
公众号回复“公众科学日”了解活动详情
科学无国界
我们是知识的搬运工

福利时间
今天我们将送出由化学工业出版社提供的优质科普书籍《斯瓦尔巴密码 》。

神秘的北极斯瓦尔巴群岛,为什么那里能成为极地科研、探险和旅游的圣地?为什么那里会聚集如此多的极地动物?为什么那里会成为植物的“小人国”?为什么那里被称为“天然的极地冰川博物馆”?……本书是博物学者段煦多次前往北极考察的笔记,系统介绍了地处北极腹地的斯瓦尔巴群岛环境,以及那里的动物、植物、地貌和人类历史遗迹,作者力求以客观的笔触,为您揭开这片神奇岛屿的面纱,带您走进这片属于北极熊的土地。
只要你认真阅读下面的这篇文章,思考文末提出的问题,严格按照 互动:你的答案 的格式在评论区留言,就有机会获得奖品!
作者:Daniel F. Styer .etc
翻译:Camel
审校:陈星
摘要
本文介绍非相对论量子力学的九种形式。它们分别是波动形式,矩阵形式,路径积分形式,相空间形式,密度矩阵形式,二次量子化形式,变分形式,导航波形式和哈密顿-雅可比形式。同时还提到多世界诠释和交易诠释的理论。总体上来看这几种形式在数学表示上以及概念上都有明显的区别,但它们却对实验结果做出了完全相同的预测。
一、为什么关心多种表示形式?
经典力学的高级课程会花费很多时间来探讨经典力学的各种形式——牛顿力学,拉格朗日力学,哈密顿力学,最小作用量原理等(可以参见附录A)。但这些在高级量子力学课程上却没有出现!事实上,甚至在研究生课程中也都在一致地强调波动形式,而几乎不重视其它几种形式。之所以这样做,原因是显而易见的——即使只学习量子力学的一种形式都已经很难了。但必定有聪明的同学会有疑问,既然我们能学几种经典力学的形式,那么为什么就不能学几种量子力学的形式呢。本文介绍了九种量子力学的形式。
既然这些力学形式会对实验结果给出完全相同的预测,我们为什么还要学这么多呢?我想至少有三个原因使我们需要学习它们。第一,有些问题用一种形式表示很困难,而用另一种形式表示则将变得容易得多。例如经典力学中拉格朗日力学允许出现广义坐标,在很多情况下它要比牛顿力学容易一些。第二,不同的形式将给人以不同的视角。例如在经典力学中牛顿力学和最小作用量原理分别用不同的图示来展现“世界是怎么运行的”。第三,不同的形式在不同的情形下很容易推广到新的理论中。例如,拉格朗日力学可以相当容易地从保守经典力学推广到保守相对论力学,而牛顿力学则可以很容易地从保守经典力学中推广到经典耗散力学。正如化学家E.Bright Wilson所说:
“我过去常常去找J.H.Van Vleck,向他请教量子力学方面的问题。我发现他非常有耐心,而且非常乐于帮助我。但有时他会用一种混合了波动力学,算符积分以及矩阵运算的大杂烩给我讲,这让我这个勉强是薛定谔方程新信徒的人倍感苦恼。我不得不学着用另一种语言来思考,当然这些对我来说也是绝对有必要的。”
当然想要历数这些形式,不可避免地要分清什么是量子力学的“形式(formulations)”,什么是量子力学的“诠释(interpretations)”。我们在此的目的只是去分清不同的数学形式,但数学形式还是会影响概念的解释(或受概念解释的影响),所以这种区分方法的轮廓绝不可能是清晰的。我们也意识到别的人可能会有完全不同的划分方法。此外还有一个附加的困惑,哥本哈根解释这个术语包含甚广,但定义却非常不严格。例如哥本哈根的两个主要奠定者之一维纳 . 海森堡曾说过“位置的观测会影响动量”,而尼尔斯.波尔则特别反对“相”的概念,我们经常会发现他在物理著作中提到诸如“测量会干扰现象”的话。
附录A:经典力学的各种形式
我们知道的经典力学的形式有以下几种:
牛顿力学
拉格朗日力学
哈密顿力学
哈密顿原理(费曼和朗道称作最小作用量原理)
莫陪督最小作用量原理(也与欧拉、拉格朗日、雅可比等人有关)
最小约束(高斯)
最小曲率(赫兹)
吉布斯-阿佩尔
泊松括号
朗格朗日括号
刘维尔方程
哈密顿-雅可比方程
这些形式在任何一本经典力学教科书中都或多或少地谈论过。在这本书中有对它们清晰、广泛地研究:
E. T. Whittaker, A Treatise on the Analytical Dynamics of Particles and Rigid Bodies, 4th ed. Cambridge University Press, Cambridge, UK, 1937 .
二、九种形式
1、矩阵形式(海森堡)

