本文选自《物理》2014年第4、6、9、11期,2015年第1、3期。
不管学哪个行业,大概都听说过奇妙的量子现象。诸如测不准原理 [1]、薛定谔的猫 [2]之类,在日常生活中看起来匪夷所思的现象,却是千真万确存在于微观的量子世界中。
许多人将听起来有些诡异的量子理论视为天书,从而敬而远之。有人感叹说:“量子力学,太不可思议了,不懂啊,晕!”不懂量子力学,听了就晕,那是非常正常的反应。听听诺贝尔物理学奖得主、大物理学家费曼的名言吧。费曼说:“我想我可以有把握地讲,没有人懂量子力学![3] ”量子论的另一创始人玻尔 (Niels Bohr) 也说过:“如果谁不为量子论而感到困惑,那他就是没有理解量子论[4]。”既然连费曼和玻尔都这样说,我等就更不敢吹牛了。因此,我们暂时不要奢望“懂得”量子力学。此一系列文章的目的是让我们能够多了解、多认识一些量子力学。也许不能“走进”,但却能“走近”。因为量子力学虽然神秘,却是科学史上最为精确地被实验检验了的理论,量子力学经历了100 多年的艰难历史,发展至今,可说是到达了人类智力征程上的最高成就。身为现代人,如果不曾了解一点点量子力学,就如同没有上过因特网,没有写过邮件一样,可算是人生的一大遗憾。
刚才提及量子现象时,说到了“薛定谔的猫”,我们的讨论可由此开始。

奥地利物理学家薛定谔, 出生于 1887 年
薛定谔 (E. Schrödinger,1887—1961) 是奥地利著名物理学家、量子力学的创始人之一,曾获 1933 年诺贝尔物理学奖。在量子力学中,有一个最基本的描述原子、电子等微观粒子运动的薛定谔方程,就是以他而命名的。薛定谔生于维也纳,死于维也纳,但死后如愿被葬于阿尔卑巴赫 (Alpbach) 村,一个风景优美的小山村中。他的墓碑上刻着一个大大的量子力学中波函数的符号 ψ ,而在他曾经就学的维也纳大学主楼里,有一座薛定谔的胸像,那上面雕刻着著名的薛定谔方程
“薛定谔的猫” 又是什么呢?它不是薛定谔家里的猫,而是薛定谔在一篇论文中提出的一个佯谬,也被称为“薛定谔佯谬”。薛定谔虽然创立了薛定谔方程,却非常不满意正统的哥本哈根诠释对波函数及叠加态的几率解释。于是,薛定谔便设计了一个思想实验,在这个实验中,他把量子力学中的反直观效果转嫁到日常生活中的事物上来,也就是说,转嫁到“猫”的身上,如此而导致了一个荒谬的结论。薛定谔想以此来嘲笑对手。
叠加态
既然“薛定谔的猫”与叠加态有关,那么,首先我们需要了解,什么是叠加态?根据我们的日常经验,一个物体在某一时刻总会处于某个固定的状态。比如我说,女儿现在“在客厅”里,或是说,女儿现在“在房间”里。要么在客厅,要么在房间,这两种状态,必居其一。这种说法再清楚不过了。然而,在微观的量子世界中,情况却有所不同。微观粒子可以处于一种所谓叠加态的状态,这种叠加状态是不确定的。例如,电子有“上”、“下”两种自旋本征态,犹如女孩可以“在”和“不在”房间。但不同之处是,女孩只能“在”或“不在”,电子却可以同时是“上”和“下”。也就是说,电子既是“上”,又是“ 下”。电子的自旋状态是“上”和“下”按一定几率的叠加。物理学家们把电子的这种混合状态,叫做叠加态。
总结一下,什么是叠加态呢?就好比是说,女儿“既在客厅,又在房间”,这种日常生活中听起来逻辑混乱的说法,却是量子力学中粒子所遵循的根本之道,不是很奇怪吗?聪明的读者会说:“女儿此刻‘在客厅’或‘在房间’,同时打开客厅和房间的门,看一眼就清楚了。电子自旋是上,或是下,测量一下不就知道了吗?” 说得没错,但奇怪的是,当我们对电子的状态进行测量时,电子的叠加态不复存在,它的自旋坍缩到“上”,或是“下”,两个本征状态的其中之一。听起来好像和我们日常生活经验差不多嘛!但是,请等一等!我们说的微观行为与宏观行为之不同,是在于观测之前。即使父母不去看,女儿在客厅或房间,已成事实,并不以“看”或“不看”而转移。而微观电子就不一样了:在观察之前的状态,并无定论,是“既是……,又是……”的叠加状态,直到我们去测量它,叠加状态才坍缩成一个确定的状态(本征态)。这是微观世界中量子叠加态的奇妙特点。
尽管量子现象显得如此神秘,量子力学的结论却早已在诸多方面被实验证实,被学术界接受,在各行各业还得到各种应用,量子物理学对我们现代日常生活的影响无比巨大。以其为基础产生的电子学革命及光学革命将我们带入了如今的计算机信息时代。可以说,没有量子力学,就不会有今天所谓的高科技产业。
如何解释量子力学的基本理论,仍然是见仁见智,莫衷一是。这点也曾经深深地困扰着它的创立者们,包括伟大的爱因斯坦。微观叠加态的特点与宏观规律如此不同,物理学家(例如薛定谔)也想不通。于是,薛定谔在1935 年发表了一篇论文,题为《量子力学的现状》,在论文的第5 节,薛定谔编出了一个“薛定谔的猫”的理想实验,试图将微观不确定性变为宏观不确定性,微观的迷惑变为宏观的佯谬,以引起大家的注意。果不其然!物理学家们对此佯谬一直众说纷纭、争论至今。
著名的薛定谔的猫

薛定谔假想“薛定谔的猫”实验
以下是“薛定谔的猫”的实验描述:把一只猫放进一个封闭的盒子里,然后把这个盒子连接到一个装置,其中包含一个原子核和毒气设施。设想这个原子核有 50% 的可能性发生衰变。衰变时发射出一个粒子,这个粒子将会触发毒气设施,从而杀死这只猫。根据量子力学的原理,未进行观察时,这个原子核处于已衰变和未衰变的叠加态,因此,那只可怜的猫就应该相应地处于“死”和“活”的叠加态。非死非活,又死又活,状态不确定,直到有人打开盒子观测它。
实验中的猫,可类比于微观世界的电子(或原子)。在量子理论中,电子可以不处于一个固定的状态(上或下),而是同时处于两种状态的叠加(上和下)。如果把叠加态的概念用于猫的话,那就是说,处于叠加态的猫是半死不活、又死又活的。
量子理论认为:如果没有揭开盖子,进行观察,薛定谔的猫的状态是“死”与“活”的叠加。此猫将永远处于同时是死又是活的叠加态。这与我们的日常经验严重相违。一只猫,要么死,要么活,怎么可能不死不活、半死半活呢?别小看这一个听起来似乎荒谬的物理思想实验(Gedankenexperiment,想象的实验)。它不仅在物理学方面极具意义,在哲学方面也引申了很多的思考。
谈到哲学,聪明的读者又要笑了,因为在古代哲学思想中,不乏这种似是而非、模棱两可的说法。这不就是辩证法的思想吗?你中有我,我中有你,一就是二,二就是一,合二而一,天人合一,等等,如此而已。此话不假,因此才有人如此来比喻“薛定谔的猫”:男女在开始恋爱前,不知道结果是好或者不好,这时,可以将恋爱结果看成好与不好的混合叠加状态。如果你想知道结果,唯一的方法是去试试看,但是,只要你试过,你就已经改变了原来的结果了!
无论从人文科学的角度如何来诠释和理解“薛定谔的猫”,人们仍然觉得量子理论听起来有些诡异。有读者可能会说:“你拉扯了半天,我仍然不懂量子力学啊!”还好,刚才我们已经给读者打了预防针,不是吗?没有人懂量子力学,包括薛定谔自己在内!薛定谔的本意是要用“薛定谔的猫”这个实验的荒谬结果,来嘲笑哥本哈根学派对量子力学、对薛定谔方程引进的“波函数”概念的几率解释,但实际上,这个假想实验使薛定谔站到了自己奠基的理论的对立面上,难怪有物理学家调侃地说到:“薛定谔不懂薛定谔方程!”
不止量子
薛定谔不仅对量子力学有巨大的贡献,他还写过一本生物学方面的书和许多科普文章。1944年,他出版了《生命是什么》[5]一书。此书中薛定谔自己发展了分子生物学, 提出了负熵的概念,他想通过物理的语言来描述生物学中的课题。之后发现了DNA 双螺旋结构的瓦森 (James D. Watson) 与克里克 (Francis Crick) 都表示曾经深受薛定谔这本书的影响。
据说薛定谔在科学上的这些成就与他的私生活还有着紧密的联系。薛定谔应该具有超凡的个人魅力, 一生风流倜傥, 女友无数。他的风流故事甚至诱发了现代舞台剧编导、纽约剧作家马修韦尔斯的灵感,写出了一部名为《薛定谔的女朋友》的舞台剧。

