
我们打比赛或者观看比赛时,经常会听到教练员在场边高喊场上的队员:“要用脑子……”。的确,打球不用脑,满场瞎白跑。打球不仅仅是一项需要技巧的体育运动,同时也是一项需要动脑筋的运动。
体育本没有那么简单,体育中藏着很多数学、几何、物理等等学科的知识,以篮球为例,在篮球的投篮、防守等方面都要用到很多数学几何知识。我把三大球中的数学原理分享贡献给大家,希望对大家能有所帮助。
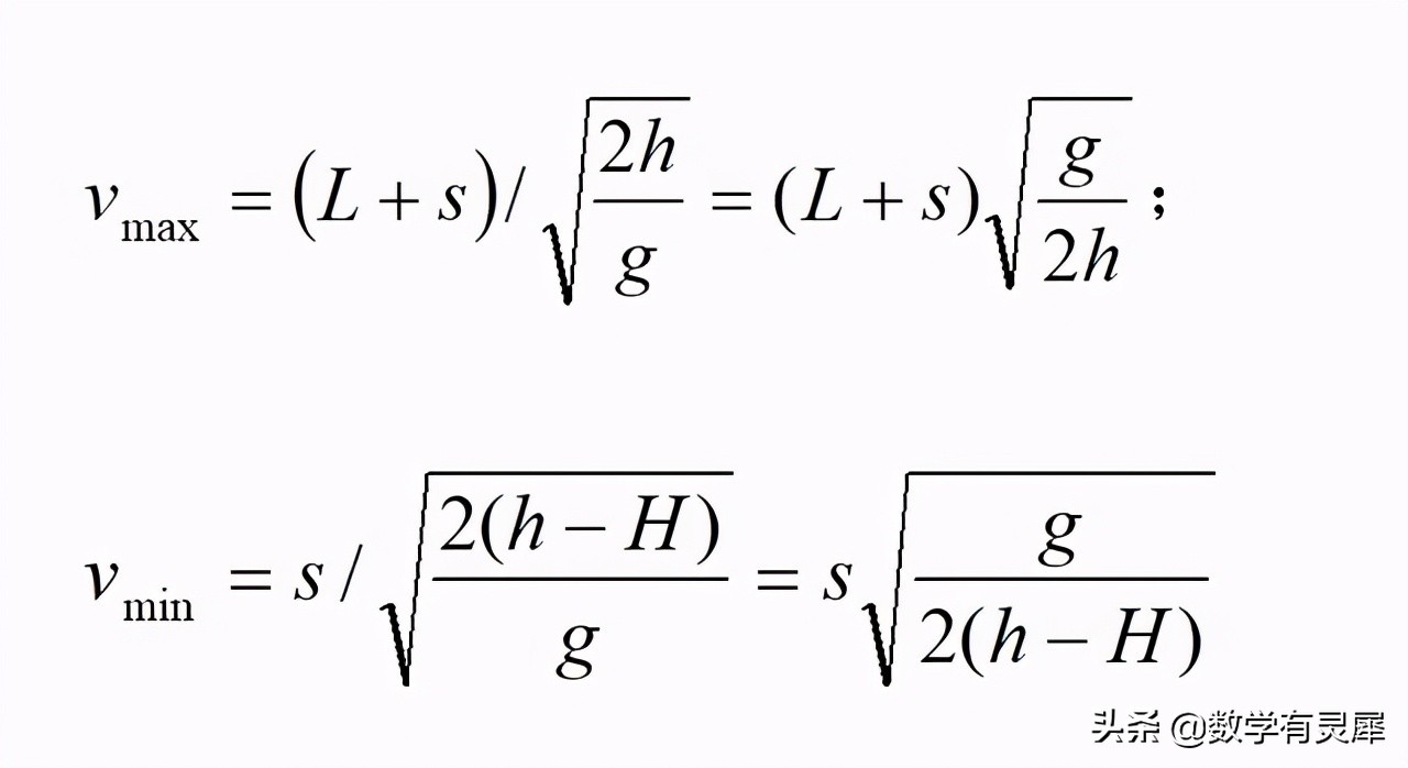
例1 在排球运动中,为了使从某一位置和某一高度水平扣出的球既不触网、又不出界,扣球速度的取值范围应是多少? 已知网高 H ,半场长 L ,扣球点高 h ,扣球点离网水平距离 s 、求:水平扣球速度 v 的取值范围。

