第三节 网络计划时间参数的计算
一、网络计划时间参数的概念
(一)工作持续时间和工期
1.工作持续时间:指一项工作从开始到完成的时间。
2.工期:指完成一项任务所需要的时间。
(1) 计算工期 (Tc):根据网络计划时间参数计算而得到的工期。
(2) 要求工期 (Tr):任务委托人所提出的指令性工期。
(3) 计划工期 (Tp):作为实施目标的工期。
1)规定了要求工期时,Tp≤Tr
2)未规定要求工期时,Tp=Tc
(二)工作的六个时间参数
1. 最早开始时间(ES)和最早完成时间(EF)
工作的最早开始时间是指在其所有 紧前工作全部完成后 ,本工作有 可能 开始的最早时刻。
工作的最早完成时间是指在其所有紧前工作全部完成后,本工作有 可能 完成的最早时刻。
2. 最迟完成时间(LF)和最迟开始时间(LS)
工作的最迟完成时间是指在 不影响整个任务按期完成 的前提下,本工作 必须 完成的最迟时刻。
工作的最迟开始时间是指在不影响整个任务按期完成的前提下,本工作 必须 开始的最迟时刻。
3. 总时差(TF)和自由时差(FF)
工作的总时差是指在 不影响总工期 的前提下,本工作可以利用的机动时间。
工作的自由时差是指在 不影响其紧后工作最早开始 时间的前提下,本工作可以利用的机动时间。
从总时差和自由时差的定义可知,对于同一项工作而言, 自由时差 不会超过 总时差 。

【例题·2019年真题】 根据网络计划时间参数计算得到的工期称之为(B)。
A.计划工期 B.计算工期 C.要求工期 D.合理工期
【解析】计算工期是指根据网络计划时间参数计算而得到的工期。
【例题·2020年真题】 工程网络计划中,工作的最迟开始时间是指在不影响(C)的前提下,必须开始的最迟时刻。
A.紧后工作最早开始 B.紧前工作最迟开始
C.整个任务按期完成 D.所有后续工作机动时间
【解析】工作的最迟开始时间是指在不影响整个任务按期完成的前提下,本工作必须开始的最迟时刻。
【例题·2019年真题】 网络计划中,工作总时差是本工作可以利用的机动时间,但其前提是(A)。
A.不影响紧后工作最迟开始 B.不影响紧后工作最早开始
C.不影响紧后工作最早完成 D.不影响后续工作最早完成
【解析】工作的总时差是指在不影响总工期的前提下,本工作可以利用的机动时间。而影响最迟开始时间也会影响整个任务按期完成的。
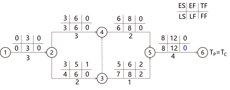
二、双代号网络计划时间参数的计算
(一)按工作计算法

(一)按工作计算法
为了简化计算,网络计划时间参数中的开始时间和完成时间都应以时间单位的终了时刻为标准。如第6天开始即是指 第6天 终了( 下班 )时刻开始,实际上是 第7天上班 时刻才开始;第5天完成即是指第5天终了(下班)时刻完成。
1.计算工作的最早开始时间和最早完成时间
(1)以网络计划 起点节点 为开始节点 的工作 ,当未规定其最早开始时间时,其最早开始时间为零。

(2)工作的最早完成时间:EF=ES+D

(3)其他工作的最早开始时间应等于其紧前工作最早完成时间的 最大值。
(4)网络计划的计算工期应等于以网络计划 终点节点 为完成节点的工作的 最早完成时间 的 最大值 。
2. 确定网络计划的计划工期
在本例中,假设未规定要求工期,则其计划工期就等于计算工期,即:Tp=Tc=12
3. 计算工作的最迟完成时间和最迟开始时间
(1)以网络计划终点节点为完成节点的工作,其最迟完成时间 等于 网络计划的 计划工期