舞台剧《薛定谔的女朋友》演出时的剧照 (左) 和海报(右)
这部舞台剧是关于爱、性和量子物理学的另类浪漫喜剧。剧中的女主人公是位很不一般的神秘女人,正是她极大地激发了薛定谔的灵感,使得他在之后的一年内,接连不断地发表了六篇关于量子力学的主要论文, 并提出了著名的薛定谔方程。因此,在享受量子力学带给我们辉煌灿烂的科技成果的今天,我们或许也应该感谢这位神秘女郎的贡献。
薛定谔在《生命是什么》一书中也认真探讨过男女关系,认为女人是红色,男人是紫色,男人创造的灵感来自于女人。也许这是薛定谔当年的真实感受,也由此而传为美谈。但如今我们从物理学和历史的角度来看待这个问题,薛定谔 1926 年奠定了量子力学基础的几篇论文,是建立在雄厚的经典力学和数学基础之上的,绝不可能仅仅是某个神秘女友激发了薛定谔天才的想象力和灵感的结果。
争论和思考
综上所述,薛定谔建立了微观世界中粒子的波函数所遵循的薛定谔方程。但后来,薛定谔不同意哥本哈根派对波函数的解释,因而设计了“薛定谔的猫”的思想实验。用薛定谔自己的话来说,他要用这个恶魔般的装置让人们闻之色变。薛定谔说:“看吧,如果你们将波函数解释成粒子的几率波的话,就会导致一个既死又活的猫的荒谬结论。因此,几率波的说法是站不住脚的!”

叠加态引发的思考
这只猫的确令人毛骨悚然,相关的争论一直持续到今天。连当今伟大的物理学家霍金也曾经愤愤地说:“ 当我听说薛定谔的猫的时候,我就想跑去拿枪,干脆一枪把猫打死![6]”
在宏观世界中,既死又活的猫不可能存在,但许多实验都已经证实了微观世界中叠加态的存在。总之,通过“薛定谔的猫”,我们认识了叠加态,以及被测量时叠加态的坍缩。叠加态的存在,是量子力学最大的奥秘,是量子现象给人以神秘感的根源,是我们了解量子力学的关键。
量子论的大论战
现在,让我们再回到玻尔和爱因斯坦有关量子理论的争论——以下简称为“玻爱之争”。
两人都是伟大的物理学家,对量子理论的发展都做出了杰出的贡献。分别因为解决光电效应问题和量子化原子模型而获得 1921 年、1922 年的诺贝尔物理学奖。爱因斯坦和玻尔的争论主要是有关量子力学的理论基础及哲学思想方面。实际上,也正因为这两位大师的不断论战,量子力学才在辩论中发展成熟起来。爱因斯坦一直对量子论及玻尔一派的解释持怀疑态度,他提出了一个又一个的思想实验,企图证明量子论及正统诠释的不完备性和荒谬性,直到他们逝世之后,这场论战仍在物理学界继续进行。但遗憾的是,直到目前为止,每次的实验结果似乎并没有站在爱因斯坦这位伟人这边。
这场有关量子论的大论战搅得它的创立者们夜不能寐、寝食难安,当年在世的物理学家几乎全都被牵扯其中。学术界的纷争能促进学术的进步,但也能损害学者们的生理和心理健康,甚至还有物理学家因此而自杀的。
1906 年,著名的奥地利物理学家玻尔兹曼在意大利度假的旅店里上吊自杀。玻尔兹曼性格孤僻内向,关注他的“原子论”的基础,厌烦马赫等不同见解者的诘难。尽管这场论战与量子论之争拉不上多少关系,并且最后是以玻尔兹曼的取胜而告终。但是,长长的辩论过程使玻尔兹曼精神烦躁,不能自拔,痛苦与日俱增,最后只能用自杀来解脱心中的一切烦恼。玻耳兹曼的死使学者们震惊,也在一定程度上影响了荷兰物理学家埃伦费斯特 (Paul Ehrenfest,1880—1933)。后者曾经师从玻耳兹曼,是爱因斯坦的好友,其“浸渐假说”与玻尔的对应原理,是在经典物理学和量子力学之间架起的两座桥梁。埃伦费斯特于 1933 年 9 月25 日饮弹自尽,他的死震动了物理界。
第一次交锋
玻爱两人的第一次交锋是 1927 年的第五届索尔维会议。那可能算是一场前无古人后无来者的物理学界群英会。在这次会议的历史照片中,列出来的鼎鼎大名使你不能不吃惊。在这次与会的 29 人中,有 17人获得了诺贝尔物理学奖。

1927年第五届索尔维会议照片 (来自网络)
索尔维是一位对科学感兴趣的实业家,因发明了一种制碱法而致富。据说索尔维财大气粗后自信心倍增,发明了一种与物理实验和理论都扯不上关系的有关引力和物质的荒谬理论。尽管物理学家们对他的理论不屑一顾,但对他所举办的学术会议却是趋之若鹜。因此,当年那几届索尔维会议就变成了量子论的大型研讨会,也就是玻爱之争的重要战场。玻爱之争有三个回合值得一提,前两次起始于 1927 年和 1930 年的索尔维会议,第三次则是第七届索尔维会议后的 1935 年。
「上帝不掷*子骰**」
爱因斯坦对量子论的质疑要点有三个方面,也就是爱因斯坦始终坚持的经典哲学思想和因果观念:一个完备的物理理论应该具有确定性、实在性和局域性。
爱因斯坦认为,量子论中的海森伯原理违背了确定性。根据海森伯的测不准原理,一对共轭变量(比如:动量和位置,能量和时间)是不能同时准确测量的:当准确测定一个粒子在此刻的速度时,就无法测准其在此刻的位置;如果要想准确测定位置,就不可能准确地测量速度。因此他说:“上帝不掷*子骰**!”
这儿所谓的“上帝掷*子骰**”,不同于人掷*子骰**。在当今的科学技术领域中,统计学和概率学是常用的数学工具。人们应用统计方法来预测气候的变化,股市的走向,物种的繁衍,人心的向背。几乎在各门学科中,都离不开“概率”这个词。然而,我们在这些情况下应用概率的规律,是由于我们掌握的信息不够,或者是没有必要知道那么多。比如说,当人向上丢出一枚硬币,再用手接住时,硬币的朝向似乎是随机的,可能朝上,可能朝下。但这种随机性是因为硬币运动不易控制,从而使我们不了解硬币从手中飞出去时的详细信息。如果我们对硬币飞出时的受力情况知道得一清二楚,就完全可以预知它掉下来时的方向,因为硬币实际上遵从的是完全确定的宏观力学规律。而量子论不同于此,量子论中的随机性是本质的。换句话说:人掷*子骰**,是外表的或然;上帝掷*子骰**,是本质的或然。
所谓实在性,则类似于我们熟知的唯物主义,认为物质世界的存在不依赖于观察手段。月亮实实在在地挂在天上,不管我们看它还是不看它。局域性的意思则是说,在互相远离的两个地点,不可能有瞬时的超距作用。
各路英雄纷纷亮相
1927年10 月,那是布鲁塞尔鲜花盛开、红叶飘零的季节,著名的第五届索尔维会议在此召开。这次会议群贤毕至,济济一堂。我们似乎从这张老照片众多闪光的名字中,看到了量子论两大派别各路英雄一个个生动的形象:每个人都身怀特技,带着自己的独门法宝,斗志昂扬、精神抖擞,应邀而来。
玻尔高举着他的“ 氢原子模型”,玻恩口口声声念叨着“ 概率”,德布罗意骑着他的“波”,康普顿西装上印着“效应”二字,狄拉克夹着一个“算符”,薛定谔挎着他的“方程”,身后还藏了一只不死不活的“猫”,布拉格手提“晶体结构”模型,海森伯和他的同窗好友泡利形影不离,两人分别握着“测不准原理”和“不相容原理”,埃伦费斯特也紧握他的“浸渐原理”大招牌。
最后登场的爱因斯坦,当时四十多岁,还没有修成像后来那种一头白发乱飘的仙风道骨形象。不过,他举着划时代的两面相对论大旗,头顶光电效应的光环。因此,他洋洋洒洒跨辈份地坐到了第一排老一辈无产阶级革命家的中间。那儿有一位德高望重的白发老太太,镭和钋的发现者居里夫人。另外,我们还看到了好些别的大师们的丰功伟绩:洛伦兹的“变换”、普朗克的“常数”、朗之万的“原子论”、威耳逊的“云雾室”,等等。
尽管人人都身怀绝技,各自都有不同的独门功夫,但大家心中都藏着一个谜团——对于他们共同哺育而发展壮大起来的新理论——量子力学,应该如何解释和诠释呢?诸位大师们对此莫衷一是,众说纷纭。
两派人马旗鼓相当:玻尔的哥本哈根学派人数多一些,但爱因斯坦这边有薛定谔和德布罗意,三个重量级人物,不可小觑。
最后,就正式会议来说,这是量子论一次异常成功的大会,玻尔掌门的哥本哈根派和它对量子论的解释大获全胜。闭幕式上,爱因斯坦一直在旁边按兵不动,沉默*坐静**,直到玻尔结束了关于“互补原理”的演讲后,他才突然发动攻势:“很抱歉,我没有深入研究过量子力学,不过,我还是愿意谈谈一般性的看法。”然后,爱因斯坦用一个关于α 射线粒子的例子表示了对玻尔等学者发言的质疑,不过,他当时的发言相当温和。但是,在正式会议结束之后几天的讨论中,*药火**味就要浓多了。根据海森伯的回忆,常常是在早餐的时候,爱因斯坦设想出一个巧妙的思想实验,以为可以难倒玻尔,但到了晚餐桌上,玻尔就想出了招数,一次又一次化解了爱因斯坦的攻势。当然,到最后,谁也没有说服谁。
第二个回合
1930 年秋,第六届索尔维会议在布鲁塞尔召开。早有准备的爱因斯坦在会上向玻尔提出了他的著名的思想实验——“光子盒”。实验的装置是一个一侧有一个小洞的盒子,洞口有一块挡板,里面放了一只能控制挡板开关的机械钟。小盒里装有一定数量的辐射物质。这只钟能在某一时刻将小洞打开,放出一个光子来。这样,它跑出的时间就可精确地测量出来了。同时,小盒悬挂在弹簧秤上,小盒所减少的质量,也即光子的质量便可测得,然后利用质能关系 E=mc2便可得到能量的损失。这样,时间和能量都同时测准了,由此可以说明测不准关系是不成立的,玻尔一派的观点是不对的。

