在黑体辐射定律及量子论概念的产生过程中,有不少有趣的轶事令人遐想。这篇短文试图介绍一些常被轻描淡写或忽略的轶闻趣事,诸如鲁本斯的作用、普朗克的纠结、普朗克公式和实验的对照、宇宙本底微波辐射以及黑体辐射逆问题。
撰文 | 陈难先 (清华大学物理系)
来源 | 本文选自《物理》2023年第4期
1922年7月17日,身为柏林大学讲席教授兼物理所所长、普鲁士科学院院士海因里希·鲁本斯 (Heinrich Rubens,图1) 由于白血症和抑郁症病故。普朗克 (Max Planck,1858—1947) 在普鲁士科学院为他举行的追悼会上留下了一段名言:
“Without the intervention of Rubens the formulation of the radiation law and thereby the foundation of quantum theory would perhaps have arisen in quite a different manner, or perhaps not have developed in Germany at all.” (没有鲁本斯的介入,黑体辐射定律的建立和量子理论提出的进程就会完全不同,很可能根本不在德国发生和发展。)

图1 鲁本斯 (1865—1922) 和他的墓碑
欲知普朗克这段话的含义和来龙去脉,且听下回分解。
1 鲁本斯到普朗克家串门轶事 [1]
1900年10月7日,一个秋高气爽的周末,鲁本斯夫妇应邀到普朗克家小憩,相叙甚欢。告别之前,鲁本斯告诉普朗克一事,不禁令普朗克大吃一惊。
到底是什么事让普朗克如此震惊、激动不已?这要从普朗克当时的处境说起。
众所周知,1896年维恩 (Wilhelm Wien,图2右) 从热力学的角度考虑,得出的黑体辐射强度为

当时陆末 (Lummer) 和Pringsheim的实验和维恩公式的对照,如图3所示 [2]。应该说,二者基本符合,维恩公式一时几乎就代表了完全的黑体辐射定律。仔细察看每一条等温曲线会发现,当温度较低或波长较短时,维恩理论(圈号,虚线) 和实验 (叉号,实线) 一致性非常好,几乎覆盖了整个可见光和近红外波段。然而,陆末和Pringsheim同时指出,当温度和波长均高时,或它们的乘积λT够大时,就有微小的偏差产生,随着 λT 增加偏差亦渐增。

图2 对黑体辐射有重要贡献的瑞利(1842—1919,左图)和维恩(1864—1928,右图)
实验方面: 当时的实验主要有两大方向。一是以陆末和Pringsheim为代表,以提高黑体温度及运用棱镜色散见长,从可见光波段一直延伸到大片近红外区;二是以鲁本斯和Kurlbaum为代表,以运用某些离子晶体的选择性反射,获得红外及远红外区的所谓剩余辐射见长 [3]。这两组人马在1900年上半年,对于λT很大时实验偏离维恩公式均已有所认识。有趣的是,尽管实验工作者很关心与理论的契合,但他们更注重的是各自在光学方面的专长发挥,绝不会局限于对黑体辐射定律的重视。

图3 1899年陆末等的热辐射数据与维恩公式对照图[2]
理论方面: 普朗克在1896年后的工作基本上就是进一步从统计物理和电磁场理论的角度来理解和论证维恩的公式,以为这就是黑体辐射的普遍规律。普朗克的这种状态一直保持到1900年10月鲁本斯的来访[3,4]。鲁本斯提到,1900年6月瑞利 (Rayleigh,图2左) 在英国哲学杂志 Philo. Mag. 发表了一篇犀利的短文(图4),对维恩公式的普适性提出异议,并用纯经典理论提出[5]:

他强调指出,当 λT 足够大时,指数项就成为1,此时辐射强度与温度成正比。注意,瑞利在文中还明确把远红外实验的实现寄希望于鲁本斯提出的剩余射线法 (residual rays) 。

