一.皮克公式及简单应用
你能计算出下图点阵中多边形的面积吗?(四个相邻点围成的正方形面积是一个单位面积).

你可以把多边形分成若干小正方形和三角形,分别计算面积后相加,这是一个不错的办法.也可以通过剪一剪、拼一拼,采用割补法,这个想法也很好.
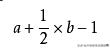
1899年,犹太数学家皮克(Georg Alexander Pick)发现了一个被誉为"有史以来最重要的100个数学定理之一"的"皮克定理"(Pick's Theorem)。这个定理是这样说的:给定顶点座标均是整点(或正方形格子点)的简单多边形,计算点阵中多边形面积的公式:S=a + 1/2 b -1
其中a表示多边形内部的点数,b表示多边形边界上的点数,S表示多边形的面积.在上图中,a=49,b=11,所以多边形面积S=49+1/2×11-1=53.5(单位面积).
用皮克公式是不是更方便?我们可以通过间接计算的方法验证这个结果:
S=S长方形-(S1+S2+S3+S4+S5)=12×8-(1×4÷2+6×4÷2+6×2÷2+6×4÷2+7×3÷2)=96-(2+12+6+12+10.5)=96-42.5=53.5。

哇,最终的结果正如皮克定理所说的那样,面积的计算居然可以通过数点数来得到,真的很神奇有木有?胡适先生曾给我们留下治学名言:"大胆猜想,小心求证",这对我们解决一些问题有很好的启发作用。根据直觉和经验作出合理、合情的猜想,再对自己提出的猜想或直觉进行严谨的求证.

又如一张方格纸上,上面画着纵横两组平行线,相邻平行线之间的距离都相等,这样两组平行线的交点,就是所谓格点.

方格纸中每个小正方形的边长为1,其中a表示多边形内部的格点数,b表示多边形边界上的格点数,S表示多边形的面积.
图①:a=8,b=4,可得S=9; 图②:a=5,b=6,可得S=7.
皮克公式的如何证明呢,可以将边界上的点看作是一个个圆,在多边形边上的圆其面积只有一半属于这个多边形,但多边形角上的圆就不一样了,将夹角的任一个边延长,与另一条边的夹角是外角,这角上的圆中外角部分计算面积时多算了,要除去,因多边形的外角和是360度,所以正好是个整圆.所以面积公式为

例1:求下面各图形的面积。

【解析】:图①是个平行四边形,周界上有10个格点,图内有4个格点,根据皮克面积公式,图①的面积为:4+10÷2-1=8;
图②是个梯形,周界上有8个格点,图内有2个格点,根据皮克面积公式,图②的面积为:2+8÷2-1=5;
图③是个三角形,周界上有6个格点,图内有4个格点,根据格点面积公式,图③的面积为:4+6÷2-1=6;
以上3个图形都是规则图形,但用数格子方法计算面积比用面积公式计算更简便。
图④是个六边形,周界上有8个格点,图内有9个格点,根据格点面积公式,图④的面积为:9+8÷2-1=12。
例2:下图中喇叭、小猫、小狗的面积各是多少?

【解析】:这三个图形都适合用格点面积公式计算面积。喇叭周界上有8个格点,图内没有格点,面积为:0+8÷2-1=3;小猫周界上有20个格点,图内有2个格点,面积为:2+20÷2-1=11;小狗图案可以看着是两个格点多边形组成,先分别求出每个格点多边形的面积,再求出总面积。躯干面积:0+12÷2-1=5;尾巴面积:0+4÷2-1=1;总面积:5+1=6。
像小狗图案这样,由两个或两个以上独立的格点多边形拼成的多边形,要求其总面积,一般先求出每个独立多边形的面积,再求和,以免发生漏数多个独立图形公共格点的错误。
3.(2018春•海淀区期中)如图的网格线是由边长为1的小正方形格子组成的,小正方形的顶点叫格点,以格点为顶点的多边形叫格点多边形,小明研究发现,内部含有3个格点的四边形的面积与该四边形边上的格点数有某种关系,请你观察图中的4个格点四边形.设内部含有3个格点的四边形的面积为S,其各边上格点的个数之和为 m,则S与m的关系为( )

4.用网格线将平面分成若干个面积为1的小等边三角形格子,小等边三角形的顶点,叫格点,以格点为顶点的多边形叫格点多边形.设格点多边形的面积为S,它各边上格点的个数和为x.

(1)图中的格点多边形,其内部都只有一个格点,它们的面积与各边上格点的个数和的对应关系如下表,请写出S与x之间的关系式.

答:S=_______ .
(2)请你再画出一些格点多边形,使这些多边形内部都有而且只有2格点.此时所画的各个多边形的面积S与它各边上格点的个数和x之间的关系式是:S=_________ .
(3)请你继续探索,当格点多边形内部有且只有n个格点时,猜想S与x有怎样的关系?答:S= _________.
【解答】(1)图中的格点多边形,其内部都只有一个格点,请你填写下表.

答根据以上信息,多边形的面积=各边上格点个数,即S=x;
(2)根据图可知:

正方形的面积是8,它的各边上格点的个数和x是6,中间格点数是2,8=6+2;三角形的面积是5,它的各边上格点的个数和x是3,中间格点数是2,5=3+2;五边形的面积是7,它的各边上格点的个数和x是5,中间格点数是2,7=5+2;那么S=x+2;
(3)通过上题探究可知:最后的1就是内部的格点数2n﹣2而得;
所以格点多边形面积=各边上格点的个数和×+(多边形内部格点数的2被﹣2);即:S=x+(2n﹣2);

二.皮克公式应用易错情形说明
如图所示,图是由外圈的八边形和内圈的长方形构成的"0"形图案,求这个"0"形的面积.

【错误解法一】图中八边形的边界格点数为14,长方形的边界格点数为10,八边形和长方形的内部格点数为0,由皮克公式可得:

【错误解法二】图中八边形的边界格点数为14,长方形的边界格点数为10,整个图形的内部格点数为2,由皮克公式可得:

【分析】以上错解是没有正确理解格点多边形的概念。图中的"0"其实不是一个单独的格点多边形,而是由两个格点多边形复合而成的图形,故不能直接套用格点公式,需要分开来计算。

三.皮克公式适用范围


四.皮克公式拓展
从一维特例出发。我们选择一维的特例来思考,此时不过是简单的"植树问题"。例如:在一条线段上每隔单位距离种一棵树(即在格子点上种树),两端皆种,问线段有多长?

我们观察到格子点可分成内点(interior points)与边界点(boundary points)两类。假设内点与边界点的个数分别为i与b(事实上 b=2)。显然线段之长 L 为:

我们也可以这样想:如果在相邻两格子之中点加以分割,得到许多小段,那么每一个内点所在的小段皆具有单位长度,而每一个边界所在的小段只有1/2单位长度。换言之,一个内点贡献一个单位长度,而一个边界点只贡献了1/2个单位长度。因此,线段的长度为:


(二)推广到二维平面