光子盒实验装置剖面图
描述完了他的光子盒实验后,爱因斯坦看着哑口无言、搔头抓耳的玻尔,心中暗暗得意。不想好梦不长,只过了一个夜晚,第二天,玻尔居然“以其人之道,还治其人之身”,找到了一段最精彩的说辞,用爱因斯坦自己的广义相对论理论,戏剧性地指出了爱因斯坦这一思想实验的缺陷。
光子跑出后,挂在弹簧秤上的小盒质量变轻即会上移,根据广义相对论,如果时钟沿重力方向发生位移,它的快慢会发生变化,这样的话,那个小盒里机械钟读出的时间就会因为这个光子的跑出而有所改变。换言之,用这种装置,如果要测定光子的能量,就不能够精确控制光子逸出的时刻。因此,玻尔居然用广义相对论理论中的红移公式,推出了能量和时间遵循的测不准关系!
无论如何,尽管爱因斯坦当时被回击得目瞪口呆,却仍然没有被说服。不过,他自此之后,不得不有所退让,承认了玻尔对量子力学的解释不存在逻辑上的缺陷。“量子论也许是自洽的”,他说,“但却至少是不完备的”。因为他认为,一个完备的物理理论应该具有确定性、实在性和局域性!
玻尔虽然机敏地用广义相对论的理论回击了爱因斯坦“光子盒”模型的挑战,自己心中却仍然不是十分踏实,自觉辩论中有些投机取巧的嫌疑!从经典的广义相对论出发,是应该不可能得到量子力学测不准原理的,这其中许多疑问仍然有待澄清。况且,谁知道爱因斯坦下一次又会想出些什么新花招呢?玻尔口中不停地念着:“爱因斯坦,爱因斯坦……爱因斯坦,爱因斯坦……”,心中无比感慨。玻尔对这第二个回合的论战始终耿耿于怀,直到1962年去世。据说,他的工作室黑板上还一直留着当年爱因斯坦那个光子盒的图。
第三次论战
玻爱之争的第三个回合,就到了 1935 年,这场论战达到了它的顶峰。这就是我们下一篇要讲到的 EPR 佯谬,它将引领我们进入本文的主题:量子纠缠。
玻尔和爱因斯坦的第三次争论,本来应该发生在 1933 年的第七届索尔维会议上。但是,爱因斯坦未能出席这次会议,他被纳粹赶出了欧洲,刚刚风尘仆仆地到达美国,被聘为普林斯顿高等研究院教授。德布罗意和薛定谔出席了会议,但薛定谔没见到爱因斯坦暂时不想发言,德布罗意也不想单独与人辩论。这令玻尔大大松了一口气,会议上哥本哈根派唱独角戏,看起来量子论已经根基牢靠,论战似乎尘埃落定。
然而,爱因斯坦毕竟是个伟人,不是那么容易服输的。尽管他当时因战争而流离失所,未能参加索尔维会议,尽管到普林斯顿之后他的妻子身染重病,到了知天命年龄的爱因斯坦,仍然十分关注量子力学的进展,并更加深入地思考量子理论涉及的哲学问题。
笔者的老师和论文委员会成员之一的约翰·惠勒 (John Archibald Wheeler),曾经在一次聚会上,对笔者说过一段有关爱因斯坦的故事:1948 年,普林斯顿的费曼在惠勒的指导下,完成了他的博士论文,他以惠勒早期的一个想法为基础,开创了用路径积分来表述量子力学的方法。当年,惠勒曾经将费曼的论文交给爱因斯坦看,并对爱因斯坦说:“ 这个工作不错,对吧?” 又问爱因斯坦:“现在,你该相信量子论的正确性了吧!” 爱因斯坦沉思了好一会儿,脸色有些灰暗,怏怏不快地说:“也许我有些什么地方弄错了。不过,我仍旧不相信老头子 (上帝) 会掷*子骰**!”
EPR 佯谬
再回到玻尔和爱因斯坦的第三次论战。当年的爱因斯坦,初来乍到普林斯顿,语言尚且生疏,生活不甚顺畅,因此,他不堪孤身独战,找了两个合作者,构成了一个被物理学家们称为不是十分恰当的组合。Boris Podolsky 和Nathan Rosen 是爱因斯坦在普林斯顿高等研究院的助手。1935 年3 月,Physics Review 杂志上发表了他们和爱因斯坦共同署名的 EPR 论文。文章中描述了一个佯谬,之后,人们就以署名的三位物理学家名字的第一个字母命名,称为“EPR佯谬” [7]。
爱因斯坦等人在文中构想了一个思想实验,意为在现实中无法做,或难以做到,而使用想象力进行的实验。EPR 原文中使用粒子的坐标和动量来描述由此思想实验而导致的所谓 EPR 佯谬,其数学表述非常复杂。后来,博姆用电子自旋来描述,就简洁易懂多了。EPR 论文中涉及到“量子纠缠态”的概念。这个名词当时还尚未被爱因斯坦等3 位作者采用。“纠缠”的名字是薛定谔在 EPR 论文之后不久,得意洋洋地牵出他那只可怖的猫时候,第一次提到的[8]。因此,我们首先解释一下,何谓量子纠缠态?
量子纠缠态
读者应该还记得我们解释过的“量子叠加态”。叠加态这个概念一直贯穿本文中,从薛定谔的猫,到双缝实验中似乎同时通过两条缝的单个电子,不都是这个匪夷所思的“叠加态”在作怪吗?不过,之前对叠加态的解释,都是针对一个粒子而言的。如果把叠加态的概念用于两个以上粒子的系统,就更产生出来一些怪之又怪的现象,那些古怪行为的专利,就该归功于既叠加又纠缠的“量子纠缠态”。
比如,我们考虑一个两粒子的量子系统。两个粒子组成的系统,不外乎两种情况:一种是两个粒子互不干扰和耦合,各自遵循自已的规律。这种情况下,整个系统的状态可以写成两个粒子的状态的乘积。而每个粒子的状态,一般来说,就自旋而言,是自旋 |上> 和自旋 |下> 按一定概率分布构成的叠加态。这种情况下的系统,可看作是由两个独立的单粒子组成,除了分别都具有叠加态的性质之外,没有产生什么有意思的新东西。另一类情况则非常有意思,那就是当两个粒子互相关联,整个系统的状态无法写成两个粒子状态乘积的时候。我们借用“纠缠”这个词来描述两个粒子之间的互相关联。也就是说,这种情形下,两个粒子的叠加态“互相纠缠”在一起,使得测量结果互相影响,即使是当两个粒子分开到很远很远的距离之时,这种似乎能瞬间互相影响的“纠缠”照样存在。
何谓 EPR?
爱因斯坦等三人在他们提出的思想实验中,描述了一个不稳定的大粒子衰变成两个小粒子 (A 和B) 的情况,两个小粒子分别向相反的两个方向飞出去。假设粒子有两种可能的自旋,分别是 |上> 和 |下>,那么,如果粒子 A 的自旋为 |上>,粒子 B 的自旋便一定是 |下>,才能保持总体守恒,反之亦然。这时我们说,这两个粒子构成了量子纠缠态。
两个粒子 A 和 B 朝相反方向飞奔,它们相距越来越远,越来越远……。根据守恒定律,无论相距多远,它们应该永远是 |上>|下> 关联的。两边分别由观察者 Alice 和 Bob 对两个粒子进行测量。根据量子力学的说法,只要Alice 和Bob 还没有进行测量,每一个粒子都应该处于某种叠加态,比如说,|上>、|下> 各为 50% 概率的叠加态。然后,如果 Alice 对 A 进行测量,A 的叠加态便在一瞬间坍缩了,比如,坍缩成了 |上>。现在,问题就来了:既然 Alice 已经测量到 A 为 |上>,因为守恒的缘故,B 就一定要为 |下>。
但是,此时的 A 和 B 之间已经相隔非常遥远,比如说几万光年吧,按照量子力学的理论,B 也应该是|上>和|下>各一半的概率,为什么它能够做到总是选择|下>呢?除非A 粒子和B粒子之间有某种方式及时地“互通消息”?即使假设它们能够互相感知,那也似乎是一种超距瞬时的信号!而这超距作用又是现有的物理知识不容许的。于是,这就构成了佯谬。因此,EPR 的作者们洋洋得意地得出结论:玻尔等人对量子论的几率解释是站不住脚的。
爱因斯坦最得意的时刻,莫过于难倒了玻尔这个老朋友!他洋洋自得地倒在躺椅上,双脚架在前方的矮茶几上,将左手握的烟斗叼在口里,瞪着一对孩童般天真的大眼睛,像是不经意地望着身旁略显困惑的玻尔。