解析:假设运动员用速度Vmax扣球时,球刚好不会出界,用速度Vmin扣球时,球刚好不触网,从图中数量关系可得:

实际扣球速度应在这两个值之间。

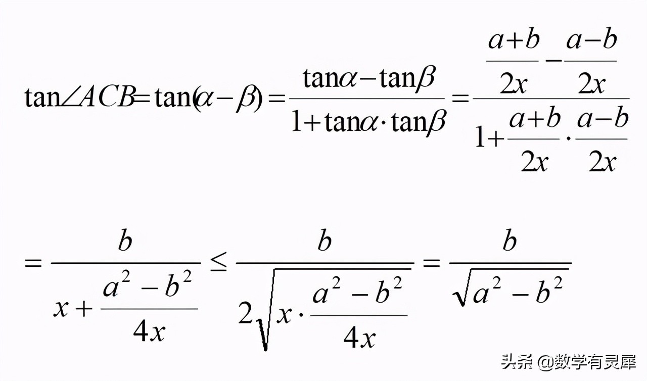
例2 如图,足球比赛场地的宽为a米,球门宽为b米,在足球比赛中,甲方边锋从乙方球门附近带球过人,沿直线l(贴近球场边线)向前推进,试问,该边锋在距离乙底线多远时起脚射门的命中角最大?(注:图1中AB表示乙所守球门,AB所在直线为乙方底线,l表示甲方边锋前进的直线)

剖析:以l与直线AB的交点D为原点,l为X轴,DA为Y轴,建立如图2所示的直角坐标系,设AB中点为M,则
DA=DM+MA=a/2 +b/2=(a+b)/2;
DB=DM-BM=a/2 - b/2=(a-b)/2;
设动点C(边锋起脚处)的坐标为(x,0), x>0。∠ACO=α, ∠ACO= β;
则α,β∈(0,π/2),

由于正切函数在(0,π/2),上是增函数,


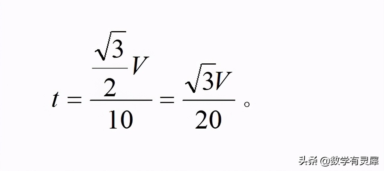
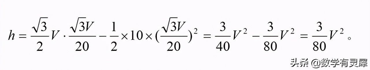
例3. 如图,一位运动员在距篮下4米跳起投篮,球出手时离地面2米,速度为仰角60°,球做斜上抛运动,篮框距地面3.2米,问出手时速度为多少时刚好投进去。
(设重力加速度g=10,其他风阻力忽略不计)

剖析: 球出手后做初速度为V的斜上抛运动,

水平方向考虑: 从球出手至进篮的时间t=水平位移÷水平速度,
即t=4÷(V/2)=8/V。
竖直方向考虑: 到最高位置时需

设球出手时位置到最高位置的相对高度为h,

故从最高位置A到篮筐的相对高度

故从竖直方向考察从球出手到进篮框所需时间:

