26岁的小王准备“十一”结婚,准新娘是一位白领美女。为了做好结婚准备,小两口决定去做一下婚前检查。可这一检查,到手的准新娘却变作天鹅飞了。怎么回事?原来问题就出在小王的两对半检查单上。无独有偶,小王的结果是二、四、五阳性。准新娘一看这个结果,一脸幸福马上转变为一脸乌云。虽然听过肝病医生的解释,但准新娘还是愁容不展。从医院回去后不久,小王就重新回到了光棍队伍中。为什么会这样呢?都是那个二对半的检查阳性结果引起的,下面让我们一起了解一下乙肝。
一、了解乙肝
肝炎是肝脏炎症的统称。病毒性肝炎的病原学分型,目前已被公认的有甲、乙、丙、丁、戊五种肝炎病毒,分别写作HAV、HBV、HCV、HDV、HEV。而不同类型的肝炎常见的症状主要有乏力、饮食不振、恶心、呕吐、厌油、低热、腹痛腹泻、肝区疼痛、黄疸等。乙肝和丙肝是感染规模较大的两种。乙型肝炎又称为血清性肝炎、乙型病毒性肝炎(简称乙肝),是由乙型肝炎病毒(HBV)引起的传染病。估计每年死于乙肝感染的人口超过78万人(数据来自WHO)。乙肝临床表现多样化,易发展为慢性肝炎、肝纤维化和肝硬化,少数病人可转变为原发性肝癌。
乙肝主要有5项检测指标,它们依次是乙肝表面抗原(HBsAg),乙肝表面抗体(HbsAb)、乙肝e抗原(HbeAg)、乙肝e抗体(HbeAb)、乙肝核心抗体(HbcAb)。通常又把1、3、5项呈阳性(或+)称为大三阳,1、4、5项呈阳性(或+)称为小三阳。一般认为,大三阳表示病毒复制活跃,常同时伴有乙肝病毒DNA(脱氧核糖核酸)阳性,说明具有较强的传染性,同时演变成慢性乙型肝炎的可能性也比较大。小三阳表示病毒已基本停止复制,传染性比“大三阳”小,若乙肝病毒DNA阴性,则基本不再具有传染性。
二、已有的*器武** — 市售乙肝药物
美国目前有7种批准的药物用于成年人慢性乙型肝炎感染。包括每天口服一次或者一次以上的5种抗病毒药物,以及作为注射剂通常给予6个月-1年的2种称为“干扰素”的免疫调节剂药物。

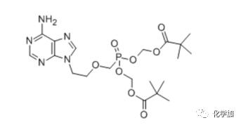
1. 替诺福韦(Viread) (2008年批准)
替诺福韦,富马酸替诺福韦二吡呋酯(Tenofovir Disoproxil Fumarate, TDF, 商品名 Viread),是一种由美国Gilead Sciences公司生产的新型核苷酸类逆转录酶*制剂抑**(NRTIs),通过抑制HBV逆转录酶的活性抑制HBV病毒复制。替诺福韦也是世界卫生组织WHO艾滋病治疗指南推荐的艾滋病抗病毒一线药物。在国内被列为国家免费艾滋病抗病毒治疗一线药物。其结构式如下:

每天口服一次,至少一年或更长时间不会有副作用。替诺福韦(Viread)被认为是最具效果的一线治疗方案。
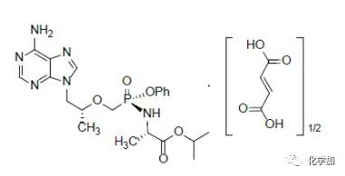
2.替诺福韦艾拉酚胺(Vemlidy) (2016年批准)
Vemliy是一种乙型肝炎病毒(HBV)核苷类似物逆转录酶*制剂抑**和是适用为在有代偿的肝病成年中慢性乙型肝炎病毒感染的治疗。剂量和给药方法: Vemliy开始前,测试患者HIV感染。有HIV感染患者不应单独使用Vemliy。Vemliy开始前和期间治疗后乙型肝炎的严重急性加重在所有患者当临床上适当评估血清肌酐,血清磷,估算肌酐清除率,尿糖,和尿蛋白。其结构式如下:

每天口服一次,副作用相较于替诺福韦(Viread)更少。是十年来首个获批的乙肝新药,是目前乙肝治疗的最推荐的药物。
3.恩替卡韦(Baraclude)(2005年批准)
恩替卡韦片,适应症为本品适用于病毒复制活跃,血清转氨酶ALT持续升高或肝脏组织学显示有活动性病变的慢性成人乙型肝炎的治疗。恩替卡韦,在已经上市和尚未上市的几种药物中,抑制病毒复制的活性最强,一年平均可降低对数的7次方,几乎是拉米夫定的100倍,对极大多数病毒水平很高的病人也能在1年左右降至不能检出。早期作用更明显,头2周就能降低2次方,对救治重症病人特别有利。在肝移植病人可用于抑制病毒复现,可长期应用预防再感染导致的移植肝排斥。其结构式如下:

每天口服一次,在至少一年或者更长的时间内几乎无副作用,同样是乙肝的一线治疗方案。
4.替比夫定(Tyzeka)(2006年批准)
替比夫定片,用于有病毒复制证据以及有血清转氨酶(ALT或AST)持续升高或肝组织活动性病变证据的慢性乙型肝炎成人患者。本品可用于有肾功能受损的慢性乙型肝炎患者。对于肌酐清除率≥50 mL/min的患者,无须调整推荐剂量。对于肌酐清除率<50 mL/min的患者及正接受血透治疗的终末期肾病(ESRD)患者需要调整给药间隔(表1)。对于终末期肾病患者,应在血透后服用本品。其结构式如下:

每天口服一次,在至少一年或者更长的时间内几乎无副作用,是乙肝治疗的二线方案。
5.阿德福韦酯(Hepsera)(2002年批准)
目前临床应用的阿德福韦酯是阿德福韦的前体,在体内水解为阿德福韦发挥抗病毒作用。阿德福韦酯是5’-单磷酸脱氧阿糖腺苷的无环类似物。该品适用于治疗有乙型肝炎病毒活动复制证据,并伴有血清氨基酸转移酶(ALT或AST)持续升高或肝脏组织学活动性病变的肝功能代偿的成年慢性乙型肝炎患者。其结构式如下:

每天口服一次,作为二线治疗方案有一定的副作用,患者如果采用这个方案必须定期监视肾功能。
6.拉米夫定(Lamivudine) (1998年批准)
拉米夫定(Lamivudine)对乙型肝炎病毒和HIV有明显的抑制作用。口服吸收后,拉米夫定可在HIV感染细胞和正常细胞内代谢生成拉米夫定三磷酸盐,它是拉米夫定的活性形式。后者通过竞争抑制作用,终止DNA链的延长,从而抑制HIV和HBV的反转录酶和HBV聚合酶,阻止HIV和HBV的DNA合成和病毒复制。体外实验中与齐多夫定联合,对HIV病毒有协同作用。其结构式如下:

每日口服一次,在美国并不常用,原因是它与新药相比疗效并不突出,大多数人在一两年内就会出现耐药。
7.聚乙二醇化干扰素(Pegasys)(2005年批准)
聚乙二醇化干扰素的研制成功是慢性乙型肝炎治疗史上的一次重要突破。聚乙二醇在、化妆品等制造领域的已经有近百年的历史。

每周注射一次,持续半年至一年的时间,通常会引起流感样症状或抑郁症等副作用。
三、 在研*器武** — 在研乙肝药物
抗乙肝药物的主要研发方向: 1,乙肝病毒表面抗原*制剂抑**(HBsAg*制剂抑**);2,HBV反义药物;3,RNAi疗法;4,衣壳蛋白*制剂抑**;5,治疗性疫苗等。

1.乙肝病毒表面抗原*制剂抑**(HBsAg*制剂抑**)
病毒抗原分泌到血液中抑制了人体免疫系统对HBV病毒的免疫,在对HBV的“免疫耐受”及慢乙肝的发生发展过程中扮演了重要角色,因此表面抗原成为目前诸多抗乙肝药物的靶标。
A.Rep 2139和Rep 2165
Rep 2139是同类首款(first-in-class)的HBsAg*制剂抑**,其能够清除慢性HBV感染的血清乙型肝炎表面抗原水平,改善免疫治疗疗效和促进治疗结束后的功能性的控制的建立。
Rep 2165是经过额外设计的Rep 2139,是核酸多聚物(nucleic acid polymers, NAPs)的一种。NAPs是一种通过磷硫酰化的磷酸二酯键连接而来的寡核苷酸多聚物。磷硫酰化对NAPs的抗病毒作用至关重要。在临床前试验中,它的抗病毒能力与Rep2139相当。

