晶体化合物
吡咯中氮气中的低电子密度使它们成为弱碱(对于吡咯,Kb约为10−17;cf约为10−5),不可能用水酸制造吡咯盐。
事实上,正如接下来所显示的,质子化发生在碳上,而不是在氮上。
此外,吡咯不会与烷基化剂形成季盐,也不会与过氧基化合物形成胺类氧化物。
这与吡啶形成了鲜明的对比。吡咯中氮上电子对不可用的另一种解释是,如果芳香六分体(及其稳定能)用于形成键,就会被破坏。
当吡咯被强酸加热时,会形成一个包含三个吡咯单元的晶体化合物。
其结构已确定为7.4。强酸也会导致吡咯产生不良的聚合物产物。这些过程依赖于环上碳的质子化,而不是氮的。

为了说明这个产品,我们提出了方案7.13的作用机制。这里,一个吡咯分子在3位质子化;这种情况并不常见,但并不未知。
由此产生的碳正离子然后作为一个亲电试剂指向第二个吡咯分子,该分子攻击通常的2位。中间体在二氢吡咯环的3位被质子化,形成的碳正离子攻击第三个吡咯分子的2位。

在设计合成物时,必须考虑到吡咯对酸的敏感性,并且在一般情况下,要避免使用酸性条件。
众所周知,仲胺的氢是弱酸性的,可以用强碱去除,形成阴离子。吡咯在氮上的氢酸性要大得多,可以很容易地用金属酰胺(如KNH2)等碱和活性金属(Na或K)去除。
吡咯的酸解离常数为10−17,与酒精的含量差不多。
吡咯阴离子的额外稳定性来自于负电荷的共振离域化。
吡咯阴离子可以被烷基化或酰基化,并可以参与迈克尔反应和其他典型的氮阴离子反应。
这些性质在n-取代吡咯的合成中非常有用。迈克尔反应如下图所示。

迪尔斯-阿尔德反应
苯和吡啶的芳香环体系阻止这些化合物以二烯的形式进入二烯-alder环加成反应。吡咯也是如此。
然而,通过在氮上放置吸电子基团,可以调节电子在环内的离域,因为这些基团共同接受n上的电子对。
例如吡咯的N-碳氧基衍生物;具有强亲二烯体,Diels-Alder环加成,得到7-azabicyclo七二烯(7-氮硼二烯)体系的衍生物。

该方法对该桥接环体系的构建是非常有用的。
吡咯2位的金属化
- 烷基吡咯的一个综合有用的性质是,2位上的质子可以被活性金属(Na、Li和K)或强碱(丁基锂和BuLi)去除。
- 这种行为不同于缺氮杂环,在缺氮杂环中,强亲核试剂如BuLi添加到环C=N单元。
吡咯阴离子对亲电试剂反应,产生含有碳基的加成产物,或含有烷基的C-烷基衍生物。

呋喃的反应
呋喃是N、O、S杂环中芳香族最少的一种,在亲电取代反应中需要特殊的条件来保存环。这个环对酸性条件也很敏感。
当替换成功时,输入的是2个位置,其原因与吡咯替换的描述相同。一些对呋喃有用的工艺描述如下:
磺化。吡啶中的三氧化硫得到2-磺酸
断言。二恶烷中的溴得到2-溴衍生物。不需要催化剂。
硝化。预成型的氟硼酸硝基铵(二氧化氮+氟硼酸盐−)作用于生成2-硝基衍生物。
酰化。与乙酸酐反应得到2-乙酰基衍生物。
在某些条件下,呋喃在二烯体系中加入反应物,从而得到非芳香族产物。这是通过与亲电试剂反应形成通常的碳正离子而发生的。
然后添加亲核试剂而不是以通常的芳香取代方式消除质子。例如,当使用甲醇溶液中的硝酸作为硝化介质时,该产物为5-甲氧基-2-硝基加成产物。