图4 1900年6月瑞利文章要点[5]
怎么看待鲁本斯提供信息这件事呢?实验家鲁本斯为剩余射线法能产生远红外波段的辐射、并验证了瑞利的预言而自豪。但是,理论家普朗克得到的感受和刺激却相当不同。
那时,已经在黑体辐射定律上花了6年多心血的普朗克会怎么想呢?此前他一直围绕着维恩的经验规律转,一年前陆末在近红外实验中就指出了对维恩公式的偏离。现在又知道,半年前瑞利就开始琢磨低频极限问题,并和鲁本斯互相呼应进行超越维恩定律的工作。这可是极大的挑战呀!再一思量,过去考虑的维恩公式只是 λT 比较小的情形,现在瑞利明确指出的是 λT 足够大的情形。
鲁本斯唤醒了普朗克,使普朗克对当时黑体辐射问题的形势,尤其是瑞利的挑战,有了全新的正确的认识。派斯曾指出:“普朗克身边的实验家都很熟悉瑞利的工作。那么有人问,普朗克本人是否知道这篇比他自己论文早半年的重要文章呢?无论如何,在1900年普朗克没有提到瑞利的成果” [6]。确实,1900年10月19日普朗克在德国科学院的报告中一点都没有提到瑞利的工作[4,7]。但是,鲁本斯文章的正文和附图中都明确提到了瑞利公式。这是可以理解的,在得到鲁本斯信息之前,普朗克就是把电磁场理论和统计物理结合在一起讨论维恩定律的第一人,得到此信息后也是用同一理论方法把维恩定律推广到现在的黑体辐射定律的第一人。由此可见,普朗克悼词中“……很可能根本不在德国发生和发展”也包含着“高处不胜寒”的思虑。
对普朗克而言,鲁本斯的信息实在太重要。因此,鲁本斯夫妇前脚刚刚离去,普朗克后脚就急急忙忙把自己关进了书房。果然,这位真正经历过热力学、统计物理和电磁场洗礼和历练的大师很快抓住了辐射熵的表达问题,使维恩和瑞利两方面的正确、合理部分都能综合、归纳到他的黑体辐射定律最新表达式中。请注意,无论是电磁场理论、热力学,还是统计物理,都属于19世纪下半叶刚成雏形的新兴物理分支,而当时能在这么宽广领域中得心应手游刃有余者,非普朗克莫属。这时的普朗克已经摆脱了论证维恩定律的局限,而成为普适的黑体辐射定律的开创者与发现者。但是,他的第一个有关报告仍冠以“维恩能谱公式之改进”的标题。
普朗克在悼词中对事实的论述是非常真切的,此中德国人在经历第一次世界大战式微之后特有的哀情与伤感,溢于言表。
不少文献都指出,就在鲁本斯告诉普朗克运用剩余射线法得到新数据的当天,普朗克就写下了黑体辐射定律公式。应该指出,鲁本斯所传达的信息对普朗克的启示主要就是瑞利提出的 λT 很大时辐射强度会与温度成正比的预测。因此,大多数教科书讲述普朗克黑体辐射公式来源时都提到维恩和瑞利,而没有把鲁本斯提到物理学正史的厅堂。顺便提一句,现在国内外不少书刊把上述瑞利公式写成瑞利—金斯公式也有欠妥之处,因为1900年前直到1904年期间的文献都没有出现过金斯的名字[3—5]。那么,为什么后来的各种文献中常把他俩绑在一起称作瑞利—金斯公式呢?因为金斯(Jeans)作为瑞利的得意门生,曾在1905—1910年期间与瑞利一起积极维护能量均分定理,对普朗克公式的认可与传播起到过重要的阻尼作用。历史学如果也可分为宏观历史和微观历史,两种说法应该都不算错。多数人喜欢用瑞利—金斯公式,大概是体谅普朗克理论在相当长时期内遭到的冷遇与刁难,并没有把这事看成是“普朗克一声炮响,开创了物理学的新纪元”。人们至少花了十年时间才认识到普朗克公式的重要意义。
对鲁本斯实验中的剩余射线法如何评价,且看下节分解。
2 鲁本斯的远红外实验记录轶事 [3,8]
鲁本斯是远红外波段的开山鼻祖,首先得到较高质量远红外射线的剩余射线法,也是他与Nichols的重要发明。他的贡献对开创今天太赫兹科学技术应用起到了十分重要的作用。但是,从电磁科学的角度看,剩余射线法本身十分复杂。下面作一简单介绍。
大家知道,离子晶体对红外光束存在选择性反射,即频率很不一致的光束经过特定离子晶体表面时,多数频率的光会被晶体反射、透射和吸收。只有波长接近某个特征波长的光得到强烈反射而其他光都透射过去或被吸收。这个现象可以从光的色散理论得到解释。从理论上讲,只有接近色散频率的光得到强烈反射,构成频率相差不大的准单色光束。这个事实使鲁本斯能在实验中,通过光在晶体表面的反复反射,获得近似单色的远红外剩余射线。理论上的全反射区,在实际中有很复杂的结构 (图5) 。用一个波长值代表这么一束非单色光不可能精确。波恩和黄昆的《晶格动力学理论》书中有详尽的分析和评论[8]。