评价:此题以篮球运动为背景创设问题情景,借助物理中的上抛运动这一知识点来构建方程求解。

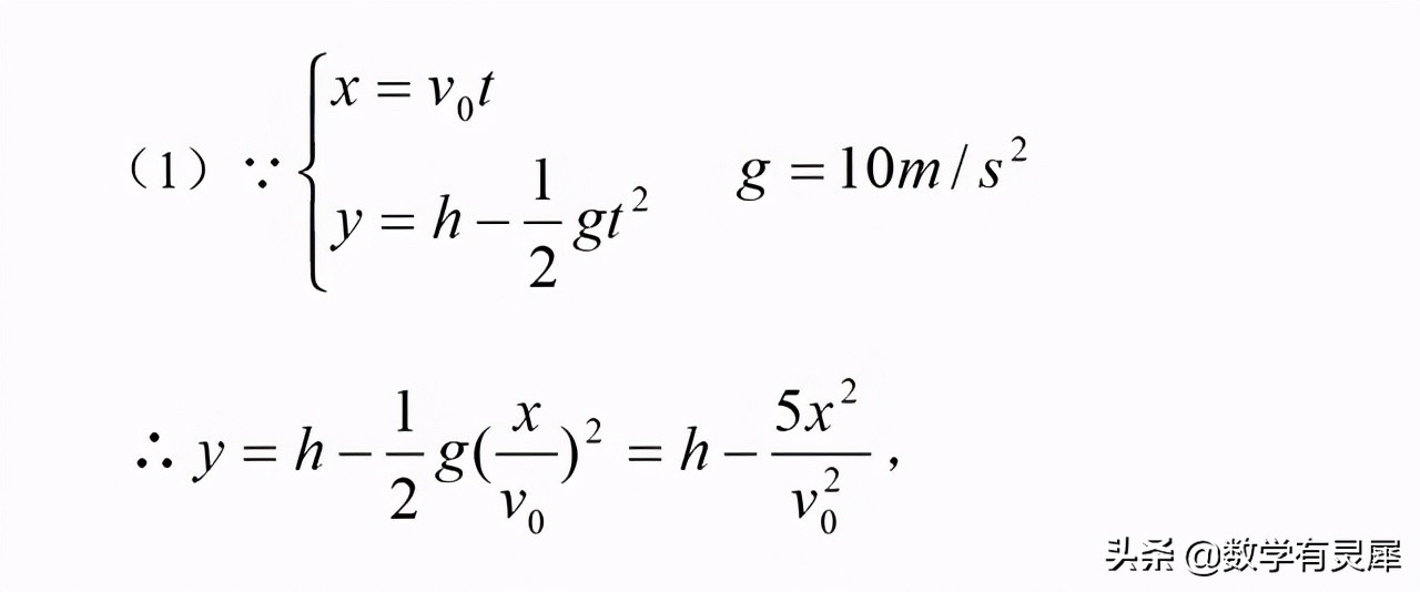
例4. 排球场总长度为18m,网高为2m,运动员站在离网3m远的O处,面对球网竖直跳起,将球向正前方水平击出,设排球在运动过程中与地面的距离为y,离开击球点的总的水平距离为x,若击球点A的高度为h,运动员将排球向前击出的速度为v0(m/s, 不计空气阻力,取重力加速度g=10m/s^2)。
提示:平抛运动规律为:

(1)在不触网的情况下,将y表示为x的函数;
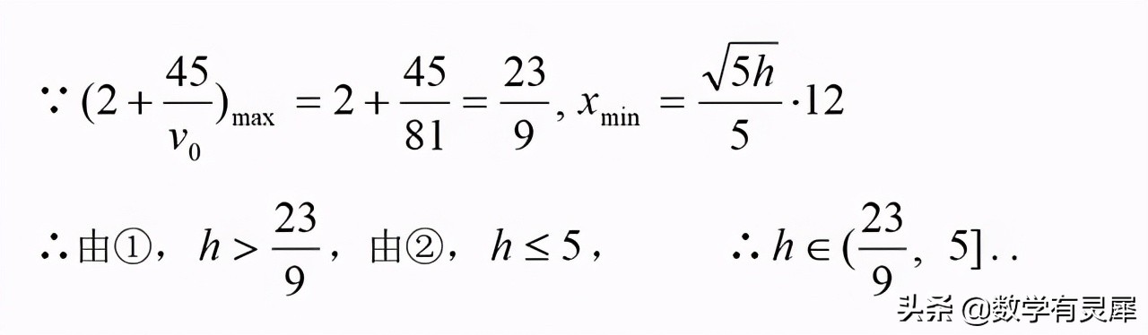
(2)试问h在什么范围内变化时,对于任意v0∈[9,12],排球能既不触网也不出边界?
解:

∵不触网 ∴x=3时,y>2。

(2): 由(1)的结论

对于任意v0∈[9,12],排球能够既不触网又不出界即对于任意v0∈[9,12],①、②要恒成立.

这次分享结束,欢迎留言、收藏、分享、关注!