玻尔和爱因斯坦 (摄于1925 年)
两派不同的哲学
不过,此一时彼一时!这时的玻尔,已经知己知彼、老谋深算。他深思熟虑之后,很快就明白了,立刻上阵应战。玻尔知道,爱因斯坦的思路完全是经典的。爱因斯坦总是认为有一个离开观测手段而存在的实在世界。这个世界图像是和玻尔代表的哥本哈根派的“观测手段影响结果”的观点完全不一致的。玻尔认为,微观的实在世界,只有和观测手段连起来讲才有意义。在观测之前,谈及每个粒子的自旋是 |上> 或 |下> 没有任何意义。另一方面,因为两个粒子形成了一个互相纠缠的整体,只有波函数描述的整体才有意义,不能将其视为相隔甚远的两个分体,既然只是协调相关的一体,它们之间无需传递什么信息!因此,EPR 佯谬只不过是表明了两派哲学观的差别:爱因斯坦的“经典局域实在观”和玻尔一派的“量子非局域实在观”的根本区别。
当然,哲学观的不同是根深蒂固、难以改变的。爱因斯坦绝对接受不了玻尔的这种古怪的说法,即使在之后的二三十年中,玻尔的理论占了上风,量子论如日中天,它的各个分支高速发展,给人类社会带来了伟大的技术革命,爱因斯坦仍然固执地坚持他的经典信念,反对哥本哈根对量子论的诠释。
纠缠的*子骰**

纠缠的*子骰**
为了加深对纠缠态的理解,我们再用上图所示的掷*子骰**的例子进一步说明两个粒子的“纠缠”。纠缠着的粒子,就像上图机器中发射出来的*子骰**。这儿用*子骰**来比喻叠加态中的粒子。我们这个能发射成对*子骰**的机器很特别,这些成对的*子骰**分别朝两条路 (这儿所谓的“路”到底是什么,铁管?空气?我们也不予考究) 射出去,互相分开越来越远;并且,每个*子骰**在其各自的路径上不停地随机滚动,它的数值不定,是 1-6 中的一个,每个数值的几率为六分之一。图中也用 Alice 和 Bob 来代表两个不同的观察者,如果 Alice 和 Bob 在相距很远的地方分别观察这两路*子骰**,会得到什么结果呢?
首先,他们如果只看自已这一边的观测数据,每个人都是得到一连串的 1 到 6 之间的随机序列,每个数字出现的几率大约等于六分之一,这丝毫也不令人奇怪,这正是我们单独多次掷一个*子骰**时的经验。但是,当 Alice 和 Bob 将他们两人的观测结果拿到一起来比较的话,就会看出点奇怪之处了:在他们同时观测的那些时间点,两边的*子骰**所显示的结果总是互相关联的 (这种情况下,关联意味着“ 相等”),如果 Alice 看到的结果是 6,Bob 看到的也是 6;如果 Alice 看到的结果是 4,Bob 看到的也是 4……
量子力学中的纠缠态,就和上面例子中的一对*子骰**的情况类似。换言之,量子纠缠态的意思就是,两个粒子的随机行为之间,发生了某种关联。上面例子中的关联是“结果相同”,但实际上也可以是另外一种方式,比如说,两个结果相加等于 7:如果 Alice 看到的结果是 6,Bob 看到的就是1;如果 Alice 看到的结果是 4,Bob 看到的就是3……。只要有某种关联,我们就说这两个粒子互相纠缠。
约翰·惠勒
刚才谈到过的约翰·惠勒,曾经与玻尔和爱因斯坦在一起工作过,被人称为“哥本哈根学派的最后一位大师”。惠勒也是“黑洞”一词的命名者。学物理的也许记得他和他两个学生合写的那部大块头著作:《引力论》(Gravitation)。此书洋洋洒洒 1279 页,拿起来像块大砖头,是一部既学术严谨又风格诙谐的巨著。
惠勒是在 2008 年 96 岁高龄时去世的。难能可贵的是,90 多岁高龄的他还一直在继续思考量子力学中的哲学问题。去世后,人们发现他的本子上还留有 95 岁时写下的物理研究笔记。
惠勒对量子论的贡献非同一般。上世纪 80 年代初期,笔者在德州奥斯汀大学时,有幸与惠勒博士在一起工作,并准备和翻译当时他去中国访问的讲稿,那篇讲稿是基于他的一篇论文 Law without Law ( 没有定律的定律 ),后来,此讲稿由中国科学技术大学的*励之方**编著,1982 年出版,取名为《物理学和质朴性——没有定律的定律》[9]。
也许正是因为在晚年时思考了太多有关量子力学的哲学问题,惠勒在谈话中经常会冒出几句哲理深奥的话语,刚才说的演讲稿的标题就是一例:《没有定律的定律》。此外,他还说过“没有质量的质量”、“没有规律的规律”等意味深长的妙句,发明了“黑洞”、“真子(geon)”、“量子泡沫”等使人遐想联翩的科学名词。记得惠勒曾引用玻尔的话说,“任何一种基本量子现象只在其被记录之后才是一种现象”,其意思正代表了哥本哈根派的观点!
当年的记忆
在笔者 1983 年对惠勒教授的一次访谈中,重视教育的惠勒谈到了玻尔当年的研究所及他个人的一些教育理念[10]。惠勒说:“……早期的玻尔研究所,楼房大小不及一家私人住宅,人员通常只有 5 个,但玻尔却不愧是当时物理学界的先驱,叱咤着量子理论的一代风云。在那儿,各种思想的新颖和活跃,在古今的研究中是罕见的。尤其是每天早晨的讨论会,既有发人深思的真知灼见,也有贻笑大方的狂想谬误,既有严谨的学术报告,也有热烈的自由争论。然而,所谓地位的显赫、名人的威权、家长的说教、门户的偏见,在那斗室之中,却没有任何立足之处”。“没有矛盾和佯谬,就不可能有科学的进步。约丽斑驳的思想火花往往闪现在两个同时并存的矛盾的碰撞切磋之中。因此我们教学生、学科学,就得让学生有‘ 危机感’,学生才觉得有用武之地。否则,学生只看见物理学是一座完美无缺的大厦,问题却没有了,还研究什么呢?从这个意义上来说,不是老师教学生,而是学生‘教’老师。”
“对爱因斯坦来说,古怪的并协性完全不可接受。”谈到玻尔和爱因斯坦的量子力学之争时,惠勒说,“很难再找到其他先例能和这场论战相比拟,它发生在如此伟大的两个人之间,经历了如此长久的时间,涉及如此深奥的问题,却又是在如此真挚的友谊关系之中……”。
延迟选择实验
在《物理学和质朴性》讲稿中,惠勒提到他在 1979 年为纪念爱因斯坦诞辰 100 周年的普林斯顿讨论会上,提出的所谓“延迟选择实验”(delayed choice experiment)。这个“延迟选择实验”,是我们讨论过的“电子双缝干涉”实验的一个令人吃惊的新版本。在新构想中,惠勒戏剧化地将实验稍加改变,便可以使得实验员能在电子已经通过双缝之后,作出“延迟决定”,从而改变电子通过双缝时的历史!惠勒曾经用一个龙图来说明这一点。这个龙图也可以用费曼的路径积分观点来理解:龙的头和尾巴对应于测量时的两个点,在这两点测量的数值是确定的。根据量子力学的路径积分解释,两点之间的关联可以用它们之间的所有路径贡献的总和来计算。因为要考虑所有的路径,因此,龙的身体就将是糊里糊涂的一片。