图5 离子晶体的选择性反射[8]
图5用色散公式对LiF,NaF,NaCl和KCl计算得出的反射率 (虚线) ,与切尔尼 (M. Czerny) 和霍尔斯 (H. W. Hohls) 给出的实验曲线 (实线) 作了比较,几种晶体的情形都表明,尽管观测到的有较大反射的区域都与理论上的全反射带符合,但在反射区内的光强分布,理论和实验差别很大。
用一个波长和全反射 (或假设的分布) 来代表一束剩余射线,当然会影响到鲁本斯运用剩余射线法得到的黑体辐射实验数据的精确度和可靠性[3,8]。因此,远红外(含太赫兹)波段的光源与测定的精度与相邻的微波段和近红外段相比差距甚大。如何改进,至今在迅猛发展的远红外技术中仍是重要的紧迫问题。一项出色的应用技术要经受物理实验规范的检验并非易事 (反之亦然) 。
这里插一段轶闻,爱因斯坦在1911年曾对鲁本斯用双峰结构解释其NaCl实验数据,撰文批评。由于能斯特 (Nernst) 用低温比热数据支持了鲁本斯,爱因斯坦出于对实验测量的尊重,撤回文章不再吭声。具有讽刺意味的是,这些测量结果恰恰是错误的 (It is ironic that precisely these measurements turned out to be wrong) [9,10]。

图6 文献[3]对该图的说明。选择性反射面为氟石CaF2, λ =24 μm和 λ =31.6 μm,温度范围-200—1500 ℃时的4条计算曲线,其中两条来自维恩公式和瑞利公式,其余两条来自根据实验数据的两个不同拟合公式。圈、叉和十字等代表实验数据
另外,派斯提到鲁本斯对黑体辐射的贡献时,引用了一张图片,即鲁本斯在1900年10月德国物理学会介绍黑体辐射在远红外波段的进展时所示最重要的两张图 (图6,图7) 之一 (图7,文献[3]中为图3) [3,6]。

图7 文献[3]对该图的说明。选择性反射面为岩盐NaCl, λ =51.2 μm,温度范围同图6。4条计算曲线,其中两条来自维恩公式和瑞利公式,其余两条来自根据实验数据的两个不同拟合公式。圈、叉和十字等代表实验数据
鲁本斯文章中对上述两张图的来源有详细的文字说明。为了便于理解,下面用一张温度范围着重在0 ℃—1000 ℃范围内的图来说明 (图8) 。图中红色实线代表实验观测数据的集合 (近似为直线) ,黑色实线代表理论计算结果。为了使理论和实验之间差别的主要特征更加突出,鲁本斯首先将理论曲线沿垂直方向平移,使理论曲线在温度为0℃时与实验观测结果一致,这时理论曲线成为图8中点划线。然后,鲁本斯还要让理论曲线做进一步变化,一则要保持变化后理论曲线在0 ℃时与观测值一致,另一方面使温度为1000 °C时与观测值也一致。这个要求不难实现,要将图中红色三角形 (三边分别为红实线、红虚线和红箭头) 中红箭头按温度大小施予上述点划线,所得黑色破折线即满足要求。鲁本斯图中所画出来的辐射强度—温度曲线就是这么来的。鲁本斯这么处理就是要从凸凹性来判断理论和实验的符合程度,例如两条斜率不同的直线,经过鲁本斯的处理,结果是没有区别的。

