
“老王”回来了,手一挥,就是1100亿。
王健林在出席6月26日的川商发展大会时表示,万达将在四川省再投资1100亿元,加上此前投资的1600亿元,四川是万达投资总额最多的省份。连王健林自己都说,“作为一名四川籍的企业家,我对家乡可以说够意思了。”
过去一个月,万达突然重回大众视野,一扫过去两年的阴霾。
6月12日,万达地产集团在甘肃省兰州市以71.92亿元价格拿下了位于兰州七里河区的崔家大滩28宗土地。
6月7日,万达体育向美国证券交易委员会(SEC)提交IPO申请文件,欲登陆纳斯达克。
三年前,王健林曾在一场论坛上表示,“万达玩体育要确保持续盈利”,“企业不盈利是不道德的”。今年初万达的年会上,王健林的万字工作报告中有一行字格外引人注意:万达体育要开展资本运作,今年要出成绩。
如今看来,“老王”的确对万达体育信心十足。

本期《艾问资本观察》,我们把目光锁定在了这家略显神秘的准上市公司——万达体育。
艾问:还债,仍是悬在头上的“铡刀”?
根据万达体育的上市申请文件显示,本次IPO拟筹资5亿美元,拟将所得款项用于偿还与集团重组有关的*款贷**,其余用作战略投资和一般企业用途。
财务数据显示,万达体育的资产负债率在2017年、2018年和2019年一季度分别为103.3%、100.5%和83.9%,明显偏高。

债务率过高,恰恰是过去两年一直笼罩在万达身上的雾霭。
时间推回到2017年6月22日,一个再普通不过的交易日,却被万达的股债双杀打上了烙印。当天一开盘,先是万达系多支债券遭到抛售,万达体育和万达文化尚在存续期内的债券突然连续出现低价卖盘,随后万达旗下唯一的A股上市企业万达电影砸向跌停板。
后面的事情我们都知道了。只是不曾想,这次危机还导致了首富易主。
万达集团官微随后发表了他们遇到的真实情况,即“银监会于(2017年)6月中旬要求各家银行排查包括万达、海航集团、复星、浙*罗江**森内里在内数家企业的授信及风险分析,排查对象多是近年来海外投资比较凶猛、在银行业敞口较大的民营企业集团。近期监管部门将安排有关企业现场检查,料均是为摸底及排查可能存在的风险,但并非已经做出风险判断。”

几乎同一时间,复星集团董事长郭广昌两次通过内部信对外发声,并在公司内部发表题为《行稳致远--走出去是为了更好的引回来》的文章,他表示,复星海外投资的目标,是帮助被投企业加快在中国的发展,复星“走出去”是“为了更好的回来”。
而后不到一年的时间里,海航集团变卖包括土地、写字楼、酒店、公司股权等在内,总价值超过 130 亿美元的资产。这也让此前连续三年位列《财富》全球500强的海航(2017年高居第170位)于2018年跌出了榜单。
万达更是如此。自那场风波之后,王健林开始了大刀阔斧地进行业务调整,收缩海外投资战线以及大规模出售国内文旅项目和酒店业务。他本人也在此后一年半的时间里低调了许多。
直到2019年1月12日,王健林在万达集团年会上发表讲话称,2018年,万达集团资产(按成本法计算)为6257.3亿元,因为资产转让因素,同比下降11.5%;万达2018年的收入为2142.8亿元,完成年计划的101.6%,同比下降5.7%。

与此同时,万达2018年有息负债大幅减少,同比2017年减少约30%。王健林还表示,万达将加速清偿全部海外有息负债,计划用2-3年时间,将负债降至绝对安全水平,继续走轻资产之路。
根据媒体此前的报道,到2018年下半年,万达的负债率已经降至60%以下。与这个数字相比,万达体育的资产负债率显然是过高了。
艾问(iask-media.com)注意到,万达体育在招股书还特别提示了债务风险,截止2019年一季度,公司的有息负债达10亿欧元,公司可能缺少足够的现金来支付利息和到期的本金。
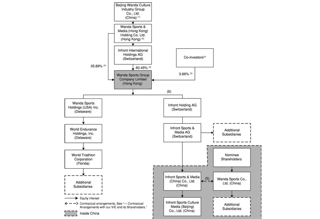
之所以攒了这么多的债务,和万达体育的融资思路有关。与大多数登陆资本市场的明星企业不同,万达体育并非是依靠稀释股权、获取一级市场的融资发展起来的。公开资料显示,大连万达集团通过旗下的北京万达文化产业集团有限公司控制着万达体育96.34%的股权。

过去四年间,万达体育需要融资的时候,要么是直接从集团借钱,要么是仰仗万达集团的超强背书,找银行借钱。以2018年为例,5371万欧元的财务费用中,65%都是银行*款贷**的利息。

万达体育明确表示,IPO募集来的资金,绝大多数将用于偿还一笔来自银行的高达4亿美元的364天定期*款贷**。之前的这笔*款贷**,则是为了偿还早先在集团重组时的一部分集团间票据。
根据招股书的资料测算,万达体育在今年一季度的有息负债率猛增至49.5%。假如万达体育顺利IPO,并将4亿美元的*款贷**全部偿还,公司的有息负债率将会迅速降至31.9%。

