场上的计划分类投递。

关于学习计划的分类设计,如下图所示:

【提醒功能设置】
提醒功能由两种状态:
- 开启 按照设定的学习计划时间,会对用户进行提醒推送; 保存新建的计划,会归入“正在进行的学习计划”。
- 关闭 不会对用户进行推送提醒; 保存新建的计划,会归入“等待翻牌的学习计划”。

开启提醒功能后,会出现调整学习计划的选项。点击进入到调整学习计划的页面。

关于设置的学习计划相应的提醒推送,设置以下规则:
- 在一个日历周里,若还没有达到设定每周学习天数,当天还没有达到设定每天学习时长,在设定的提醒时间,便会推送提醒信息,提醒用户到点学习(按照默认设置,举例,即:若一个日历周还没有达到3天,当天没有达到30分钟,那么在当天晚上8:00,就会有推送信息提醒用户学习)。
- 在一周已经达成设定学习天数的学习任务时,本周内不再会有提醒信息。
【学习内容选择】
有两种添加学习内容的方式:
- 通过av号,添加视频。
- 直接添加收藏夹(即用户自己的收藏夹),收藏夹内容的视频会被归于学习计划中。

4)打卡
“打卡日历”是「我的」板块中另一项重要的功能。当有正在进行的学习计划时,用户可以点击「我的」主界面右上角的功能入口,进入打卡日历页进行打卡记录的查看。在打卡日历页中,通过左右滑动,切换查看不同计划的打卡日历;而不同计划的打卡日历界面相同。

在功能使用中,无需手动打卡,一旦开启的学习计划中的视频观看,便会自动记录。时长到达设定目标,便会自动打卡成功。
5)计划详情页
根据学习计划的属性,计划详情页同样也分为公开计划详情页和私有计划详情页两种。
【公开计划详情页】
界面包含学习计划的: ①基本信息(包括:计划封面、计划名、PV号、计划简介、相关数据、计划评分及评分人数)
②浅度互动功能
- 点赞 – 比起评价与评论,点赞是一个相对浅度且更便于用户发生交互的功能。
- 转发 – 包括站内和站外两种转发类型。计划详情页的转发功能的设计,是为了更方便地传播、推广学习计划这一新功能模块,进而更好地宣传推广B站。
③更多功能(包括:私有化、调整学习计划)
- 私有化 – 点击私有化,会有一个全新的学习计划,辅以全新的PV号,出现在「我的」页面的“待翻牌的学习计划”中。原学习计划不会发生改动。(即符合公开/私有属性变化的规则:公开计划变私有,即为duplicate了一个新的学习计划,该计划拥有全新的PV号,且其属性为私有)
- 调整学习计划 – 点击调整学习计划,会进入到之前“新建计划”中提到过的”调整学习计划“页。
④内容tab栏
- 标题处,会显示学习计划中内容的统计数据。
- 点击视频所在的条块区域,进入到视频的*放播**界面。
⑤评价tab栏
- 供用户评分和填写短评。
- 同时,也便于用于在对学习计划进行筛选收藏时,参考并了解学习计划于自己的适配度。
⑥评论tab栏
- 供用户就当前学习计划相关内容的探讨与沟通
【私有计划详情页】
界面包含学习计划的: ①基本信息(包括:计划封面、计划名、PV号、计划简介)

②更多功能(包括:公开、编辑计划、调整学习计划)
- 公开 – 点击公开,会出现询问窗口;点击确认后,会询问用户将学习计划公开投放至计划广场的哪一分类下(分类选择,选且仅可选一个)。在学习计划属性变化的过程中,遵循公开/私有属性变化的规则:私有变公开,PV号不变。
- 编辑计划 – 这个功能仅存在于私有计划详情页,即只有私有属性的学习计划,可以对内容进行编辑。点击进入“编辑计划”页,页面类似于“新建计划”页。
- 调整学习计划 – 点击调整学习计划,会进入到之前“新建计划”中提到过的”调整学习计划“页。
5.2.2 学习计划广场
计划广场的主要功能在于帮助用户快速甄别学习资料。所有公开的学习计划,都会出现在计划广场页。
用户在广场收藏的学习计划,属性均为公开(即用户对于该计划的使用数据将会被统计,且不能修改编辑该学习计划内的内容)。并且在广场收藏的学习计划,将会出现在「我的」页面的“待翻牌的学习计划”一栏。
1)入口
「学习计划-广场」页面的入口设置在「首页」板块的「学习区」中。

