被誉为19 世纪最伟大的数学家之一的埃瓦里斯·伽罗瓦,1811年10月25日出生于法国,1832年5月31日逝世。在他20年零7 个月的短暂人生中,到底取得了哪些伟大成果?
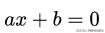
对于一次方程和二次方程解法的研究起源于古巴比伦时期。在解一次方程

时,解出

,即使 a和b 为整数,结果也有可能是分数,可以说“分数”的出现就是为了解这类方程。
虽然古巴比伦人努力研究了二次方程的解法,不过还是只能想到用分数解方程。然而,古希腊毕达哥拉斯的门生希帕索斯发现简单的二次方程想

的根不需要用分数表示。
这就是无理数的开端。
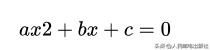
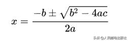
9世纪巴格达数学家花拉子米提出了解一次方程和二次方程的基本方法。如果用现在的写法表示,二次方程

的根

就是中学阶段所学的“求根公式”。因为需要用平方根来表示根,所以二次方程比一次方程“难”。
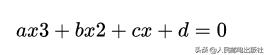
花拉子米发明的方法传到中世纪的欧洲后,数学家们开始争先恐后地研究如何解三次方程和四次方程。三次方程

的解法是由16 世纪的德尔·费罗和塔尔塔利亚独立发现的,发表于卡尔达诺的著作《大术》。而且,卡尔达诺的学生卢多维科·费拉里发现了四次方程

的求根公式。这同样也记载在《大术》中。两者均可以用方程中的系数 a、b、c…… 的平方根和立方根来表示方程的根。
既然方程中同时出现了平方根和立方根,那么三次方程和四次方程比二次方程“更难”。例如,平方根能尺规作图,而立方根却不能。
因为二次、三次以及四次方程的求根公式依次被发现,所以人们理所当然地认为五次方程也能解。然而,从德尔·费罗开始,在之后的300 年中无论数学家们如何努力,最后也没能发现五次方程的求根公式。根据高斯“代数学基本定理”,不管是几次方程都应该有复数根,结果却不知道如何用平方根和立方根等幂根来表示五次方程的根。
在这种情况下,1802 年出生于挪威的尼尔斯·亨利克·阿贝尔出现了。

尼尔斯·亨利克·阿贝尔(图片来源网络)
阿贝尔证明了不存在五次方程的求根公式。数学家们一直在挑战“无解的问题”。所以五次方程比三次方程和四次方程“难得多”。
其实,提出不可能这件事本身就很困难。例如介绍了第二不完备性定理,即“包含自然数及其算术运算在内的公理系统,其无矛盾性不可能得到证明”。如果方程“存在”求根公式,只要列出公式,通过计算即可确认所求的根是否正确。但是,如何才能证明求根公式“不存在”呢?明明到四次方程为止都能解,五次方程到底有什么不同?为此,阿贝尔使用了“测量难度的方法”。
阿贝尔在17 岁的时候以为自己发现了五次方程的求根公式,还专门撰写了论文,不过最后发现这个公式存在错误。之后他在21 岁时又发表了论文“五次方程没有代数一般解”。由于这篇论文晦涩难懂,因此在当时并没有被人们理解。幸运的是,当他和柏林的数学家奥古斯特·利奥波德·克列尔成为朋友以后,这篇论文被刊登在了克列尔创办的数学杂志的第一期,当时阿贝尔23 岁。自那以后,阿贝尔陆续在克列尔的杂志上发表论文,因此名声也水涨船高。不过他最终也没能在大学正式任职,不仅生活拮据,还患上了结核病。克列尔竭尽全力为阿贝尔争取柏林大学的教授一职,不过在阿贝尔去世2 天后才获得喜讯。当时阿贝尔才26 岁。
在挪威奥斯陆的王宫庭院里矗立着巨大的阿贝尔纪念碑。令人敬佩的是,在首都最中心的位置摆放的不是政治家或军人的铜像,而是证明了五次方程没有代数一般解的数学家纪念碑。从中也能感受到挪威人是多么为阿贝尔感到自豪!

