一、选择题(本题共12小题,每小题4分,共48分.在每小题给出的四个选项中,只有一项是符合题目要求的,请用2B铅笔把答题卡上对应题目的答案标号涂黑、涂满.)
1.某市2020年12月12日的最高温度是10℃,最低温度是-1℃,这天的温差是( )
A.9℃ B.-9℃ C.10℃ D.-10℃
2.下列图形中,既是轴对称图形又是中心对称图形的是( )

A. B. C. D.
3.2020年某市固定资产总投资计划为4850亿元,将4850亿用科学记数法表示为( )
A.4.85×1011 B.45.8×1010 C.485×109 D.0.485×1014
4.如图,在平行线a,b之间放置一块直角三角板,三角板的顶点A,B分别在直线a,b上,则∠1+∠2的值为( )
A.90° B.85° C.80° D.60°

5.下列运算正确的是
A.a⁴÷a¹=a² B.(a²)³=a5 C.a³•a³=a6 D.3a³﹣2a²=a
6.已知一组数据:50,30,40,60,30,这组数据的众数和中位数分别是( )
A.40,30 B.30,40 C.30,30 D.40,40
7. 已知圆锥的底面面积为25πcm²,母线长为12 cm,则圆锥的侧面展开图圆心角是( )
A.150° B.155° C.160° D.180°
8.如图,在△ABC中,AC=2,BC=4,D为BC边上的一点,且∠CAD=∠B.若△ADC的面积为a,则△ABD的面积为( )
A.2a B.5a /2 C.3a D.7a/2

9.定义一种新运算n•xn﹣1dx=an﹣bn,例如2xdx=k2﹣n2,若﹣x﹣2dx=﹣2,则m=( )
A.﹣2 B.﹣2/5 C.2/5 D.2
10.如图,在一斜边长30cm的直角三角形木板(即Rt△ACB)中截取一个正方形CDEF,点D在边BC上,点E在斜边AB上,点F在边AC上,若AF:AC=1:3,则这块木板截取正方形CDEF后,剩余部分的面积为( )
A.200cm² B.170cm² C.150cm² D.100cm²

11.如图,正方形ABCD的边长为3,E、F分别是AB、CD上的点,且∠CFE=60°,将四边形BCFE沿EF翻折,得到B′C′FE,C′恰好落在AD边上,B′C′交AB于点G,则GE的长是
A.3√3-4 B.4√2-5 C.4-2√2 D.5-2√3

12.如图,矩形ABCD中,AB=4,BC=3,连接AC,⊙P和⊙Q分别是△ABC和△ADC的内切圆,则PQ的长是( )
A.5/2 B.√5 C.√5/2 D.2√2

二、填空题(本题共4小题,每小题4分,共16分.答题请用0.5毫米黑色墨水的签字笔或钢笔直接答在答题卡的相应位置上.)
13.计算:√18-√2=
14.已知x1,x2是一元二次方程x²﹣2x﹣1=0的两根,则1/x1+1/x2=
15.如图,AC⊥BC,AC=BC,D是BC上一点,连接AD,与∠ACB的平分线交于点E,连接BE.若S△ACE=6/7,S△BDE=3/14,则AC=

16.如图,点E、F在函数y=2/x的图象上,直线EF分别与x轴、y轴交于点A、B,
且BE:BF= 1:3,则△EOF的面积是

三、解答题(本题共8小题,共86分.答题请用0.5毫米黑色墨水的签字笔或钢笔直接答在答题卡的相应位置上.解答时应写出必要的文字说明,证明过程或演算步骤.)
17.(6分)计算:

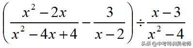
18.(8分)化简分式:

,并从1,2,3,4这四个数中取一个合适的数作为x的值代入求值.
19.(10分)乌江快铁大桥是快铁渝黔线的一项重要工程,由主桥AB和引桥两部分组成(如图所示)。建造前工程师用以下方式做了测量:无人机在A处正上方97m处的P点,测得B处俯角为30°(当时C处被小山体阻挡无法观测)。无人机飞得到B处正上方的D处时年到C处,此时测得C处俯角为80°36′。
(1)求主桥AB的长度.
(2)若两观察点P、D的连线与水平方向的夹角为30°,求引桥BC的长.(长度均精确到1 m,参考数据:,sin80°36′≈0.987,cos80°36′≈0.163.tan80°36′≈6.06.)

20.(12分)某中学开设的体育选修课有篮球、足球、排球、羽毛球、乒乓球,学生可以根据自己的爱好选修其中1门.某班班主任对全班同学的选课情况进行了调查统计,制成了两幅不完整的统计图(图(1)和图(2)):
(1)请你求出该班的总人数,并补全条形图(注:在所补小矩形上方标出人数);
(2)在该班团支部4人中,有1人选修排球,2人选修羽毛球,1人选修乒乓球.如果该班班主任要从他们4人中任选2人作为学生会候选人,那么选出的两人中恰好有1人选修排球、1人选修羽毛球的概率是多少?

21.如图,⊙O的弦AD∥BC,过点D的切线交BC的延长线于点E,AC∥DE交BD于点H,DO及延长线分别交AC、BC于点G、F.
(1)求证:DF垂直平分AC;
(2)求证:FC=CE;
(3)若弦AD=5cm,AC=8cm,求⊙O的半径.

22.(12分)为厉行节能减排,倡导绿色出行,今年3月以来,“共享单车”(俗称“小黄车”)公益活动登陆我市中心城区某公司拟在甲、乙两个街道社区投放一批“小黄车”,这批自行 车包括A、B两种不同款型,请回答下列问题:
问题1:单价
该公司早期在甲街区进行了试点投放,共投放A、B两型自行车各50辆,投放成本共7500元,其中B型车的成本单价比A型车高10元.A,B两型自行车的单价各是多少?
问题2:投放方式
该公司决定采取如下投放方式:甲街区每1000人投放a辆“小黄车”,乙街区每1000人投放(8A+240)/8辆“小黄车”.按照这种投放方式,甲街区共投放1500辆,乙街区共投放1200辆.如果两个街区共有15万人,试求a的值.
23.(12分)边长为2√2的正方形ABCD中,P是对角线AC上的一个动点(点P与A、C不重合).连接BP,将BP绕点B顺时针旋转90°到BQ.连OP,OP与BC交于点E.OP延长线与AD(或AD延长线)交于点F
(1)连接CQ.证明:CQ=AP.
(2)设AP=x,CE=y,试写出y关于x的函数关系式x为何值时,CE=3/8BC.
(3)猜想PF与EQ的数量关系,并证明你的结论.

24.(14分)如图,抛物线 y=ax²+bx+c(a<0,a、b为常数)与x轴交于A、C两点, 与y轴交于B点,直线AB的函数关系式为y=8/9x+16/3
(1)求该抛物线的函数关系式与C点坐标;
(2)已知点M(m,0)是线段 OA上的一个动点,过点M作x轴的垂线l分别与直线AB和抛物线交于D,E两点.当m为何值时,△BDE恰好是DE为底边的等腰三角形?
(3)在(2)问条件下,当△BDE恰好是以DE为底边的等腰三角形时,动点M相应位置记为点M′,将OM′绕原点O顺时针旋转得到ON(旋转角在O°到90°之间).
i.探究:线段叩上是否存在定点P(P不与0、B重合),无论ON如何旋转,NP/NB始终保持不变.若存在,试求出P点坐标;若不存在,请说明理由.
ii.试求出此旋转过程中,(NA+3/4NB)的最小值.

