在阅读此文前,诚邀您点击一下“关注”,既方便您进行讨论与分享,又给您带来不一样的参与感,感谢您的支持。
1965年美国纽约曼哈顿的街头,一个穿着平平无奇的中年男子突然摔倒在地,周围人围观片刻之后,赶紧叫了救护车,但却也是为时已晚。

当前来急救的医生诊断男子为突发脑溢血身亡,但当他们得知了男子的身份之后,却是顿时睁大了眼睛,因为这个男子在当时的美国金融界可谓是颇有名望,因为他研究出了投资之中的一个“神器”,谁能想到这样的一个人竟然会倒在了街头呢。
就连医生也是连连摇头:“如果他使用自己的研究成果赚钱,好好保养身体的话,只怕他绝不会就这么死了。”
那么是什么样的投资神器,能够让人逆天改命呢?

怎么才能赢?
约翰·拉里·凯利,这是一个1923年便出生于美国德克萨斯州的普通人,但他在德州成长的环境却是极不普通。
德州,我们中国的德州有扒鸡,那么美国的德州有什么呢?扑克。
德克萨斯州的*彩博**行业堪称是一大奇景,谁也不能阻止一个技艺高超的赌徒在赌桌上一夜暴富,同样谁也拦不住一个上头的赌徒在赌桌上倾家荡产。
一注穷,一注富,一注住别墅,一注吃米糊,赌桌永远是财富流转最快的地方,这里的金钱真的不过是一个数字。

凯利在这种环境中长大,自然也是见惯了贫富贵贱,更是见惯了一个个赌徒的各种嘴脸,有赢钱之后的得意忘形、放肆大笑,有输钱之后的垂头丧气、崩溃呐喊,就连凯利自己家,也有过因为他父亲赌博而陷入破产危机的经历。
也正是这些经历,给凯利提出了一个问题,有没有什么办法,能够让人只赢不输。
如果沿着这个问题思索下去,凯利或许能够成为一个经济学家或者金融家,但局势突变,随着二战的爆发,凯利也是应征入伍,加入了美国海军,成为了一名航母上的飞行员。
二战结束后,凯利回到了德克萨斯州大学学习,但他进修的方向却是理科,并在三十岁那年拿到了物理学博士的头衔,并且进入了贝尔实验室成了一门研究人员。

本来凯利应该是继续自己的物理研究步伐,但就在贝尔实验室,他认识了一个数学大牛——克劳德·艾尔伍德·香农。
香农不仅是数学家,更是在信息学、密码学等领域有着极高的建树,甚至开创建设了现代的信息论,一人开辟一个学科。
在二战中,他更是和计算机、人工智能的开路者图灵有过深入交流,二人一起破译过德军的密码。
在见到香农之后,凯利也是很高兴,想更多的向这位前辈学习,二人也是建立了深厚的交情。

一次凯利向香农说出了自己原本的梦想,研究一种赌博技巧,让自己的父亲永不输钱。
本来凯利自己也以为这只不过的童年的玩笑,谁知香农却对凯利的这个想法很感兴趣,凭借着对数学敏锐的嗅觉,香农向凯利建议不如在数学之中寻找答案,并且肯定“一定会有这种办法的”。

这样的一句话,顿时也是让凯利重新拾起了这个看似开玩笑的梦想,于是在和香农一起经过了大量的数据收集计算,实验结果归纳总结之后,二人在博弈论的领域内研究出了很多技巧,并且将结果实验于赌马上,果然赢了一些钱。
但凯利却觉得博弈论还是有些局限,有破产的风险,他仍旧决定继续研究下去。
可世界上真的有不会破产的赌方法吗?
就在凯利冥思苦想之后,他忽地灵光一闪,似乎不会破产的赌博方法被自己发现了。

凯利公式
什么是破产?
没钱了,甚至负债了不就是破产了吗?
所以只要保证自己手里还有钱,就不会破产,也就是说永远不要把自己所有的钱都投入到赌局中去,永远不能“*哈梭**”,那就永远不会破产。
一个粮库,每次只吃一半的米,那这里的粮食是永远也吃不完的,因为哪怕只剩了一粒米,也可以分成两半,虽然少,但却是还有。
那么在赌桌上,要用自己手里多少比例的钱来赌呢?