图8 鲁本斯文章[3]中两张图来源说明
在19世纪末,人们对晶体结构的认识、对剩余射线的认知均十分有限,尤其是对远红外波段。总之,鲁本斯的剩余射线法尽管出色和重要,但是它的数据精度与陆末和Pringsheim的成果无法对接匹配。
普朗克公式的瑞利近似可表为

当 λ = 24 μm时 , T = 1500 ℃ = 1773 K,则偏离程度达到 22%; T =750 ℃=1023 K,则偏离程度达到约30%。由此可知,图6 (文献[3]中图2)的观测数据用一条直线去描述是多么勉强。
当 λ = 51.2 μm时, T = 1500 ℃ = 1773 K,则偏离程度达到10%; T = 750 ℃ = 1023 K,则偏离程度达到约15%。
鲁本斯在两种情况下用准直线表达观测的结果[3],从理论上讲是相当勉强的。但是上面的估算也说明,随着 λT 的增大,实验结果与瑞利的线性预测是愈来愈接近了。用实验支持瑞利的预言是鲁本斯的贡献,致使普朗克的工作有了质的飞跃。与此同时,剩余射线法不断受到质疑,大大加重了鲁本斯改进此项工作的紧迫感,加上第一次世界大战的折腾,种种的劳累和抑郁使他的身心受到极大摧残。鲁本斯遭遇的处境或许也是引起普朗克遗憾和悲怆的原因之一。后来有关实验和理论的进展也都表明,鲁本斯的剩余射线法在科学上不够成熟,实验数据也无法与陆末的精确实验相比拟,但它仍然可与瑞利猜想一起,当作普朗克精妙遐想的动力之一。
随着普朗克定律的意义和应用愈益明显,把普朗克理论和实验对照就成为一种自然的迫切需求。
3 黑体辐射的理论实验对照轶事
普朗克在1900年提出新的黑体辐射理*公论**式,开辟了量子物理的新纪元。读者可能注意到,现在教科书中的黑体频谱图 (图9) 都是按普朗克公式算出来的。理论和实验对照的黑体辐射强度频谱分布图在1899年陆末和Pringsheim的工作中出现过,那时的理论是维恩定律。1903年陆末和Pringsheim发表的温度高达2320 K的黑体辐射图中有点有线,仔细一看,除了实验数据以外,只有一条手绘曲线,根本没有理论曲线,文中连普朗克的名字都没提起。唉,理论家和实验家虽有密切的配合,但在兴趣和价值取向上可谓“性相近习相远”,表现得相当不同。到了1908年,普朗克理论的进一步诠释、爱因斯坦光电效应理论、固体比热理论等纷纷出现。F. Haber (1918年诺贝尔奖得主) 忍不住了[11]。根据实验精度,他的注意自然就集中到陆末和Pringsheim在1903年的实验上[12],Haber根据陆末和Pringsheim提供的数据,并以普朗克公式 (Haber书中是维恩—普朗克公式) 为拟合函数,发现温度参数为2320 K时理论计算结果和实验高度一致,而且结果和原来的手绘图几乎别无二致 (图10) 。1935年Born把它纳入了自己的名著 Atomic Physics 。其他教科书鲜有引用。

图9 绝大多数书籍中的黑体辐射定律
斯坦福大学的M. D. Godfrey在2021年提出,当年的普朗克常数、玻尔兹曼常数等应与今日有所差别,然后按CODATA再算一遍,结果误差比1908年略有增大。其实,派斯的书里就提到过,1901年普朗克提出的 h 值是6.55×10 ^( -27) erg·sec,70年后为6.63×10 ^( -27) erg·sec,当时的 k 值是1.34×10 ^( -16) erg/K,现在为1.38×10 ^( -16) erg/K。当然,现在审查此事,说不定还能找出陆末实验中长波部分是否还有系统误差。