惠勒想象中的龙图。只有龙头和龙尾这两个观测点是清晰的,其余部分则是一团迷雾
在惠勒的“延迟选择实验”构想提出5 年后,马里兰大学的卡洛尔·阿雷(Carroll O Alley)实现了这个延迟选择实验,其结果和玻尔一派预言的一样,和爱因斯坦的预言相反!后来,慕尼黑大学的一个小组也得到了类似的结果。
惠勒提出“ 延迟选择实验”时,已经到了 1979 年。我们先回到 1964 年。出于捍卫爱因斯坦 EPR 论文的初衷,追寻爱因斯坦之“实在论”之梦,另一位杰出的英国物理学家,约翰·斯图尔特·贝尔 (JohnStewart Bell),带着他的“贝尔不等式”,潇洒登场。
可行的实验方案

John Wheeler
(1984 年笔者摄于美国德克萨斯州立大学奥斯汀分校)
惠勒不仅构想了“延迟选择实验”,也是提出验证光子纠缠态实验的第一人。他在1948 年提出,由正负电子对湮灭生成的一对散射光子应该具有两个不同的自旋,即如果一个是左旋,另一个就应该是右旋。也就是说,这一对光子互相纠缠。一年之后,吴健雄和萨科诺夫成功地完成了这个实验,证实了惠勒的预言,生成了历史上第一对互相纠缠的光子。
物理理论是必须用实验来验证的,这就是为什么诸如玻尔、爱因斯坦、惠勒这些大理论物理学家都非常热衷于提出一个又一个思想实验的原因。量子纠缠态近年来宏图大展,也是以实验中的不断突破为基础。这个突破起始于英国物理学家约翰·斯图尔特·贝尔 (JohnStewart Bell),他用著名的“贝尔不等式”将 EPR 佯谬中的思想实验推进到一个切实可行的物理实验。

图2 John Stewart Bell(图片来自网络http://www.dipankarhome.com/)
贝尔其人
贝尔于 1928 年出生在北爱尔兰的一个工人家庭,那是玻尔和爱因斯坦索尔维会上首次开战后的第二年。也许这是上帝在冥冥之中派来的一个将来能够突破“玻爱世纪之争”僵局的使者吧。小时候的贝尔一头红发,满脸雀斑,为人诚实,聪明好学,长大后则迷上了理论物理。他严谨多思,意志顽强,不屈不饶,敢作敢当,对疑难问题一头扎下去,不弄个水落石出绝不罢休。
然而,量子论的理论研究只是贝尔的业余爱好。他多年供职于欧洲高能物理中心 (CERN),做与加速器设计工程有关的工作,与理论物理,特别是量子论的理论基础的工作,相距甚远。贝尔只能利用业余时间来研究理论物理。正是这一业余研究使贝尔留名于物理史。
EPR 佯谬背后的矛盾
我们再回到玻爱之争的顶峰——EPR 佯谬的问题上来。当时玻尔写文章回击了爱因斯坦等人的质疑,世纪争论似乎平息了,哥本哈根诠释成为量子论的正统解释。再说,既然问题是出在两大巨头不同的哲学观上,便引不起多少人的兴趣了。大多数科学家已经很少关心他们的争执。量子论的成功有目共睹,科技革命的果实每个人都乐于分享,每天早上太阳照样从东方升起,谁也看不见波函数如何坍缩,又有谁管那些微观世界中被理论物理学家们描述得神乎其神的奇怪的量子现象呢?玻尔代表的量子论的正统解释也有其道理,当我们没有去进行量子测量,没有抓住薛定谔的猫之前,讨论这只猫到底是死是活也许没有什么意义。反正只要在进行测量时,能知道它是死的还是活的就行了!
当然,也总有那么一些脑袋停不下来的理论物理学家仍然在冥思苦想这个问题:应该如何解释量子论中诡异的相干性和纠缠性?在此,我们顺便用几句话简单总结一下前几讲中提到过的有关知识。相干性涉及光和粒子的波粒二相性,最简单的例子是双缝干涉实验;纠缠性是 EPR 论文中提出的,涉及多个粒子的量子纠缠态。这是了解量子论诡异性的两个不同层次。
双方的争执为什么三番五次总不能平息?关键问题是:爱因斯坦这边坚持的是一般人都具备的日常生活中得来的经典常识,玻尔一方却更执着于微观世界的观测结果。那么,既然爱因斯坦不同意玻尔的几率解释,有人就总想找出别的解释,既能照顾到爱因斯坦的“经典情结”,又能导出量子论的结论。这其中,支持度较多的有“多世界诠释”和“隐变量诠释”。
多世界诠释
可以再借用薛定谔的猫来简述“多世界诠释”。持这种观点的人认为,两只猫都是真实的。有一只活猫,有一只死猫,但它们位于不同的世界中。当我们向盒子里看时,也就是说进行量子测量的时候,整个世界立刻分裂成它自己的两个版本。这两个版本在其余的各个方面都是全同的。唯一的区别在于,在其中一个版本中,原子衰变了,猫死了;而在另一个版本中,原子没有衰变,猫还活着。

