撰文/刘伟(天津师范大学)
本文来自《知识就是力量》杂志
在刚刚结束的春节假期中,绿茵场上有好消息传来!
2月6日结束的 女足亚洲杯决赛中,中国队在0-2落后的局面下追回并反超比分,最终3-2战胜韩国队!女足姑娘们坚持不懈,顽强拼搏,上演逆转绝杀奇迹,时隔16年第9次夺得亚洲杯桂冠!
女足为我们重新点燃了对足球的梦想!
作为新时代的科学少年
数学是每个学生的必修课
足球与数学竟然也有关系
快来一探究竟吧!
足球是一项具有广泛影响力的运动,在各个年龄段都有为足球痴狂的人。不过,想要踢好足球,单纯的体力是不够的,还要一些数学知识。
在足球比赛中,当守门员远离球门时,进攻队员常常使用吊射战术(把球高高地挑过守门员的头顶,射入球门)。一般来说,吊射战术中足球的轨迹往往是一条抛物线。球艺高超的球员,会选择合适的位置进行吊射,使球高高地越过守门员的头顶,但又不至于飞得过高而超过球门。

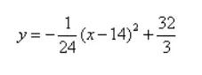
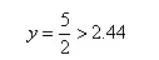
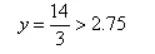
一位球员在离对方球门30米处起脚吊射,假如球飞行的路线是一条抛物线,在离球门14米时,足球达到最大高度32/3米,已知球门的高度为2.44米,那么球是否会进球门?如果守门员站在距离球门2米处,而守门员跳起后最高能达到2.75米的高度,那么他能否在空中截住这次吊射?
要想解决这个问题,需要用到一元二次函数的知识,因为一元二次函数的图像就是一条抛物线。要想求出一元二次函数的解析式,则需要根据实际问题建立平面直角坐标系,从而使问题得到解决。
首先,以球门底部作为坐标原点,建立坐标系,这样的话,足球的轨迹,也就是抛物线经过(30,0),且顶点为(14,32/3),根据一元二次函数的知识可求得抛物线的解析式:

此时将X=0代入函数解析式,可以得到

可见此时足球距离地面的高度已经超过了球门的高度,足球不会射入球门中。算到这里,大家可能就明白为何以球门底部作为坐标原点建立坐标系了,因为当X=0时,很容易算出结果。
当守门员站在距离球门2米处时,守门员跳起后最高能达到2.75米的高度,将X=2代入,可得到

可以看出,足球距离地面的高度高于守门员跳起的高度,因此守门员无法截住这次吊球。
达芬奇说过,数学是一切科学的基础。科学技术的发展离不开数学这门基础学科,科学技术在不断发展的同时又为社会发展赋能助力,就连体育赛场也有数学的身影!当你热爱数学,就会发现生活处处有数学,能感受到数学之美!