图10 Haber书中第一张黑体辐射理论与实验的对照图[11]
但是,这里还是缺了远红外波段的精确实验数据。其实,在微波和可见光之间存在着远红外或太赫兹,至今太赫兹单色光源与精密测量依旧窘迫。有趣的是,1989年11月升空的美国探索号,声称COBE (Cosmic Background Explorer) 卫星宇宙本底微波辐射的测量获得了与普朗克公式几乎精确符合的成功 (图11) ,并获2006年诺贝尔奖[13,14]。这是100年来最好的一张关于黑体辐射理论与实验的对照图。

图11 COBE测量结果和大爆炸理论一致。左图下半部分是误差分布,它在左图上半部分中被数据圆圈掩盖;右图将方均误差增大400倍,随频率明显增加
普朗克在今天已是公认的开辟物理学新纪元的量子论之父。那么,为什么普朗克常常被史学家称为勉为其难的革新家呢?
4 普朗克的温良恭俭让式的纠结
普朗克根据玻尔兹曼统计物理和麦克斯韦电动力学,以及德国几位物理学家艰苦卓绝的实验结果,对维恩和瑞利等人的唯象理论进行修改,给出了新的唯象理论,以《Ueber eine Verbesserung der Wien’s chen Spectralgleichung(维恩谱分布的改进)》为题在1900年10月19日发表,其内容是:

这一条其实就是量子概念的基础,爱因斯坦对光电效应的解释即基于此,对受激辐射的解释也是如此。
普朗克归纳出公式(3)之后,除了概括维恩和瑞利的成果之外,还确立了每个有固定频率的体系存在基元能量 hν ,还猜出了辐射体系的能态密度的量子化分布。当时条件下,所有这些都应该是令人鼓舞的新事物,但是也存在着很多流言蜚语。有的说,在维恩和瑞利之间做出“插值”不过是玩弄一些计算方法;有的说对量子基元的存在不能理解,最令人不能容忍的是违反经典统计物理中的能量均分定理。
很快发现,从量子化分布可以推出普朗克谱分布公式(3),但立刻就有人指出,从量子化分布反推出普朗克公式(3)只能说明量子化分布是公式(3)的充分条件,不是必要条件。既然是充分条件,是不是还可以推出有别于(3)的其他方程呢?总之,违反经典统计物理的家规——能量均分定理,必定有人找茬。这是普朗克的纠结所在,也是他对经典物理束缚的挣扎和突破之处。
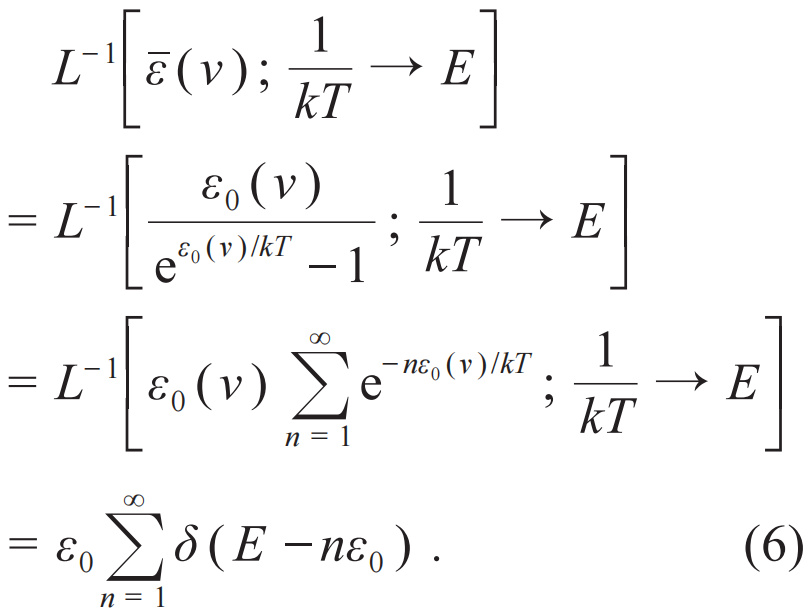
其实,要从公式(3)推导出量子化分布的结果,会碰到拉普拉斯逆变换和广义函数问题。拉普拉斯逆变换又具有不适定性 (病态) 、解的唯一性和稳定性等都遇到难题,任何近似的数值试探很容易陷入泥坑不能自拔。广义函数差不多40年后才正式进入数学界的厅堂,并很快获得第二次世界大战后第一个Fields奖。“天若有情天亦老”,1900年,时年42岁的一直对物理学情深意长的普朗克,当时深陷困境是不难理解的。
现在有很多文章,在充分肯定普朗克的渊博精深的同时,又把普朗克称为内心不情愿的革新者 (reluctant revolutionary) (图12) 。