(2)工作的最迟开始时间:LS=LF-D
(3)其他工作的最迟完成时间应等于其 紧后工作最迟开始 时间的 最小值

4. 计算工作的总时差
工作的总时差等于该工作 最迟 完成时间与 最早 完成 时间之差 ,或该工作最迟开始时间与最早开始时间之差

5. 计算工作的自由时差
(1)对于有紧后工作的工作,其自由时差等于本工作之 紧后工作最早开始 时间 减本工作最早完成 时间所得之差的 最小值

(2)对于无紧后工作的工作,也就是以网络计划终点节点为完成节点的工作,其自由时差等于 计划工期 与 本工作最早完成 时间之差

6. 确定关键工作和关键线路
在网络计划中, 总时差最小的工作 为关键工作。特别地,当网络计划的计划工期等于计算工期时,总时差为零的工作就是关键工作。
找出关键工作之后,将这些 关键工作首尾相连 ,便构成从起点节点到终点节点的通路,通路上各项工作的持续时间总和最大的,就是关键线路。
在关键线路上可能有虚工作存在。
【例题·2015年真题】 某工程网络计划中,工作D有两项紧前工作B、C,工作B、C的持续时间分别为5d和6d,工作B、C的最早开始时间分别是第7天和第10天,则工作D的最早开始时间为第(D)天。
A.12 B.13 C.15 D.16
【解析】最早开始时间应等于其紧前工作最早完成时间的最大值,即max(5+7,6+10)天。
【例题·2016年真题】 某工程网络计划中,工作M的持续时间为4d,工作M的三项紧后工作的最迟开始时间分别为第21天、第18天和第15天,则工作M的最迟开始时间是第(A)天。
A.11 B.14 C.15 D.17
【解析】M的最迟结束时间为min(21天、18天、15天)=15天,所以其最迟开始时间为15-4=11天。
【例题·2017年真题】 在计算双代号网络计划的时间参数时,工作的最迟完成时间应等于其紧后工作(B)。
A.最迟开始时间的最大值 B.最迟开始时间的最小值
C.最早完成时间的最大值 D.最早完成时间的最小值
【解析】最迟完成时间应等于其紧后工作最迟开始时间的最小值。
【例题·2017年真题】 某双代号网络计划中,工作A的最早开始时间和最迟开始时间分别为第10天和第13天,其持续时间为5天,工作A有3项紧后工作,它们的最早开始时间分别为第19天、第22天和第26天,则工作A的自由时差为(A)d。
A.4 B.7 C.11 D.15
【解析】自由时差等于本工作之紧后工作最早开始时间减本工作最早完成时间所得之差的最小值,即19-(10+5)=4天。
【例题·2018年真题】 某双代号网络计划中,工作M有两项紧后工作O和P,工作O、P的持续时间分别为13d、8d,工作O、P的最迟完成时间为第20天、第12天,则工作M的最迟完成时间是(B)天。
A.6 B.4 C.8 D.7
【解析】最迟完成时间应等于其紧后工作最迟开始时间的最小值,即min(20-13,12-8)=4天。
【例题·2021年真题】 某工程双代号网络计划如下图所示,工作E最早完成时间和最迟完成时间分别是(D)。

A.6和8 B.6和12 C.7和8 D.7和12
【解析】关键线路:①→②→⑤→⑦,计算工期=3+6+6=15,E工作最早完成时间为max{3+4,2+4,3+4}=7,最迟完成时间为15-3=12。
二时标注法
• 只需标注两个最基本的时间参数: ES、LS
• 其他四个时间参数均可导出。

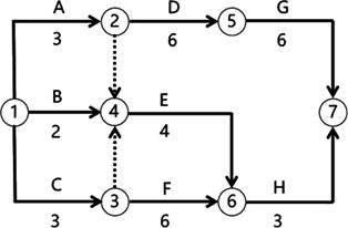
【例题·2021年真题】 某工程双代号网络计划如下图,正确有(ACE)。
A.工作①→③的总时差等于自由时差
B.工作①→④的总时差等于自由时差
C.工作②→⑤的自由时差为零
D.工作⑤→⑦为关键工作
E.工作⑥→⑦为关键工作