沃纳·海森堡
量子力学的矩阵形式,由海森堡于1925年发展出来。这是第一种被发现的量子力学形式。而现在广泛被应用的薛定谔的波动形式则比矩阵形式的发现晚大概六个月。
在矩阵形式中,每一个力学观测量(例如位置、动量或能量)在数学上都被表示为一个矩阵(也称作一个算符)。对一个有N(大多数情况下N=∞)个态的系统来说,这些矩阵将是一个 ×的厄米矩阵。一个量子态 |⟩ 数学上就表示为 一个 ×1的列矩阵。
与实验结合
假设观测量的值由算符 ̂表示。然后对于任意函数(),在|⟩ 态测量()的期望值则为
⟨|()|⟩
这个式子不只是依赖于,还依赖于()。它不仅可以用来求期望值,还可以用来求不确定性(只需要取
)。事实上,还可以由()来求本征值的谱。如下:考虑一个实数集1, 2, 3, … 以及非负函数

那么集合1, 2, 3, …将构成的本征值,当且仅当

在矩阵形式*特中**别强调算符的地位,本征问题在其中看起来是如此地自然。但人们也发现了它在计算含时变量或考虑全同粒子时却不那么自然了。这些问题在随后二次量子化中则可以很自然地解决。
含时性
与观测量能量相应的算符称为哈密顿量,表示为
。任何一个算符随时间的变化为

而|⟩态不随时间变化。
应用
在很多应用上(或许是大多数),波动力学相较矩阵力学都更直接。但一个例外是,对于谐振子的问题,波动力学要用晦涩难懂的厄密多项式来解决,而矩阵力学的算符分解的技巧(升、降阶算符)则要清晰容易的多。同样,在角动量的讨论中也用到了相同的技巧。更广义的分解方法(下面Green的书中有描述)可以解决更广义的问题,不过其带来的复杂性也使得用波动方程看起来更经济一些。
推荐参考
现代对量子力学的处理大多是混合了波动和矩阵形式,但更强调波动的一面。若想参考那些较为强调矩阵形式的文献,我们推荐
1. H. S. Green, Matrix Mechanics P. Noordhoff, Ltd., Groningen, The Netherlands, 1965 .
2.T. F. Jordan, Quantum Mechanics in Simple Matrix Form Wiley, New York, 1986 .
历史
矩阵力学形式是多种量子力学形式中第一个被发现的。原始文献有
3. W. Heisenberg, “Uber die quantentheoretische Umdeutung kinematis- cher und mechanischer Beziehungen”, “Quantum-theoretical re- interpretation of kinematic and mechanical relations” , Z. Phys. 33, 879–893 1925 .
4. M. Born and P. Jordan, “Zur Quantenmechanik,” “On quantum me- chanics” , Z. Phys. 34, 858 – 888 1925 .
5. M. Born, W. Heisenberg, and P. Jordan, “Zur Quantenmechanik II”, Z. Phys. 35, 557–615 1926 .
这三篇文献(还有一些别的)被译成英文
6. B. L. van der Waerden, Sources of Quantum Mechanics North-Holland, Amsterdam, 1967 .
不确定原理在该理论成型两年后提出
7. W. Heisenberg, “U ber den anschaulichen Inhalt der quantentheoretis- chen Kinematik und Mechanik”, “The physical content of quantum kinematics and mechanic” , Z. Phys. 43, 172–198 1927 English translation in J. A. Wheeler and W. H. Zurek, editors, Quantum Theory and Measurement Princeton University Press, Princeton, NJ, 1983 , pp. 62 – 84 .
2、波动形式(薛定谔)