多世界诠释下对薛定谔的猫的解释
惠勒、霍金、费曼、温伯格等都在一定程度上支持过“多世界诠释”。据一些简单的统计调查,支持“多世界诠释”的物理学家似乎越来越多。有人认为,它已经在逐渐代替“哥本哈根诠释”。但是,也有许多物理学家不喜欢它,包括爱因斯坦,有人诙谐地说:“我不能相信,仅仅是因为看了一只老鼠一眼,就使得宇宙发生了剧烈的改变!”的确,量子力学只涉及到微观粒子的问题,要解释它,大可不必牵动整个宇宙!这其中的诡异性,恐怕比“哥本哈根诠释”,有过之而无不及。因此,我们也回避回避,暂时不在这里讨论它。
隐变量诠释
贝尔当初所热衷的,是“隐变量”的问题。
在前面的“玻爱之争”一讲中,我们用掷硬币的例子来说明“上帝掷*子骰**”与“人掷*子骰**”的区别。上抛的硬币,实际上是完全遵循确定的力学规律的,它之所以表现出随机性,是因为我们不了解硬币从手中飞出去时的详细信息。也就是说,我们放弃了一些“隐变量”:硬币飞出时的速度、角速度、方向、加速度……等等。如果忽略外界的影响,把这些隐变量全都计算进去,我们可以说上抛硬币掉回原处时的状态是在离开手掌的那一刻就决定了的!
现在,爱因斯坦等人提出的 EPR 佯谬,是否也是因为我们忽略了某些隐变量的原因呢?贝尔在感情上更偏向爱因斯坦,相信爱因斯坦的观点:既然两个互相纠缠的粒子,当它们被测量仪器观测到的那一刹那,是不可能瞬时超距地传递信息的,那么,它们被测量时候的状态,就应该是在它们产生之时,或者说互相分开的那一刻,就已经决定了。这就和我们掷硬币的情形类似,随机性来源于我们尚未认识的某些隐变量,而不是像玻尔所认为的那样,后来被观测的那一刻,才临时随机选择而坍缩成某个量子态的!因此,贝尔下决心要用实际行动来支持伟人爱因斯坦,要研究这其中潜藏着的隐变量!
冯 · 诺依曼的证明

冯 · 诺依曼 ( 图片来自 Wikipedia )
可是,他一开始就碰到了高手。早在1932 年,冯·诺依曼在他的著作《量子力学的数学基础》中,为量子力学提供了严密的数学基础,其中捎带着做了一个隐变量理论的不可能性证明。他从数学上证明了,在现有量子力学适用的领域里,是找不到隐变量的!
冯·诺依曼何等人物啊!天才神童,计算机之父。这位数学大师一言既出,二十年内量子论的隐变量理论无人问津。还好,当贝尔在60年代碰到这堵高墙的时候,前面已经有人为他开路:美国物理学家戴维·玻姆 (David Bohm)在 50 年代的工作,为冯·诺依曼的隐变量不可能性证明提供了一个实际的反例。而且,玻姆还将原来 EPR 论文中非常复杂的测量位置和动量的实验,简化成了测量“电子自旋”的实验。
顽强的贝尔虽然是“业余”理论物理学家,却有“敢摸老虎屁股”的精神。他仔细研究了冯·诺依曼有关“隐变量不可能性证明”的工作后,找出了大师在数学和物理的交接之处,有一个小小的漏洞。
冯·诺依曼在他的证明中,用了一个假设:“两个可观察量之和的平均值,等于每一个可观察量平均值之和”。但是,贝尔指出,如果这两个观察量互为共轭变量,也就是说,当它们满足量子力学中的不确定性原理的话,这个结论是不正确的。
一点小插曲
这儿可以插入一段有趣的历史。贝尔是在 1964 年才指出冯·诺依曼的错误的。其实,早在 1935 年,有一个鲜为人知的德国女数学家格雷特·赫尔曼 ( Grete Hermann, 1901-1984 ) 就指出了天才数学大师的这点失误。
格雷特·赫尔曼是享有“代数女皇”之称的著名数学家艾米·诺特(Emmy Noether)在哥根廷大学的第一个学生。她早期对量子力学的数学哲学基础作了重要的贡献。1935 年,格雷特在一篇文章中提出对冯·诺依曼有关“隐变量不可能性证明”的驳斥。但遗憾的是,格雷特·赫尔曼的文章长期被忽略。即使贝尔1964 年提出冯·诺依曼有关隐变量问题的错误之后,也没有人想到当年格雷特·赫尔曼的那篇文章。又过了10 年,直到1974 年,格雷特·赫尔曼的原文已经发表了将近四十年之后,才被另一位数学家Max Jammer 发掘出来,为这位默默无闻的数学家正名。由此一事,充分显示了名人威力之强大。

Grete Hermann ( 图片来自 wikipedia )
第二次世界大战开始后,格雷特·赫尔曼积极参与了反纳粹组织的各种活动。后来几十年,她也不再涉猎数学和物理,而将她的人生兴趣转向了政治,此是与主题无关的后话。
帮「倒忙」的贝尔
确认了数学大师的这个小错误之后,贝尔探索隐变量的道路畅通了。于是,他开始构想他的理论,以此来支持他的偶像爱因斯坦,企图将量子物理的图像搬回到经典理论的大厦中!不过,他万万没料到,他最终是帮了爱因斯坦的倒忙,反过来证明了量子力学的正确性!接下来,我们稍微用点简单的数学,扼要地说明贝尔是如何得到他的著名的不等式的。
1963-1964 年,在长期供职于欧洲核子中心 (CERN) 后,约翰·贝尔有机会到美国斯坦福大学访问一年。北加州田园式的风光,四季宜人的气候,附近农庄的葡萄美酒,离得不远的黄金海滩,加之斯坦福大学既宁静深沉又宽松开放的学术气氛,孕育了贝尔的灵感,启发了他对 EPR 佯谬及隐变量理论的深刻思考。
贝尔开始认真考察量子力学能否用局域的隐变量理论来解释。贝尔认为,量子论表面上获得了成功,但其理论基础仍然可能是片面的,如同瞎子摸象,管中窥豹,没有看到更全面、更深层的东西。在量子论的深处,可能有一个隐身人在作怪:那就是隐变量。
根据爱因斯坦的想法,在 EPR 论文中提到的,从一个大粒子分裂成的两个粒子的自旋状态,虽然看起来是随机的,但却可能是在两粒子分离的那一刻 ( 或是之前 ) 就决定好了的。打个比喻说,如同两个同卵双胞胎,他们的基因情况早就决定了,无论后来他 ( 她 ) 们相距多远,总在某些特定的情形下,会作出一些惊人相似的选择,使人误认为他们有第六感,能超距离地心灵相通。但是实际上,是有一串遗传指令隐藏在他们的基因中,暗地里指挥着他们的行动,一旦我们找出了这些指令,双胞胎的“心灵感应”就不再神秘,不再需要用所谓“非局域”的超距作用来解释了。
粒子的自旋
尽管粒子自旋是个很深奥的量子力学概念,并无经典对应物,但粗略地说,我们可以用三维空间的一段矢量来表示粒子的自旋。比如,对 EPR 中的纠缠粒子对 A 和 B 来说,它们的自旋矢量总是处于相反的方向,如下图所示的红色矢量和蓝色矢量。这两个红蓝自旋矢量,在三维空间中可以随机地取各种方向,假设这种随机性来自于某个未知的隐变量 L。为简单起见,我们假设 L 只有 8 个离散的数值,L=1,2,3,4,5,6,7,8,分别对应于三维空间直角坐标系的 8 个卦限。

8 个卦限中纠缠态粒子 A 和 B 的自旋
由于 A,B 的纠缠,图中的红色矢量和蓝色矢量总是应该指向相反的方向,也就是说,红色矢量的方向确定了,蓝色矢量的方向也就确定了。因此,我们只需要考虑 A 粒子的自旋矢量 (简称红矢) 的空间取向就够了。假设红矢出现在 8 个卦限中的概率分别为 n1,n2…n8。由于红矢的位置在8 个卦限中必居其一,因此我们有:
n1 + n2 + n3 + n4 + n5 + n6 + n7 + n8 = 1
现在,我们来描述 A,B 的自旋矢量在三维空间可能出现的 8 种情况。下表左半部分列出了在这些可能情况下,自旋矢量在 x,y,z方向的符号。