【解析】关键线路为①→②→③→⑥→⑦。
选项A正确,工作①→③的总时差等于自由时差3;选项B错误,①→④的自由时差为0,总时差为6;选项C正确,工作②→⑤的自由时差为零;选项D错误,⑤→⑦不为关键工作;选项E正确,工作⑥→⑦为关键工作。
(二)按节点计算法
所谓按节点计算法,就是先计算网络计划中各个节点的 最早时间 和 最迟时间 ,然后再据此计算各项工作的时间参数和网络计划的计算工期。
• 节点的最早时间(ET):以该节点为 开始节点 的各项工作的最早开始时间;
• 节点的最迟时间(LT):以该节点为 完成节点 的各项工作的最迟完成时间。

3.确定关键线路和关键工作
• 在双代号网络计划中,关键线路上的节点称为关键节点。
• 关键工作两端的节点必为关键节点,但两端为关键节点的工作不一定是关键工作。
• 关键节点的最迟时间与最早时间的差值最小。特别地,当计划工期=计算工期时,关键节点的 最早时间 与 最迟时间 必然 相等 。
• 当利用关键节点判别关键线路和关键工作时,还要满足下列判别式:ETi+Di,j=ETj
• 关键节点必然处在关键线路上,但由关键节点组成的线路不一定是关键线路。
4.关键节点的特性
(1)开始节点和完成节点均为关键节点的工作,不一定是关键工作。
(2) 以关键节点为完成节点的工作,其总时差和自由时差必然相等 。
(3)当两个关键节点间有多项工作,且工作间的非关键节点无其他内向箭线和外向箭线时,则两个关键节点间各项工作的 总时差均相等 。
【例题·2018年真题】 某工程双代号网络计划中各个节点的最早时间和最迟时间如下图所示,图中表明(CDE)。
A.工作1→3为关键工作 B.工作2→4的总时差为2
C.工作2→5的总时差为1 D.工作3→6为关键工作
E.工作5→7的自由时差为4

【解析】选项A错误,当利用关键节点判别关键线路和关键工作时,还要满足下列判别式:ET1+D1,2=ET2,而本题0+2≠4。选项B,工作2→4的总时差=9-2-4=3。
【例题】 某工程双代号网络计划中各节点的最早时间与最迟时间如下图所示,图中表明(BCD)。
A.工作1→4为关键工作 B.工作4→7为关键工作
C.工作1→3的自由时差为0 D.工作3→7的总时差为3d
E.关键线路有3条

【解析】选项A错误,当利用关键节点判别关键线路和关键工作时,还要满足下列判别式:ET1+D1,4=ET4,而本题0+2≠4。选项E,关键线路有2条:1→2→5→8,1→2→4→7→8。
【例题·2021年真题】 双代号网络计划中,关于关键节点的说法,正确的有(BCDE)。
A.以关键节点为完成节点的工作必为关键工作
B.两端为关键节点的工作不一定是关键工作
C.关键节点必然处于关键线路上
D.关键节点的最迟时间与最早时间的差值最小
E.由关键节点组成的线路不一定是关键线路
【解析】选项A应为:以关键节点为完成节点的工作不一定为关键工作。
【例题·2016年真题】 计划工期等于计算工期的双代号网络计划中,关于关键节点特点的说法,正确的是(B)。
A.相邻关键节点之间的工作一定是关键工作
B.以关键节点为完成节点的工作总时差和自由时差相等
C.关键节点连成的线路一定是关键线路
D.两个关键节点之间的线路一定是关键线路
【解析】选项A应为:相邻关键节点之间的工作不一定是关键工作。C应为:关键节点连成的线路不一定是关键线路。D应为:两个关键节点之间的线路不一定是关键线路。
(三)标号法
标号法是一种 快速 寻求网络计划 计算工期 和 关键线路 的方法。
(1)网络计划起点节点的标号值为零。
(2) 其他节点的标号值应按节点编号从小到大的顺序逐个进行计算。
(3) 网络计划的计算工期就是网络计划终点节点的标号值。
(4) 关键线路应从网络计划的终点节点开始,逆着箭线方向按源节点确定。