又是一番精密的计算之后,凯利终于总结出了一个规律:
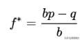
每次赌博的*率赔**乘以获胜的几率,减去失败的概率,得出的这个差,再除以*率赔**,最终得出的结果,就是自己每次用于下注的比例。
用数学公式来总结的话,那就是:

这个最终求出来的f ,就是自己每次应该用于下注的比列,按照这个比列来下注,自己一定会有赢的时候,而且是赢得最大的时候。
好比打德州扑克,如果是一个6人局的话,池底100块钱,一方加注100块钱,如果一方跟注的也下100的话,那他就是冒着输了一百的几率去赢200,*率赔**为2:1。
本家起手就拿到了两个“A”,这是不是一手好牌,这肯定是一手好牌啊,但能不能直接再次加码,把自己手里的钱都押出去呢?
按照凯利公式来算,不能。

因为哪怕是两个A,获胜的几率也只有49.10%,把各个数字带入凯利公式进行计算之后,就是(2×49.10%-50.90%)/2=23.65%。
也就是说本家这局下注的金额,最多就是本金的23.65%,手里有1000块钱,最多下注236.5块钱。
赢率接近一半,但是下注额却只能是本金的五分之一,这就是赌桌上的不对等。
哪怕是看似最公平的猜点数,比大小,也不是看上去那么简单的。

而凯利的这个公式,很快就被他的好朋友香农验证了,在接下的一段时间内,香农带着自己老婆索普到了拉斯维加斯,二人用凯利公式来控制本金和下注额,果然是赢多输少,*场赌**老板甚至一度怀疑这俩人出老千,“开挂”了,但派人紧跟观察后,却发现二人没有任何问题,也只能作罢。
回到德州后,香农和索普邀请凯利一起开创金融公司,但凯利却是婉拒了好友的好意,自己研究这个东西,只不过是为了给当初的梦想一个交代,根本没想着怎么赚大钱。
于是在1956年,凯利将自己的公式发表在了《贝尔系统技术期刊》上,直接向赌徒们展示了赌博也是一门技术活,不是运气游戏。

香农见状也是无奈,但也知道不能再靠着凯利公式深入*场赌**了,因为没有哪个*场赌**老板会容忍这种砸场子的逆天研究出现,于是便转而投入了故事,靠着凯利公式和自己的能力,也是混的风生水起。
而凯利也是照样干着自己研究所的工作,一直到1965年,不过四十来岁便暴病死于街头。
可以想象一下,如果凯利没有把自己的研究公之于众,而是自己慢慢的闷声发大财,只怕几千万美元的身价对他来说都只是时间问题,毕竟如果有赢多输少,永不破产的手段,那真是躺着都能发财。

逆用凯利公式
但凯利虽然去世了,可凯利公式却被越来越多的人开始研究,不仅仅是赌徒,很多投资行业、金融行业,都对凯利公式非常感兴趣,当然最为震动的还是*场赌**了,毕竟任何一个*场赌**老板都希望自己的客人不是身怀公式的数学家,只是头脑一热啥也不管的愣头青。
于是在*场赌**老板们斥资研究下,一个“逆用凯利公式”的规矩就来了。

凯利公式归根到底不就是说不能把钱全下完吗?而且是如果这一把输了,那么下一把下注一定要比这一把少。
因为按照凯利公式如果算出来下注比例为20%,手里有100块钱,下了一把输了,那手里就剩80块钱了,80块钱的20%是16块钱。
那好,我们就反着来。
怎么反着来呢?一个最简单有效,能够说服人的下注方式——“倍投”。

*率赔**1:1,这一把下注100块钱输了吧,没关系,下一把你就下注200,赢了就回来了400,减去第二把的200,第一把的100,还能赢100。
第二把再输了,那第三把就下注400,只要输了,那每次下注金额就是前一次的两倍甚至三倍,只要赢一把,就能全都赢回来。
这样的下注方式,乍一听似乎真的是很有道理,而且自己算一下,也真是这个结果。
那就来吧。
于是越来越多的赌徒开始了倍投。
那么这个“逆用凯利公式”的下注方式,有什么不对的地方呢?