埃尔温·薛定谔
相比矩阵形式,量子力学的波动形式把注意力从“可测量”转移到了“态”上。两粒子的系统的态(忽略自旋)数学上表示为一个六维位形空间的复函数,即

另一种等价的选择是,我们可以在六维动量空间中表示这个态

薛定谔引入这种形式的目的是希望能够把量子力学写成一种符合直觉的形式。但最终他很失望,因为他发现他的波函数只能存在于位形空间,而不是实际的三维空间。波函数应当被看作是一个计算观测结果的数学工具,而不是一个存在于空间中的物理实体(像足球、氮分子,或电场)。(参考附录B)
含时性
位形空间波函数随时间改变的方式为

其中粒子的质量分别为m1,和m2,而V(x1, x2)是经典势能函数。等价的,在动量空间波函数随时间的改变为

其中是能函数的傅里叶变换为

在测量一个物理量之后,波函数塌缩到一个与该物理量相应的本征函数上。
能量本征态
很多态都没有一个确定的能量。它们的本征方程是

其能谱可能是离散的(量子化的)也可能是连续的,这取决于势能函数V(x1, x2)和能量的本征值 。
全同粒子
如果两个粒子是全同的,那么波函数在下标变换的情况下将是对称的或反对称的

这取决于这两个粒子是波色子还是费米子。这个关系对于动量空间的波函数也同样成立。
推荐参考
大多数量子力学的文献都较为强调波函数形式。其中相对较好的教材有
8. L. D. Landau and E. M. Lifshitz, Quantum Mechanics: Non-Relativistic Theory, translated by J. B. Sykes and J. S. Bell, 3rd ed. Pergamon, New York, 1977 .
9. A. Messiah, Quantum Mechanics North-Holland, New York, 1961 .
10. D. J. Griffiths, Introduction to Quantum Mechanics Prentice–Hall, Englewood Cliffs, New Jersey, 1995 .
11. R. W. Robinett, Quantum Mechanics: Classical Results, Modern Sys- tems, and Visualized Examples Oxford University Press, New York, 1997 .
历史
薛定谔在下面这篇文章中第一次写下位形空间中的能量本征方程
12. E. Schro ̈dinger, ‘‘Quantisierung als Eigenwertproblem Erste Mittei- lung ,’’ ‘‘Quantization as a problem of paper values part I ’’ , Annalen der Physik 79, 361–376 1926 .
他在五个月之后写下含时方程(他称之为“真正的波动方程”)
13. E. Schro ̈dinger, ‘‘Quantisierung als Eigenwertproblem Vierte Mittei- lung ,’’ ‘‘Quantization as a problem of proper values part IV ’’ , An- nalen der Physik 81, 109–139 1926 .
英译版本
14. E. Schro ̈dinger, Collected Papers on Wave Mechanics Chelsea, New York, 1978 .
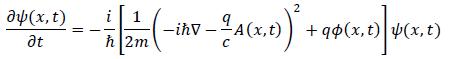
附录B 规范变换
波函数在大多数量子力学讨论中都扮演着中心的角色,以至于我们很容易陷入一种思维模式中,即认为波函数不再是一个数学工具,而是一个物理实体。但考虑一下这个问题,或许我们就不会再这么认为了。假设一个带电粒子(电荷q)在一个电场中运动,电场可以由一个标量势ϕ(x, t)和矢量势A(x, t)描述。那么位形空间的薛定谔方程为