表1 AB 纠缠态自旋矢量的 8 种可能性以及 4 个相关函数的值
既然 A、B 二粒子系统形成了互为关联的纠缠态,我们便定义几个关联函数,用数学语言来更准确地描述这种关联的程度。比如,我们可以如此来定义 Pxx(L):观察 x 方向红矢的符号和 x 方向蓝矢的符号,如果两个符号相同,函数 Pxx(L) 的值就为 +1,否则,函数 Pxx(L) 的值就为 -1。我们从上表列出的红矢和蓝矢的符号不难看出,Pxx(L) 的 8 个数值都是 -1。然后,我们使用类似的原则,可以定义其他的关联函数。比如说,Pxz(L),是 x 方向红矢符号与 z 方向蓝矢符号的关联,等等。在上表的右半部分,我们列出了 Pxx(L),Pxz(L),Pzy(L) 和 Pxy(L) 的数值。
贝尔的思路
现在,贝尔继续按照经典的思维方式想下去:一个大粒子分裂成两个粒子 A 和 B,A,B 的自旋看起来是随机的,但实际上是按照上面的列表互相关联着的。然后,它们朝相反方向飞去。经过一段时间之后,两个粒子 A 和 B 分别被两方的观测仪器俘获了。两方的观测者分别对 A 和 B 的自旋方向进行测量。因为 L 是不可知的隐变量,因此,只有关联函数的平均值才有意义。根据表 1 中的数值,我们不难预测这几个关联函数被测量到的平均值:
Pxx = -n1 - n2 - n3 - n4 - n5 - n6 - n7 - n8 = -1
Pxz = -n1 + n2 + n3 - n4 + n5 - n6 - n7 + n8
Pzy = -n1 - n2 + n3 + n4 + n5 + n6 - n7 - n8
Pxy = -n1 + n2 - n3 + n4 - n5 + n6 - n7 + n8
让我们直观地理解一下,这几个关联函数是什么意思呢?可以这样来看:Pxx 代表的是 A 和 B 都从 x 方向观测时,它们的符号的平均相关性。因为纠缠的原因,A,B 的符号总是相反的,所以都从 x 方向观察时,它们的平均相关性是 -1,即反相关。类似地,Pxz 代表的是从 x 方向观测 A 且从 z 方向观测 B 时,它们符号的平均相关性。如果自旋在每个方向的概率都一样,即 n1 = n2 = … = n8 = 1/8 的话,我们会得到 Pxz 为 0。对 Pzy 和 Pxy,也得到相同的结论。
换言之,当概率均等时,如在相同方向测量 A,B 的自旋,应该反相关;而如果在不同方向测量 A 和 B 的自旋,平均来说应该不相关。
我们可以用一个通俗的比喻来加深对上文的理解:两个双胞胎 A 和 B,出生后从未见过面,互相完全不知对方情况。一天,两人分别来到纽约和北京。假设双胞胎诚实不撒谎。当纽约和北京的警察问他们同样的问题:“你是哥哥吗?”,如果 A 回答“是”,B 一定是回答“不是”,反之亦然。对这个问题,他们不需要互通消息,回答一定是反相关的,因为问题的答案是出生时就因出生的顺序而决定了的 (这相仿于 Pxx = -1 的情况)。但是,如果纽约警察问 A:“两人中你更高吗?”,而北京警察问 B:“你跑得更快吗?”,按照我们的经典常识,两人出生后互不相识,从未比较过彼此的高度,也从未一起赛跑。所以,他们的回答就应该不会相关了 (这相仿于 Pxz = 0 的情况)。
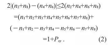
贝尔不等式
现在再回到简单的数学:我们在 Pxz,Pzy 和 Pxy 的表达式上做点小运算。首先,将 Pxz 和 Pzy 相减再取绝对值后,可以得到:

然后,利用有关绝对值的不等式,我们有:

这样,从 (1) 式和 (2) 式,我们得到一个不等式:

这就是著名的贝尔不等式。上述不等式是贝尔应用经典概率的思维方法得出的结论。因此,它可以说是在经典的框架下,这3个关联函数之间要满足的一种约束条件。也就是说,如果大粒子分裂成的两个小粒子A和B 是经典粒子的话,它们便必须遵循经典统计的规律,必须满足由经典概率方法得到的贝尔不等式!
但是,如果我们考虑量子力学,将两个小粒子A和B 当成是量子力学中的粒子,情况又将如何呢?它们的行为当然只有两种情形:遵循贝尔不等式,或者不遵循贝尔不等式。如果遵循贝尔不等式的话,那就好了,万事大吉!爱因斯坦的预言实现了。量子力学中的粒子也应该是满足“局域实在论”的,虽然在微观世界中的量子有时候表现得行为诡异,那只不过是因为有某些我们尚且不知道的隐变量而已,那不用着急,将来我们总能挖掘出这些隐变量来。
第二种情况,那就是量子现象不遵循贝尔不等式,也就是说,不能简单地用隐变量的理论来解释量子现象。贝尔用他的“贝尔定理”来表述这种情形:“任何局域隐变量理论都不可能重现量子力学的全部统计性预言”。如果是这样的话,世界好像有点乱套!不过没关系,贝尔说,重要的是,这几个关联函数都是在实验室中可以测量到的物理量。这样,我的不等式就为判定 EPR 和量子力学谁对谁错提供了一个实验验证的方法。那好,理论物理学家们说,我们就暂时停止毫无意义的、纯理论的辩论,让将来的实验结果来说话吧。
纠缠态及其实验
在谈到实验之前,还得顺便提一句,我们在本文中所谈到的量子纠缠以及推导贝尔不等式的过程,用的都是 EPR 佯谬简化了的波姆版。也就是说,我们使用了两个不同的自旋 (“上↑”和“下↓”) 来表述量子态,这使得问题叙述起来简化很多,因为在这种只有两个离散变量的情况下,单个粒子的量子态,只对应于二维的希尔伯特空间。
希尔伯特空间可以理解为将维数扩展到无穷大、变量扩展到复数的欧几里德空间。一个量子态被表示为希尔伯特空间中的一个矢量。单粒子的自旋空间是一个简单的二维希尔伯特空间。如果考虑两个粒子系统的自旋状态,便对应于四维的希尔伯特空间。
在爱因斯坦等人的原始 EPR 文章中,是用两个粒子的位置及动量来描述粒子之间的“纠缠”。位置和动量是连续变量,可以取无穷多个数值,如此表示的量子态则对应于无穷维希尔伯特空间中的矢量。因而,描述和推导都非常复杂,解释起来也困难多了。为简单起见,我们使用自旋或类似的可数离散变量来描述和解释量子态,包括纠缠态。这种方法称之为“离散变量”的方法。但在实际的物理理论和实验中,描述和制备纠缠态时,也可以使用“连续变量”的方法。连续变量和离散变量的纠缠态,在理论和实验研究上有所不同,而在量子信息的应用方面,也各有其优缺点。
自旋空间
在前面的内容中,我们介绍了“叠加态”和“纠缠态”,现在,不妨用点简单的数学来重新整理一下这几个基本概念。
单粒子的自旋量子态,可以表示为二维希尔伯特自旋空间中的一个矢量。著名的英国物理学家狄拉克为量子态空间定义了一套十分优雅的符号系统,比如说,狄拉克用下面两个符号来表示粒子自旋的两个基本状态:|上> 和 |下>,或者记作 |0> 和 |1>。这两个基态是自旋空间的基矢,如下图所示。

普通空间和自旋空间(a)二维欧几里德空间;(b)自旋量子态的希尔伯特空间
一个粒子的自旋叠加态,可以表示成这两个基态(自旋本征态)的线性叠加,如图1(b)所示,

这里的 C1 和 C2 是满足 |C1|2+ |C2|2= 1 的任意复数,它们对应于两个本征态在叠加态中所占的比例系数。当 C1 = 0,或者 C2 = 0 时,叠加态就简化成两个本征态。两个比例系数的平方 |C1|2或 |C2|2,分别代表测量时,测得粒子的状态为本征态 |0> 或本征态 |1>的几率。
狄拉克符号下的「猫」
除了自旋系统之外,狄拉克符号及公式 (1) 也可以用以表示其他系统的本征态。比如,在杨氏双缝实验中,电子或光子位置的叠加态可以写成:

薛定谔理想实验中的猫,也可以写成叠加态的形式:

这个薛定谔猫的例子可以叙述得更具体一些。比如,如果在实验中我们能够确定 C1 = 0.8 和 C2 = 0.6,那么打开盖子时,见到活猫的几率是 0.82= 0.64,而见到死猫的几率是 0.62= 0.36。就是说,实验者有 64 % 的概率看见一只活蹦乱跳的猫,而只有 36 % 的概率看见一只死猫。感谢上帝,他并不会看到一只可怖的又死又活的猫!
薛定谔和爱因斯坦认为那种猫很可怕,但根据玻尔一派的观点,那种叠加的“|猫态>”只有可能存在于打开盖子之前,盖子被揭开之时,叠加态便立刻“塌缩”到了其本征态之一。至于打开盖子之前,玻尔等人认为:猫可能根本就不存在,也不用去想它到底是什么模样,那是个毫无意义的问题!
上述两个例子中的状态,诸如|缝1>、|缝2>、|活猫>、|死猫>,都是“本征态”。根据上面的公式(1)可看出,叠加态是普遍的大多数,而本征态只代表 (C1 = 1,C2 = 0)或者(C1=0,C2=1) 的少数极端情况。还可以看出,如果一个粒子处于本征态,那么,它的测量结果是确定的 (几率 = 1)。
本征态是确定性的,因此,只有叠加态才表现出量子力学“既在这儿、又在那儿”的诡异特征。现在,我们从简单的数学表述,更为深刻地理解了:叠加态的存在是量子力学最大的奥秘,是理解量子力学的关键。
纠缠态的数学表述
那么,又应该如何从数学上来表示“纠缠态”呢?我们以最简单的两个粒子的纠缠为例说明。如果有两个粒子 A 和B,它们分别都有两种自旋本征态 |0>,|1>,将它们简写为 (A1, A0) 和 (B1, B0)。从两个单粒子的自旋本征态,应该可以组合成 4 种双粒子自旋本征态:A1B1、A1B0、A0B1、A0B0。
类似于单粒子的情形,这 4 种本征态可以作为 4 维空间的基底,如果以满足一定归一化条件的复数 C1, C2, C3, C4 为系数,便能线性组合成许多混合叠加态。这些叠加态可以分成两大类:纠缠态和非纠缠态。如果一个双粒子叠加态可以写成单个粒子状态的 (张量) 乘积的话,就是非纠缠态,比如下面是一个非纠缠态的例子:

因为它可以写成第一个粒子的叠加态 (A0 + A1) 和第二个粒子的叠加态 (B0 - B1) 之乘积的形式。为简单起见,我们在上述量子态的表达式中略去了几率归一化的系数 Ci。
双粒子叠加态
现在,研究下面这几种双粒子叠加态:

可以证明,上述叠加态无法表达成两个单粒子状态的乘积,这在物理上意味着两个粒子的状态纠缠在一起不可分。也就是说,如果对其中一个粒子 A 的状态进行测量的话,当 A 塌缩到某个本征态时,粒子 B 的状态也立即塌缩到一个与 A 所塌缩状态相关的本征态,即对 A 的测量将影响对 B 的测量。用上面的量子态“纠缠1”为例来说明这种多粒子复合态如何纠缠。
首先,“纠缠 1”是一个由两个本征态 A0B1 和 A1B0 组成的叠加态。测量之前的状态“既是 A0B1,又是 A1B0”。一旦测量任何一个粒子,比如对粒子 A 进行测量的话,A 的状态立即塌缩成 0,或者 1,几率各半。然而,在测量 A 的瞬时,怪事发生了:虽然 B 没有被测量,但却同时塌缩到与 A 相反的状态,即使这个时候 A 和 B 已经相距很远很远。这便是 A 和 B 互相纠缠的意思。
实际上,薛定谔的猫态并不是简单的死猫和活猫的叠加态,而应该是“猫”和实验中“放射性原子”两者构成的纠缠态:

如果使用量子论的正统解释,上面表达式的意思是说,薛定谔的猫与原子组成的两体系统,处于两个本征态的混合,即

盒子打开之前,总状态不确定,是 |本征态1> 和 |本征态2> 的混合叠加。盒子一旦打开,总状态塌缩到两个本征态之一,几率各半。
量子与贝尔不等式
现在再回到贝尔不等式。大家还记得,在上一节中,我们是用经典概率方法导出这个不等式的。所以,经典粒子的行动规律一定会受限于这个不等式。但量子理论中的粒子又如何呢?会不会遵循这个不等式?简单的理论推导可以证明:量子粒子的行为是违背贝尔不等式的。
仍然考虑(2)式的叠加态“纠缠1”,它对应的量子态又叫做自旋单态。根据量子力学,如果在夹角为 θ 的两个不同方向上对这个自旋单态粒子对进行观测,理论预言的关联函数平均值将会是 -cosθ。这个结果的推导过程需要用到量子力学自旋的计算,在此不表。但是,我们下面利用这个结论,加上几步简单的代数运算,可以检验量子力学的理论是否符合贝尔不等式。
我们之前得出了贝尔不等式

其中的 x,y,z 不一定需要构成三维空间的正交系。比如说,可以取位于同一个平面上的 3 个方向,依次成 60° 的角。这样就有:

代入贝尔不等式左边,则为 |-1/2 - 1/2| = 1,代入贝尔不等式右边,则为 1 - 1/2 = 1/2,因此,对量子力学的这种情况,贝尔不等式不成立。
实验结果
刚才的例子说明,量子理论已经违背了贝尔不等式,实验结果又如何呢?尽管纠缠态是多粒子量子系统中的普遍形式,但是,要在实验室中得到好的纠缠态,可不是那么容易的。有了纠缠度高、效率高、稳定可靠的纠缠态,才有可能在实验室中来验证我们在上一节中说到的贝尔不等式,作出爱因斯坦和量子力学谁对谁错的判决,也才有可能将量子纠缠态实际应用到通讯和计算机工程技术中,实现“量子传输”及“量子计算机”等激动人心的高科技。
上世纪 70 年代早期,一位年轻人走进了哥伦比亚大学“吴夫人” (美籍华人物理学家吴健雄) 的实验室,向吴夫人请教 20 多年前,她和萨科诺夫第一次观察到纠缠光子对的情况,那是在正负电子湮灭时产生的一对高能光子。当时的吴夫人没有太在意年轻学生提出的这个问题,只让他和她的研究生卡斯蒂谈了谈。这位年轻人名叫克劳瑟,出生于美国加利福尼亚的物理世家,因为他的父亲、叔叔及家中几个亲戚都是物理学家,克劳瑟从小就听家人们在一起探讨和争论深奥的物理问题,后来,他进了美国加州理工大学,受到费曼的影响,开始思考量子力学基本理论中的关键问题,他把一些想法和费曼讨论,并告诉费曼说,他决定要用实验来测试贝尔不等式和 EPR 佯谬。据他自己后来半开玩笑地描述当时费曼的激烈反应:“费曼把我从他的办公室里扔了出去!”
贝尔定理和贝尔不等式被誉为“物理学中最重要的进展”之一。之后,贝尔不等式被一个紧紧纠缠在一起的美国物理学家四人小组 (CHSH) 的工作所改良,称为 CHSH 不等式。这四个人的名字是:克劳瑟、霍恩、西摩尼、霍尔特。上面提到的年轻人就是其中之一。尽管当克劳瑟对费曼说,他要用实验来检验贝尔定理,费曼激动得把他从办公室赶了出去。但克劳瑟却坚信实验的必要性,他总记得同是物理学家的父亲常说的一句话:“别轻易相信理论家们构造的各种各样漂亮的理论,最后,他们也一定要回过头来,看看实验中你得到的那些原始数据!”后来,克劳瑟及其合作者果然成为 CHSH - 贝尔不等式实验验证的第一人。
参考文献
[1] Heisenberg W. Zeitschrift für Physik,1927,43:172
[2] Schrödinger E. Naturwissenschaften ,1935,23:807-812,823-828,844-849
[3] Feynman R. The Character of Physical Law,1965. chapter 6(Probability and Uncertainty— the Quantum Mechanical View of Nature),p.129
[4] John G. In Search of Schrödinger's Cat. Toronto:Bantam Books,1984,p.5
[5] Schrödinger E. What Is Life? The Physical Aspect of the Living Cell,1944.
Based on lectures delivered under the auspices of the Dublin Institute for AdvancedStudies at Trinity College. Dublin,in February 1943
[6] In a conversation with Timothy Ferris (4 April 1983), as quoted in The Whole Shebang (1998) by Timothy Ferris ,p. 345
[7] Einstein A,Podolsky B,Rosen N. Phys. Rev.,1935,47:777
[8] Schrödinger E. Naturwissenschaften,1935,23:807—812;823—828;844—849
[9] *励之方**. 物理学和质朴性——没有定律的定律. 安徽科学技术出版社,1982
[10] 张天蓉. 科学学与科学技术管理,1985,(2):19
编辑:可乐不加冰、Cloudiiink
近期热门文章Top10
↓ 点击标题即可查看 ↓