不对的地方就是太理想化了,一把两把倍投还好,如果是十把八把呢?
2的10次方就是1024,第一把下注100,碰上个“十连长龙”,想要翻本就要下注102400。
然而普通赌徒本金都是有限的,怎么可能连续十把跟着翻倍,就算真有壕的人,豁出去了跟*场赌**碰一碰,那基本也是没用,因为正常*场赌**里都有限红,每把的投注金额都是有上限的,说白了在别人制定的规则里想要玩赢别人,太难了。

再加上很多*场赌**里都是没有窗户,没有钟表,模糊了赌徒的时间概念,甚至卖的饮料也都是一些含有酒精的刺激性饮料,为的就是让赌徒上头,就是让赌徒面红耳赤,失去理智,全凭本能和运气对赌。
但*场赌**里各种玩法,*率赔**胜率下注金额,都是各种数学家精心计算过的,靠着运气对拼科技,怎么可能赢呢?
而且往往就算是一些功成名就的成熟人士,也很难跑的了*场赌**下的套。

不赌为赢
金立手机想必大家都是有所耳闻。
它的创始人刘立荣,学生时代就是考上了中南大学的学霸,创立了金立手机之后更是让其成为了手机界中的一颗新星。
但到了后来智能手机的重要转型期,金立手机却因为资金链断裂无法完成转型而被淘汰了,那么金立手机的钱都去了哪里呢?
全都被刘立荣拿去赌博了。
在太平洋的塞班岛上,西装革履、意气风发的刘立荣挥金如土,然而在输了以十亿计的人民币后却也如同街边一个最普通的棒槌赌徒一样,面红耳赤地拿着牌一点点摩擦着地掀开,赌博的刺激他享受到了,肾上腺素飙升的感觉他体会到了,代价就是再次输了,输的一败涂地,输了后半辈子。

著名港星“达叔”曹达华,周星驰的金牌配角,他除了拍戏之外自己也有着影视公司等买卖,但是在上个世纪的1964年,他前往了澳门到了 何鸿燊的*场赌**之中赌博,输赢也都是以亿元计算。
最终输的急眼的曹达华直接压下了香港钻石山的一块地皮,可结果却还是直接输了,对于这样的客人*场赌**自然是非常“尊重”,何鸿燊直接给了曹达华一张“超级VIP卡”,用这张卡可以在澳门所有饭店酒店随便消费,何家来买单。

但这样付出根本就是无关紧要的,因为仅仅是钻石山的那块地皮,放在今天的市值就超过了一千亿。
吃?得吃什么玩意儿才能吃回来一千亿啊!
这些还都是讲规矩的情况,起码是愿赌服输,但真碰上了绝对理智,就是靠着数学规律和*场赌**碰一碰的狠人,*场赌**也是会撕下脸皮。

马恺文,麻省理工毕业的统计学、计量学天才学生,每个月总会去拉斯维加斯的*场赌**里小试身手。
不出老千,不用科技,靠的就是自己记牌、算牌的能力,靠的就是凯利公式对下注金额的绝对控制,无论*场赌**怎么引诱,现场气氛怎么带动,马恺文脸上绝对不会有丝毫动容,手下绝对不会多下一美元。
这样的狠人自然是赢多输少,每次都至少能在*场赌**里带走几十万美金,短短一年多的时间里就已经身家过千万美元了。
结果呢?*场赌**直接封杀他,将他列为了黑名单。
在赌桌上赢不了你,那你干脆就别上桌了,反正场子是我们开的,想接待谁就接待谁。

这就是赌博,一个哪怕看似能够让人暴富,实则步步危机的游戏,一个不存在真正公平的游戏。
沉迷其中的绝大多数赌徒们,以为拼的是运气,是自己命里有这么一笔横财,其实*场赌**和你玩的是科技,是一大群数学家们知识的力量。
更不要说在今天技术的发展,各种“先进”的*具赌**,真的是放在你面前明着开挂,你都不知道人家是怎么操作的,只知道自己输了,自己的钱没了。
但其实如果真有能够克制自己冲动下注的自制力,真有万事无论怎么变化,自己都能尊重客观规律办事的稳重,这种人何必赌博呢?这种人干点什么不能成事呢?

凯利公式也只不过是一个能够让人赢多输少的辅助工具,如果说世界上有一个办法,能够让人稳赢不输,那就是远离赌桌,不赌为赢。