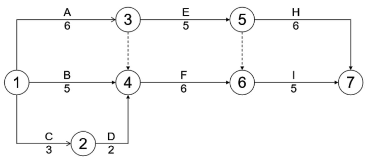
【例题】 某项目双代号网络计划如下图(时间单位:天),该网络计划的计算工期是(D)天。
A.14 B.16 C.19 D.23

【解析】关键线路为:①→②→④→⑤→⑧,计算工期为23天。
【例题】 某工程双代号网络计划如下图所示,其关键线路有(D)条。
A.1 B.2 C.3 D.4

【解析】关键线路分别为:①→②→⑤→⑦→⑧, ①→②→⑤→⑥→⑧ , ①→③→⑤→⑦→⑧ , ①→③→⑤→⑥→⑧。
【标号法拓展】
非关键工作自由时差和总时差的计算:
(1)以关键节点为完成节点的工作,其总时差和自由时差必然相等。
非关键工作自由时差 =完成节点标号值-(起始节点标号值+持续时间)
(2)以关键节点为完成节点的非关键工作,在图中用 波形线 表示其自由时差。
(3)其余工作总时差:本工作与后续线路波形线长度之和的最小值。

【例题·2018年真题】 某双代号网络计划如下图所示(单位:d),则工作F的自由时差是(A)d。
A.0 B.1 C.2 D.3

【解析】关键线路有两条:①→③→⑤→⑦和①→③→④→⑥→⑦,F处于关键线路上,自由时差为0。
【例题·2015年真题】 网络计划如下图所示,则工作D的总时差和自由时差分别为(D)d。
A.1和1 B.1和2 C.2和1 D.2和2

【解析】关键线路有两条:①→②→③→④→⑤→⑥,D的自由时差和总时差相等都为2。
【例题·2019年真题】 某工程网络计划如下图所示(时间单位为天),图中工作D的自由时差和总时差分别是(D)天。
A.0和3 B.1和0 C.1和1 D.1和3

【解析】关键线路为①→② →⑤→⑧和①→④→⑦ →⑧,计算工期11天。节点⑧标号值11,节点⑥标号值6,所以G的自由时差为11-(6+3)=2天。节点③⑤标号值分别为2和5,所以D的自由时差为5-(2+2)=1,总时差=1+2=3天。
【例题·2017年真题】 某工程双代号网络计划如下图所示,其中工作I的最早开始时间是(D)。
A.7 B.12 C.14 D.16

【解析】根据标号法:节点7标号值为16。
【例题·2019年真题】 某工程网络计划如下图所示(时间单位为天),图中工作E的最早完成时间和最迟完成时间分别是(A)天。
A.8 和 10 B.5 和 7 C.7 和 10 D.5 和 8

【解析】工作E的最早完成时间=max{EFAEFB}+DE=max{5,3}+3=5+3=8天,工作E的最迟完成时间=LSG=10天。
三、单代号网络计划时间参数的计算

(一)计算工作的最早开始时间和最早完成时间
(1)网络计划起点节点所代表的工作,其最早开始时间未规定时取值为零。
⑵工作的最早完成时间应等于本工作的最早开始时间与其持续时间之和。
⑶其他工作的最早开始时间应等于其紧前工作最早完成时间的最大值。
⑷网络计划的计算工期等于其终点节点所代表的工作的最早完成时间。