图12 把普朗克称为“内心不情愿的革新者”的文章( Physics World ,2000,13(12):31)
其实,普朗克是猜出量子化分布的第一人,发现并提出如何推导这个问题等于在数学上提出一个猜想,多么伟大,多么神奇!他碰到论证这个坎,并吸引很多物理学家和数学家关注和研究这个问题,正好说明这是一个有价值的问题。当然,一条重要规律的发现、诠释和推导都是重要的,但它们之间是存在明显区别的。
今天看来,这个问题的解决相当简单:

这个结果当今被称为狄拉克梳 (Dirac comb) ,那时候可够得上稀奇古怪的了。事实上,在1907年爱因斯坦的文章中,按物理标准,已经提出了含有这广义函数的初阶表达。
有人说,是庞加莱 (Poincaré,1854—1912) 的文章启发了普朗克,才使他1913年后不再纠结,不再折腾。其实,这时普朗克的量子说不但在黑体辐射问题上得到了愈来愈多的肯定,而且已经成功运用到光电效应、固体物理和原子结构,涉及的新领域愈来愈广泛。普朗克所作所为绝非因保守而纠结、而折腾,而是对自然规律应有的敬畏和谨慎。另外,1910年,金斯就提供了一个量子化导致普朗克公式必要性的证明。庞加莱的临终短文充满着对普朗克工作的肯定和支持,对普朗克并无任何指手画脚之意。当然,历史的解释充满着不适定性,是不存在唯一性定理的。图13描述了普朗克在求索黑体辐射定律和量子论过程中的几种状态,对它们如何理解是个非常有趣的命题。

图13 普朗克三态:灵感,探索,绝地挣扎
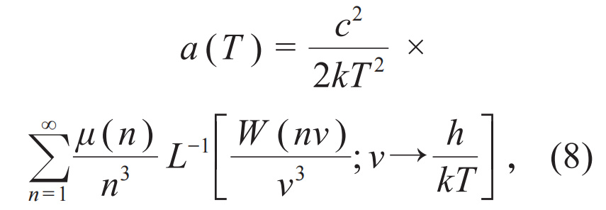
5 黑体辐射逆问题轶事
黑体辐射定律告诉我们,在辐射体表面温度分布是 a ( T )时,其辐射频谱可以表成:

已知 a ( T )去求频谱W(ν),这是个正问题,是个简单的积分,比较容易。但是,1982年卫星遥感技术大发展后就提出了逆问题,新的命题要从已知的W(ν)去求解 a ( T ),这是个第一类Fredholm积分方程,属于不适定问题,也就是说,解的存在性、唯一性和稳定性是有问题的。现在,这个方程有一个新的解[15]:

μ ( n )是数论中的莫比乌斯函数。这个解有点另类的是,大多数人在处理不适定问题时,千方百计先把它变成近似的适定问题,解(8)则不然,它本身包含拉普拉斯逆变换,即解(8)仍有不适定性,但可操控的程度已大有改进。它在天体物理中已经得到广泛的应用,但解的高温部分存在一定的不稳定性。
注意,在温度确定的情况下,若 a ( T )是个 δ 函数,(7)式中的积分会被去掉,积分方程的不适定性就不再存在。其实,COBE对宇宙微波本底辐射的分析方法就是这样的。大爆炸理论确定宇宙本底达到热平衡,COBE的结果就是以普朗克公式为拟合函数调节温度参数的结果。这个结果也是 Mather 和 Smoot 获得2006年诺贝尔物理学奖的一个重要原因。设想,宇宙本底没有达到热平衡,而是存在一个温度分布 (甚至涉及波长较短的太赫兹段) ,这时就要碰到不适定性问题,诺贝尔奖的评定就会因不适定性而增添不少争执或趣味。
回头一想,鲁本斯原本想把黑体辐射的实验推向远红外的创意尽管在今天依然存在差强人意之处,但是,越过了远红外,居然成就了宇宙本底微波辐射的美景。鲁本斯的精彩一生从某种意义上讲,也是“为有牺牲多壮志,敢叫日月换新天”,他开辟了远红外科技的新天地,他对黑体辐射定律的产生起过正面的促进作用,和他有过协作关系的瑞利、维恩和普朗克先后在1904年、1911年和1918年获得诺贝尔物理学奖。他还培养过许多研究生,其中与普朗克共同培养过4位博士,此中两位是Gustav Hertz (1887—1975) 和Walter Schottky (1886—1976) ,都是诺贝尔奖获得者。俱往矣,数风流人物还看今朝。
最后要说明,历史研究是个典型的逆问题,或病态问题,科学史的研究亦不例外。因此,常有众说纷纭的现象。真所谓:
戏推物理越戏越真,
曲尽人情愈曲愈妙。
参考文献
[1] Arrieta I G. Eur. Phys. J. H,2022,47:11
[2] Lummer O,Pringsheim E. Verhandlungender Deutschen Physikalischen Gesellschaft,1899,1:215
[3] Rubens H,Kurlbaum F. Sitzungsberichte der Königlich Preussischen Akademie der Wissenschaften zu Berlin,1900,41:929
[4] Planck M. Verhandl. Dtsch. Phys. Ges.,1900,2:202
[5] Lord Rayleigh. Phil. Mag.,1900,49:539
[6] Pais A. Subtle is the Lord:The Science and the Life of Albert Einstein. Oxford University Press,2005 (方在庆 等译 . 上帝难以捉摸:爱因斯坦的科学与生活 .北京:商务印书馆,2017)
[7] Planck M. Annalen der Physik,1901,4:553
[8] Born M,Huang K. Dynamic Theory of Crystal Lattices. Oxford,1954 (葛惟锟,贾惟义 译 . 晶格动力学理论 . 北京:北京大学出版社,1989)
[9] The Collected Papers of Albert Einstein. Vol. 5,pp.241—243
[10] Kox A J. Einstein,Specific Heats,and Residual Rays:The history of a retracted paper. In:Kox A J,Siegel D M(Ed.). No Truth Except in the Details.Springer,1995
[11] Haber F. Thermodynamics of Technical Gas-Reactions,1908
[12] Lummer O,Pringsheim E. Verh. Dtsch. Phys. Ges.,1903,1:3
[13] Smoot G. Cosmic Microwave Radiation Anisotropies:Their Discovery and Utilization. Nobel Lecture,2006
[14] Mather J C. From the Big Bang to the Nobel prize and Beyond. Nobel Lec‐ture,2006
[15] Chen N X. Phys. Rev. Lett.,1990,64:1193
本文经授权转载自微信公众号“中国物理学会期刊网”。
特 别 提 示
1. 进入『返朴』微信公众号底部菜单“精品专栏“,可查阅不同主题系列科普文章。
2. 『返朴』提供按月检索文章功能。关注公众号,回复四位数组成的年份+月份,如“1903”,可获取2019年3月的文章索引,以此类推。