B.RO7020322(RG7834)目前该药物的具体机理还没得到公开。
2. HBV反义药物
反义技术(antisense technology)是近些年来发展的一种全新的药物设计方法,主要是根据碱基互补配对原则和核酸杂交原理,利用人工合成、天然存在的互补寡核苷酸片段,与目的基因(单链、双链DNA)或信使核糖核酸(mRNA)的特定序列相结合,从基因复制、转录、剪接、转运翻译等水平上调节靶基因的表达,干扰遗传信息从核酸向蛋白质的传递,从而达到抑制、封闭或破坏靶基因的目的。即人工合成的DNA或RNA单链片段,主要包括反义DNA(AS-ODN),反义RNA(ASON),多肽核酸(PNA),核酶(ribozyme)等。这些分子能结合病毒的mRNA,防止它们进一步生成蛋白质。
IONIS-HBVRx(GSK3228836)与IONIS-HBVLRx(GSK33389404)
这二款药物的反义分子能结合病毒的mRNA,防止它们进一步生成蛋白质。这两款新药都由Ionis与GSK合作带来。IONIS-HBVRx能减少乙肝相关的病毒蛋白的产生,从而抑制病毒感染与复制。这款新药目前正处于2期临床试验中,治疗初治慢性乙肝患者。IONIS-HBVLRx有着类似的机理,能够减少乙肝相关蛋白的产生。
3、RNAi疗法
核酸类药物又称核苛酸类药物.,是各种具有不同功能的寡聚核糖核苷酸(RNA)或寡聚脱氧核糖核苷酸(DNA),主要在基因水平上发挥作用。一般认为,核酸药物包括Aptamer、抗基因(Antigene)、核酶(Ribozyme)、反义核酸(Antisencenucleic acid)、RNA干扰剂。由于其具有特异性针对致病基因,也就是说具有特定的靶点和作用机制,因此核酸药物具有广泛的应用前景。这类新药由siRNA(silencing RNA)组成,能够直接干扰和摧毁病毒RNA,从而起到治疗的效果
A.ARB-1467和ARB-1740
Arbutus 的RNAi候选物ARB-1467包含三种针对所有四种HBV转录本的RNAi触发因子,并已经在临床前研究中显示能减少所有病毒抗原水平以及cccDNA和HBV DNA。ARB-1467使用了一个经过临床验证的输送技术,该技术为Arbutus 专有的脂质纳米颗粒(LNP)平台,已经在数百名患者中进行了测试。在2期临床试验中,研究人员发现,单次治疗能显著减少血清中的乙肝表面抗原(HBsAg)水平,多次治疗则能起到额外的效果。

B.ALN-HBV
ALN-HBV使用增强稳定化学(ESC)-半乳糖胺-RNA干扰的共轭传递平台,这使得在一个非常广泛的治疗指数下的高强度和耐久性。那些在Alnylam公司的渠道技术使用增强稳定化学(ESC)-半乳糖胺-RNA干扰的共轭传递平台对RNA干扰治疗项目的研究的临床结果已经表现出强大的靶基因敲除能力以及支持每月,每季度甚至一年两次的皮下给药方案的耐久性,有潜力能够提高病人的依从性。
ALN-HBV1期和2期临床试验是一项随机、单盲、安慰剂对照研究,在三个连续的部分进行。A部分是单剂量研究,旨在招募到24名正常健康志愿者(NHVs)。B部分将是一个单一的剂量研究,旨在招募到总共28例慢性乙型肝炎病毒感染者。C部分将是一个多剂量的研究,旨在招募到总共48例慢性乙型肝炎病毒感染者。本研究的主要目的是评估单剂量和多剂量皮下注射ALN-HBV的安全性和耐受性。次要目标包括评估ALN-HBV的药代动力学和抗病毒活性,是通过对在HBeAg阳性和阴性的慢性乙型肝炎患者中测量血清乙型肝炎病毒表面抗原的水平来反映疗效。
C.Hepbarna
Hepbarna是一款利用AAV载体递送的ddRNAi疗法。它带有3种shRNA,能靶向乙肝病毒基因组中高度保守的序列,从而抑制病毒复制,以及抑制病毒蛋白的产生,带来长久的治疗效果。临床前的数据表明这款疗法能在人类肝脏细胞中,以及动物模型中有效降低血清里的乙肝病毒DNA水平和HBsAg水平。此外,乙肝病毒的cccDNA水平也有所下降。
D.LUNAR-HBV
LUNAR-HBV是一种3个UNA寡聚物的组合,靶向所有的HBV转录物并涵盖所有的公开的HBV序列,是迄今为止报道的单一药剂中HBV基因型覆盖最全面的。LUNAR-HBV在HBV感染的人肝细胞和二种HBV感染的小鼠模型中显示出有效的抗HBV活性。3个UNA寡聚物的组合也使病毒抗性的可能性最小化。基于其有效的降低HBxAg和其他病毒产物,以及重新激活抗病毒免疫的潜力,LUNAR-HBV有可能成为新一代HBV疗法的基石。
4.衣壳蛋白*制剂抑**
衣壳蛋白是用来保护乙肝病毒DNA的蛋白外壳,这类新药能干扰这层外壳的形成。