2)「广场」界面
「广场」界面提供公开学习计划的归总,用户可以在广场页浏览、搜索、收藏有用的学习计划。其下主要可以分为5个组成界面:推荐界面、一级分类界面、二级分类界面、搜索界面和计划详情界面。
【推荐界面】
点击「首页」板块「学习区」中的“学习计划”,进入「学习计划-广场」的默认界面。由搜索栏、广告banner、推荐视频的豆腐块组成。

推荐界面的学习计划,是平台通过算法,主动推荐给用户的学习计划。
【一级分类界面】
从默认界面上方的轮动条,滑动选择除“推荐”以外的标签进入的界面,即为一级分类界面。
一级分类界面的构成类似于推荐界面,但是在banner下方,多出该一级分类下的二级分类中的推荐标签。

【二级分类界面】
从一级分类界面提供的二级分类标签处,点击便可进入相应的二级分类界面。
二级分类界面中的视频通过指定的排序方式展示。

【搜索界面】
点击搜索栏,会进入到搜索界面。搜索界面除搜索栏外,还有热门搜索、搜索历史、猜你喜欢的组成部分。

在搜索栏输入关键词后,将得到相应的搜索结果页面(两种情况:有相关结果和无相关结果)。

【计划详情页】
点击任何一个界面中的学习计划,都可以进行计划详情页的查看。”计划详情页“界面基本同于“公开计划详情页“。区别在于:(1)不提供“更多功能”(2)提供浮动的收藏功能。

06 总结
自2009年创站以来,B站一直在不疾不徐的稳步发展中。定位逐渐从二次元垂直社区发展至为所有年轻人服务的兴趣社区,业务边界也逐渐扩充至内容社区、直播、游戏、电商、知识付费等多个领域。
而在发展的过程中,问题也逐渐展露。长久以来困扰B站的问题,总结主要有二:
- 商业模式多元但变现效率低。
- 用户规模的困境与挑战。
第一个问题,更主要偏向的是MAU的变现效率问题。由于对贴片广告的拒绝,使B站失去对MAU最直接的变现方式(并在一定程度上也降低了会员业务的吸引力)。而没有良好的流量-广告的变现模式,其实也是失去了创作者变现中最直接、最简单的一种方式。而为创作者提供良好的变现支持,才是鼓励并留住内容社区中坚力量的唯一途径。因此,高效的变现方式,是B站发展中亟待解决的一个问题。
第二个问题,需要从时间角度上进行分析,探讨时间轴上现在与未来,用户规模的困境与挑战。
在现在,B站的用户规模相对较小,虽然暂时没有急于下沉的需求,但用户规模依然亟待扩张、增长。而扩张的用户群体,势必会对现有社区造成冲击;圈层的扩充,若无法找到好的引导措施,势必对社区氛围造成影响,并且预留下文化冲突引起的群体对立的风险可能。因此现阶段,对产品功能做更好的完善以及推广宣传以吸引更多的目标用户,同时平衡社区氛围和用户规模间的矛盾,是发展的两个关键点。
而站在现在的时间点,展望未来,B站的用户规模迟早面临下沉挑战。目前B站有着非常优秀的社区氛围和忠实用户粘性,一定程度上是依赖于其强烈的“文化护城河”。这一点,使笔者一直认为,就算在未来的发展中,B站依然维持着低速慢走的发展速度,也不会让B站在激烈的视频混战中淘汰出局,而是依然可以偏安一隅。但无论是迫于市值压力,还是企业终将不安于独守一片自留地,B站迟早会发展到需要下沉的压力位。而此刻最大的潜在风险和挑战,在于山头可能均被他家占领。即,不充分的下沉布局,终将会导致被对手夺走自身未来的发展空间,降低自身的用户规模天花板。