另一个例子是在水中进行溴化反应,在这里,溴化离子作为亲核试剂。

与其他芳香体系相比,呋喃在Diels-Alder反应中表现良好,许多例子是已知的。与马来酸酐的反应见方案。
在这里,内显加成产物的形成速度比exo快,但外显异构体更稳定。

因为这是一个平衡的过程,最终的exo是最终的产物。我们已经证明了呋喃是分子内Diels-Alder反应的优秀参与者。
噻吩反应性
噻吩经历了大量的亲电取代,有些比苯更容易,这可以从环中pi-电子密度的增加中预期出来。替换发生在2个位置。
下面列出了一些对噻吩取代有用的特殊条件的例子。
磺化作用在30◦C下发生在浓硫酸中。
硝化是用硝酸-乙酸酐完成的。
在黑暗中氯化,或与硫酰氯一起氯化,得到单氯衍生物。
与乙酰氯的弗里德尔工艺酰化需要较温和的催化剂四氯化锡,而不是通常的氯化铝。
用Me2NCHO和三氯氧磷进行甲酰化反应,可以很容易地将醛基安装在环上。
磷孔环系统
原则上,PH取代NH的环体系应该具有芳香特性,因为P上的孤电子对可以像吡咯那样被离域到环中。
然而,母磷孔分子是不稳定的,仅在−90◦C,11的光谱上检测到,但p-甲基衍生物是稳定的和可蒸馏的,还有许多其他已知的取代磷孔。
该领域正在定期发展,值得在这里简要考虑。这些文献已经得到了广泛的综述。
关于磷孔具有芳香性质的现实已经有了很多讨论。第二排元素参与离域现象的一般观点没有错;毕竟,周期体系中磷的邻居是硫,噻吩是一种高度芳香的化合物。
磷的问题是,与氮完全不同的是,当这个原子处于三价态时,这个原子具有sp3杂化和稳定的锥体形状。
这意味着具有三个不同基团的磷是手性的,而且具有光学活性的磷烃确实是已知的。金字塔反转的活化能约为30-35千卡/摩尔,足以使简单的膦在回流二甲苯中的半衰期约为3小时。
14在室温下,孤对定位于sp3轨道,而不是p轨道,因为吡咯中的势垒较低。sp3轨道朝向远离环的平面,因此不能像与氮所发生的轨道那样有效地与碳孔隙重叠。

人们普遍认为磷酸孔具有低芳香性。然而,需要注意的是,质子核磁共振谱确实显示了芳香体系中发现的前场移动。
对于1-甲基磷孔,在复杂的AABBX谱(X = 31P)中,质子和质子都在δ为6.5-7.5。简单的磷孔通常是液体,但1-苄基磷孔在室温下被发现是结晶固体。
这使得该结构可以通过x射线衍射分析来确定,这清楚地显示了磷的锥体形状。
然而,从环内键长的测定表明,存在一些电子离域;这给了较低的BI为35.5、2、7、16,低于呋喃(43),但仍然指出了离域的测量。
NICS值也远低于呋喃的NICS值。这是通过将大的2,4,6-三(叔丁基)苯基取代基放置在P环上的实验完成的。
x射线衍射分析确实显示P金字塔明显扁平,环内键长有明显的变化。17鸟类指数为56.5,接近吡咯的值(59)。
与这种增加的芳香性相一致的是,该化合物与乙酰氯和氯化铝进行了弗里德尔-克拉夫特反应,这是第一个在碳上发生任何亲电取代的磷酸孔。
主要产物的结构为7.7;酰化作用也发生在第4位和第5位。磷孔的其他性质是磷所特有的,而且大部分与吡咯的性质不同。
吡咯的苯并衍生物(铟)
海豚科是所有杂环科中最重要的一种,而且该系统的化学性质是巨大的。许多天然产物和合成药物都含有这个细胞核。
我们在这里局限于芳香性问题,我们发现我们正在处理的是一个稳定的环系统,它展示了过量所预期的所有特性。计算出的电子密度如图下图所示,其中发现所有碳的密度都大于1.00。