A.莫非赛定
莫非赛定是由我国自主研发的、具有独立知识产权的、新一代的二氢嘧啶类药物,其作用机制是干扰HBV病毒衣壳体组装,可呈剂量依赖性减少病毒衣壳的正确组装,加速异常衣壳形成,从而强烈抑制乙型肝炎病毒(HBV)的复制及成熟病毒颗粒的产生。甲磺酸莫非赛定的临床前体内、外试验结果均表明,其抗病毒效果明显优于拉米夫定,且对阿德福韦酯耐药株、拉米夫定耐药株、替比夫定耐药株、恩替卡韦耐药株均有明显抑制作用。去年,东阳光药开展了这款新药在中国的2/3期临床试验。
B.NVR3-778
NVR3-778是一种HBV核心蛋白*制剂抑**,在体外抗HBV活性类似于强效核苷(酸)。HBV核心蛋白*制剂抑**通过抑制HBV DNA复制、病毒组装、补充cccDNA和肝脏再感染循环,具有提高持久应答率的潜力。该药的Ia期临床研究已于2014年7月完成,并于AASLD2014上公布相关研究数据。当时研究纳入了40名成年志愿者作为观察对象,这些对象的年龄在18-65岁(88%为白人,男性),Ia期临床研究评估了NVR3-778安全性和药代动力学(PK),研究结果显示NVR3-778可能是当时临床试验中最先进的首个HBV核心蛋白*制剂抑**。 NVR3-778口服给药在所有剂量水平(50,150,400或800mg)耐受性均良好。而PK结果表明,每日一次200mg剂量可保证足够的NVR3-778浓度来延长CHB患者的HBV抑制。
C.AB-423
AB-423调节细胞核中的cccDNA池是针对HBV循环生命周期的二个不同阶段,rcDNA合成及其转化为cccDNA。AB-423与核酸类似物和RNAi制剂(ARB-1467和ARB-1740)在细胞培养系统中的联合用药在药研研究显示协同效果。AB-423对HBV复制有明显的抑制作用,目前正在对其进行评估以期待更进一步的进行临床开发。
5.治疗性疫苗
治疗性疫苗是指在已感染病原微生物或已患有某些疾病的机体中,通过诱导特异性的免疫应答,达到治疗或防止疾病恶化的天然、人工合成或用基因重组技术表达的产品或制品。1995年前医学界普遍认为,疫苗只作预防疾病用。随着免疫学研究的发展,人们发现了疫苗的新用途,即可以治疗一些难治性疾病。从此,疫苗兼有了预防与治疗双重作用,治疗性疫苗属于特异性主动免疫疗法。
A.GS 4774
GS 4774是一款在研疫苗,能激活乙肝病毒特异的T细胞免疫反应,减少被乙肝病毒感染的细胞数。这款疫苗包括了一段融合蛋白,蛋白中有乙肝病毒的序列。这一序列在所有4种主要乙肝病毒中都存在。目前,这款疫苗正在2期临床试验中。研究人员想要观察在乙肝初治患者群体内,它与TDF联合使用,是否能取得比TDF单独使用更佳的效果。
B.HB-110

这款疫苗由两家韩国企业带来,1期试验也已经完成。目前我们尚没有更多关于这款疫苗的信息。
C.TG1050
TG1050已经论证能引发抗病毒效用,由TG1050诱导产生的CD4和CD8 T细胞或涉及在HBV携带小鼠中观察到的抗病毒效用,该效用跟在自发性清除观察到的相似。此外,其他免疫细胞在该过程中扮演的角色还需要进一步进行研究。
当然,除了上述五种类型药物外,还有TDF前药,乙肝病毒入侵*制剂抑**,先天免疫防御通道等。
怎么样,看完这篇乙肝新药汇总,是不是有对治愈乙肝抱有很大的希望。最后也衷心的医药界早日攻破乙肝这个难关,让全世界的乙肝患者早日摆脱病魔,重获健康的身体!愿天下无乙肝!
注:文中数据不构成用药指导,如需用药,请遵医嘱。
原标题:*击狙**乙肝 | 乙肝是什么,都有哪些在售和在研的治疗药物?