(二)计算相邻两项工作之间的时间间隔
相邻两项工作之间的时间间隔是指其紧后工作的最早开始时间与本工作最早完成时间的差值。
LAG=ES紧后-EF本工作

(四)计算工作的总时差
(1) 网络计划终点节点所代表的工作的总时差应等于计划工期与计算工期之差。
(2) 其他工作的总时差应等于本工作与其各紧后工作之间的时间间隔加该紧后工作的总时差所得之和的最小值。
TF=min(LAG本工作与紧后+TF紧后)

(五)计算工作的自由时差
(1) 网络计划终点节点所代表的工作的自由时差等于计划工期与本工作的最早完成时间之差。
(2) 其他工作的自由时差等于本工作与其紧后工作之间时间间隔的最小值,即
FF=min(LAG本工作与紧后)

(六)计算工作的最迟完成时间和最迟开始时间
1. 根据总时差计算
(1)工作的最迟完成时间等于本工作的最早完成时间与其总时差之和,即: LF=EF+TF
(2) 工作的最迟开始时间等于本工作的最早开始时间与其总时差之和,即:
LS=ES+TF

(七)确定网络计划的关键线路
1. 利用关键工作确定关键线路
总时差最小的工作为关键工作。将这些 关键工作相连 ,并保证相邻两项关键工作之间的 时间间隔为零 而构成的线路就是关键线路。
2. 利用相邻两项工作之间的时间间隔确定关键线路
从网络计划的终点节点开始, 逆着箭线方向 依次找出 相邻 两项工作之间 时间间隔为零 的线路就是关键线路。
【例题·2018年真题】 单代号网络计划中,相邻两项工作之间的时间间隔等于(D)。
A.紧后工作的最迟完成时间和本工作的最早完成时间之差
B.紧后工作的最早完成时间和本工作的最早开始时间之差
C.紧后工作的最早开始时间与本工作的最早开始时间的差值
D.紧后工作的最早开始时间与本工作的最早完成时间的差值
【解析】相邻两项工作之间的时间间隔是指其紧后工作的最早开始时间与本工作最早完成时间的差值。
【例题·2021年真题】 某工程单代号网络计划中,工作E的最早完成和最晚完成时间分别是6和8,紧后工作F的最早开始时间和最晚开始时间分别是7和10,工作E和F之间的时间间隔是(A)。
A.1 B.2 C.3 D.4
【解析】相邻两项工作之间的时间间隔是指其紧后工作的最早开始时间与本工作最早完成时间的差值。工作E和F之间的时间间隔=7-6=1。
【例题·2020年真题】 某工程单代号网络计划如下图所示,图中工作 B 的总时差是指在不影响(C)的前提下所具有的机动时间。
A.工作D最迟开始时间 B.工作E最早开始时间
C.工作D、E最迟开始时间 D.工作D、E最早开始时间

【解析】工作的总时差是指在不影响总工期的前提下,本工作可以利用的机动时间。单代号网络计算时,工作总时差等于本工作与其各紧后工作之间的时间间隔加该紧后工作的总时差所得之和的最小值。
【例题·2019年真题】 某工程的网络计划如下图所示(时间单位为天),图中工作B和E之间、工作C和E之间的时间间隔分别是(A)天。
A.1 和 0 B.5 和 4 C.0 和 0 D.4 和 4

【解析】相邻两项工作之间的时间间隔是指其紧后工作的最早开始时间与本工作最早完成时间的差值。E工作的最早开始时间为9天,B工作的最早完成时间为8天,工作B和E之间=9-8=1天;C工作的最早完成时间为9天,工作C和E之间的时间间隔=9-9=0天。
【例题·2020年真题】 工作 A有B、C两项紧后工作,A、B之间的时间间隔为3天,A、C之间的时间间隔为2天,则工作A的自由时差是(B)天。
A.1 B.2 C.3 D.5
【解析】非终点节点的其他工作的自由时差等于本工作与其紧后工作之间时间间隔的最小值。