挪威皇宫庭院里的《阿贝尔纪念碑》 (古斯塔夫·维格朗作品)拍摄者:大栗博司
虽然阿贝尔证明了五次方程没有一般幂根解,不过在某种情况下能简单地解出五次方程。例如

也是五次方程,这个方程的5 个根可以用平方根和虚数表示。即使维次n 变得更高,n 次方程

的所有根都能用自然数的幂根表示这是由高斯成功证明的。
最后,伽罗瓦完成了“测量方程难度的方法”,并且提出了“在哪种情况下能用幂根解方程”。伽罗瓦出生于1811 年,卒于1832 年,这与维克多·雨果的小说《悲惨世界》中所设定的年代(1815年到1833 年)几乎重合。伽罗瓦2 岁时,拿破仑被流放到厄尔巴岛,被法国大革命*翻推**的波旁王朝复辟。不过,波旁王朝仅仅维持了16 年,1830 年的七月被革命所*翻推**。卢浮宫博物馆珍藏的欧仁·德拉克洛瓦作品《自由引导人民》描绘的正是法国七月革命的场景。当时,不到19岁的伽罗瓦作为一名共和*党**人参加了革命。

卢浮宫珍藏的《自由引导人民》(欧仁·德拉克罗瓦作品)
次月,资本家和银行家等资产阶级将路易·菲利普推上君主宝座,共和*党**人挫败。在政治上思想激进的伽罗瓦在20 岁时被捕入狱。出狱后与人决斗而负伤身亡,因而也结束了被政治混乱和社会矛盾捉弄的一生。
与阿贝尔一样,伽罗瓦在16 岁时也以为自己发现了五次方程的解法,后来意识到自己的错误,开始猜想五次方程没有一般解。当时,从阿贝尔完成证明起已经过去了5 年。不过,伽罗瓦继续深入研究,在第二年发现了对于任何次数的方程,能否用幂根解该方程的判定方法。这才是阿贝尔的研究目标。伽罗瓦总结了自己的发现,将其写成一篇论文,并寄给了法兰西科学院。
有一种说法是,当时的评审奥古斯丁·路易·柯西在看之前就把伽罗瓦提交的论文丢失了。因此在迦罗的传记中,柯西经常被视为敌人。不过,柯西确实有前科,他曾经遗失了阿贝尔提交的重要论文。在挪威政府的抗议下,论文最后是从科学院的文件堆中被找到,在阿贝尔去世10 年后得到出版。
然而,根据近几年科学史家的研究,柯西曾经高度评价了伽罗瓦的论文。而且,他还建议伽罗瓦不要刊登在科学院的纪要中,修改后投稿参加科学院举办的论文征集大赛。从政治立场上来说,柯西属于君主派,伽罗瓦属于共和*党**派,他们立场对立,不过从数学角度来看,他们拥有共同点。伽罗瓦的不幸在于,他拥护的七月革命导致柯西下台乃至丧命,因此也失去了唯一理解自己理论的人。而且,他听从柯西的意见参加征集的论文“关于方程幂根解法的条件”也无缘大奖。
不过造化弄人,伽罗瓦的不幸还在继续。在老家担任市长的父亲因为保守派的中伤而被迫自杀。而且,伽罗瓦在巴黎高等理工学院入学考试中连续两年落榜。之后他第三次向科学院提交论文,不过自从柯西逝世后,再也没有数学家能够理解他的研究。
绝望的伽罗瓦投身革命,最终锒铛入狱。出狱后又与人决斗。伽罗瓦在决斗前一晚到第二天早晨给朋友奥古斯特·舍瓦利叶写了一封信,他在信中全面阐明了著名的“伽罗瓦理论”。而且在信的最后还提到自己正在研究“暧昧理论”。但是我们至今也无从得知暧昧理论的具体内容。伽罗瓦在信的末尾写道:“我的时间不多了。在数学这个庞大的领域中,我的构想尚未完全发挥作用。”伽罗瓦英年早逝,实在令人惋惜。
伽罗瓦第三次向科学院提交的论文幸运地被保留了下来。数学家约瑟夫·刘维尔竭尽全力研读这篇遗稿,并于1846 年发表了相关解说,伽罗瓦从而理论终于被人接受。自古巴比伦时期起,发展了3000 年的关于

的方程理论因此完结。
伽罗瓦的伟大业绩并不仅限于方程理论。他在研究方程性质时提出的“群”概念被广泛运用于数学的各类问题中。而且,在物理学中群的概念也非常重要。例如2012 年欧洲研究所CERN 发现了基本粒子“希格斯玻色子”,他们预测在用群的概念说明基本粒子之间力的性质时,希格斯玻色子的作用必不可少。
文章选自《用数学的语言看世界》

《用数学的语言看世界》 作者:[日]大栗博司
《用数学的语言看世界》为知名理论物理学家大栗博司先生写给女儿的数学启蒙书,书中以用“数学语言”解读自然为线索,突破传统数学教育的顺序和教学方式,用历史事件、生动故事以及比喻直接讲解数学核心概念的原理与相关体系,并且讲解了把数学作为一门“语言”、用数学探索自然不可见结构的思维方式,是重新认识和理解数学的科普佳作。