也就是说,万达体育迫切地想要IPO,更多还是来自企业债务压力的驱使。
艾问:在国外挣钱,在国内赚吆喝?
不仅是债务数据,招股书的披露,无疑给有些神秘的万达体育洗了个大澡。
数据显示,万达体育在过去三个财年的营收分别为8.8亿欧元、9.6亿欧元和11.3亿欧元,净利润分别为-2924.5万欧元、7879.2万欧元和5401.2万欧元。在万达集团整体业务收缩、营收下降的调整期,万达体育依然保持着快速上升的势头。

有个小细节,艾问(iask-media.com)注意到,万达体育招股书中的财务报表选择了欧元和美元两个货币单位。美元是为了其在美股市场的顺利上市,那欧元呢?意味着万达体育的业务更多是来自欧洲地区。

这其实也就解释了为什么万达体育的真正业务板块在过去四年并没有过多地出现在国内大众的视野中。我们所认知的万达体育,似乎依然还是那个和足球有着千丝万缕关系的“东北足球先生”。
来看一则外媒对万达体育递交上市材料的报道:
Wanda Sports Group (WSG), the owner of the Iron Man Triathlon franchise and soccer marketing group Infront Sports, has filed for an initial public offering in the US.
铁人三项和盈方体育成为了万达体育的标签。
根据披露,万达体育的核心资产就集中在三方面:盈方体育、世界铁人公司以及万达体育中国公司。
这样的资产,大多数也是王健林从海外买来的:
1、2015年2月10日,万达集团牵头三家机构及盈方自身的管理层,并购总部位于瑞士的全球第二大体育市场营销公司盈方体育,其中万达集团持股68.2%,代价是10.5亿欧元。
万达体育看上的,是盈方的体育赛事转播权。作为全球营销体育赛事最多、覆盖区域最广的公司,盈方体育与国际足联、欧洲多国足协和俱乐部等都有合作,时任总裁的菲利普·布拉特还是国际足联前主席布拉特的侄子。
盈方此前分销了2002年和2006年世界杯足球赛的部分转播权,以及2010年和2014年世界杯的亚洲转播权。不仅如此,国际足联还向盈方体育传媒集团授予了2015-2022年期间在亚洲26个国家及地区转播足球赛事的独家销售权。

此外,盈方还拥有CBA的市场和媒体版权。在冬奥会项目中,盈方代理了6个国际体育协会以及一些国家的冬季体育协会,负责众多冬季项目世界杯、世锦赛的商务开发。
2、2015年8月27日,万达再出手,以6.5亿美元并购美国世界铁人公司(WEH)的100%权益,后者为世界最大的铁人三项赛事运营者和最著名铁人三项赛事品牌拥有者。在万达集团收购后,WEH还添加了跑步、山地自行车、公路自行车和越野跑等赛事。
这两项总计花费了万达超过132亿人民币的国外资产,王健林并没有在两年后的风波中将其卖掉。不仅不卖,万达还接连拿下了众多赛事的赞助和商务开发权。仅仅三年的时间,万达体育在全球超过20个国家运营足球、冰雪、自行车、篮球、铁人三项等二十多项体育运动。
2016年,王健林曾在第二届中国体育产业论坛上做过一次演讲,当时他说了万达体育要做四个方面的事情:1、扩大与国际组织合作;2、开展国际产业并购;3、引进重大国际赛事;4、体育公司持续盈利。

目前来看,万达体育正在一一兑现。
2018年,万达体育在成都落地了“马拉松世界大满贯预备赛”,在广州举办了“国际羽联世界巡回赛年终总决赛”,再加上原有“环广西”公路自行车世界巡回赛、“中国杯”国际足球锦标赛、铁人三项等,万达在中国已落地7类世界级、中国唯一性体育赛事。
王健林也在今年初表示:“国外赛事当然要推,但重点是在中国打造国际级、唯一性赛事,而且是年度固定赛事。”
盈利方面,万达体育连续两年实现盈利之后,在今年一季度录得净利润-863.6万欧元,但鉴于体育赛事的周期性因素,我们尚不能下结论说万达体育今年一定是亏损的。
让人有些疑惑的,依然来自万达体育的营收结构。截至目前,以万达体育的营收构成来看,中国地区还很难为其贡献足够多的盈利空间。

王健林:万达体育的目标是2016年我们全球合并报表实现比较好看的盈利,2020年的净利润至少要做到10位数,或者几个10位数,最终使万达体育公司在资本市场上市,给中国资本市场奉献一个极其优秀的,具有唯一性、高价值、有持续盈利前景的优秀公司,这就是我们做万达体育的一个目标。
2020年近在眼前,万达体育要如何在国内市场具备持续的盈利能力?
结语
26年前,万达第一次和体育走到了一起。1993年,作为大连万达足球俱乐部的投资人,王健林曾打造了中国职业足球第一个王朝。5年后,因为“黑哨事件”,王健林一气之下宣布“永远退出中国足球”。
26年后,万达表示计划投资20亿人民币在中国建立足球场和培训中心。2019年4月29日,王健林在大连足球青训基地奠基仪式上表示,时隔20年万达集团重返足球,大连球迷期望很高,但即便有万达财力支持和专业团队运营,也不可能短期内使大连职业足球迅速崛起。请球迷多一点耐心。
时间,在改变王健林;时间,也可以让万达体育给我们一个答案。
(文中主要数据来源:万达体育招股书、万达集团官网)