对3位的偏好可以通过考虑一个正物种攻击的共振可能性来解释。中间体7.8通过氮的电子释放来有效地稳定,而正中间体在2位攻击时的稳定则需要破坏苯的芳香体系。
虽然它仍然是一种稳定作用,但不如7.8中直接电子释放。

取代剂的试剂和温和条件类似于吡咯。应该补充的是,质子化发生在3位而不是氮气上,这并不奇怪。
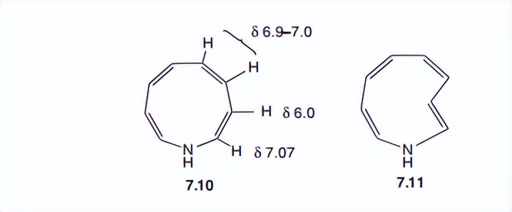
大环Pi-过量的杂环
利用包含8个双键电子和氮上孤对的9元偶氮环体系,可以建立具有10个电子(n = 2)的高温芳香体系。用一个反式双键,应变被解除,化合物7.11具有合理的稳定性。

7元氮卓环的衍生物是众所周知的,尽管该环没有具有8个pi-电子的芳香族。事实上,根据它对未填充键合MOs的描述,它被归类为反芳香族。
大环氧和硫杂环也已知,具有4n+2pi-电子的杂环表现为芳香性。
具有混合杂原子结合的芳香族环体系
在这里,我们将考虑在一个5元环中有一个饱和的杂原子(例如,NH,O,或S)作为一个电子供体,以及一个类似吡啶的C=N作为受体的情况。
这种情况导致了强烈的离域化和具有巨大的稳定性和常见的环
咪唑系统为考虑这种情况提供了一个合适的例子。然而,在NH基团中,存在互变异构体,质子从一个氮转移到另一个氮。

为了解决这个问题,我们将考虑咪唑的n-甲基衍生物,其中不可能存在互变异构体。该化合物的共振杂化反应如下图所示。

作者认为:贡献者说明了供体N-Me和受体C=N的直接相互作用,这是*种杂**的主要贡献者。N上的负电荷是可以接受的,当然也与吡啶型离域化有关。
结果表明,咪唑的IA为79,与吡咯(85)和噻吩(81.5)的IA比较接近。
1,3-恶唑中的氧电子和1,3-噻唑中的硫电子的共振杂化是相同的形式。
在噻唑中,鸟的IA值为79。这些化合物具有芳香族体系的所有特征,并且容易进行亲电取代。
同样,在*唑三**类药物7.13和7.14中也存在明显的离域现象。鸟的IA值甚至更高(分别为90和100)。

来自杂原子O、N和S的不同混合物的相当多的杂环体系是可能的,并且在存在多环受体的情况时,芳香性可以预期是明显的。
这些原理也适用于双环和多环体系,并且已知大量稳定的芳香族体系。嘌呤是最重要的双环体系之一,它存在于核酸的碱基中。
在这里,一个嘧啶环和一个咪唑环被融合。后者将表现出其通常的互变异构行为,但现在这两种形式并不相等,而嘌呤本身的7.15形式已知在7.16中占主导地位。
参考文献
- 溴代吡咯腈高效液相色谱分析[J]. 吴红,焦九英,蒋松钰,李晓燕. 科技信息. 2013(09)
- [2] 2-(溴代吡咯腈-1-基)乙羧衍生物的设计、合成及生物活性[J]. 周蒲,张列雄,马俊豪,郭倩男,游江,昌勤哲,徐志红. 农药学学报.
- [3] 溴代肟醚*酮丙**溶液的气相色谱法分析[J]. 王立娜,杨娇,闵怡,梁文帅. 化工设计通讯. 2021(11)