另一方面,我们可以用规范变换势来描述同一个系统

我们可以证明用新的势来描述的波函数与原来的波函数之间有这样的关系

规范变换并没有改变这个系统,不管采用哪一种规范变换,我们计算得到的实验结果都是一样的。然而波函数却实实在在地发生了变化。(其实,概率密度在规范变换下不能也不会改变,所以我们可以随意地选择位相,而位相对干涉的响应有贡献)。
3、路径积分形式(费曼)

理查德·费曼
路径积分形式(也称为历史求和形式)把我们的注意力从“态”转移到了“转移概率”上。例如,假设有一个粒子在时间 位于x ,我们希望求出在时间f时该粒子位于xf的概率有多大。这个概率的值可以这么算:
Ø 列举出从初态到末态的所有经典路径;
Ø 计算每一条路径的经典作用量 = ∫();
Ø 给每条路径分配一个正比于− /ℏ的“转移振幅”(调整比例系数以满足归一性);
Ø 对所有路径的振幅求和(因为路径是连续的,所以这里的求和实际上是一种积分,称之为“路径积分”);
Ø 求和的结果就是从初态到末态的转移振幅,其平方即转移概率。
对别的不同的问题,例如对于粒子从一个动量变到另一个动量,或初态既没有确定的位置也没有确定的动量的情况,上面的程序就需要稍做调整了。
应用
在非相对论量子力学中,用路径积分直接解决问题往往不会很容易。但另一方面,在物理和化学的其他方面却有大量的应用,特别是在经典量子场论以及统计力学中。例如,在量子体系的蒙特卡罗模拟中,路径积分方法是一个很强大的工具。
15. M. H. Kalos and P. A. Whitlock, Monte Carlo Methods Wiley, New York, 1986 , Chap. 8.
此外,很多人觉得这种形式更有吸引力,因为其数学形式更接近经验——核心是转移概率,而不是观测不到的波函数。因此在教学中路径积分也是很有效的。
16. E. F. Taylor, S. Vokos, J. M. O’Meara, and N. S. Thornber, “Teaching Feynman’s sum over paths quantum theory”, Comput. Phys. 12, 190– 199 1998 .
全同粒子
路径积分的这套程序可以直接推广到多个非全同粒子或几个全同的玻色子。(这里的“路径”现在意味着几个粒子的轨道)不过这套程序却不能同样地直接应用到全同费米子,不然的话费米子和玻色子表现得就完全一样了。

图 1 如果两个粒子是全同费米子,那么有交换性的路径的振幅,如III和IV,在求和前必需乘以-1.
对全同费米子来说,正确方法需要再加入一个步骤。当列举从时间 的初态到时间f的末态的所有经典路径时(图1),注意有一些路径相对于其他路径交换了粒子(图1中,在路径III和路径IV交换了粒子,而路径I和路径II没有)。对于费米子路径的振幅分配其实是和前面讲的完全一样的,只是求和之前,要在那些交换了粒子的路径前乘上一个“-”号。(这其实是泡利定理:在你的脑海里,把两个粒子末态f相互靠近。随着间隔越来越小,路径I的振幅将和路径III的振幅一致,同样,每一个无交换路径也将和有交换路径一致。由于因子 -1,在求和过程中这些振幅相消。因此两个全同费米子不能移动到同一个位置。)
这个符号调整对于人类来说并不困难,但对计算机来说却造成了一个很大的挑战(被称之为“费曼符号问题”)。以下量子蒙特卡罗模拟的文献中,有对这个问题的讨论:
17. N. Makri, “Feynman path integration in quantum dynamics”, Comput. Phys. Commun. 63,389-414 1991.
18. S. Chandrasekharan and U.-J. Wiese, ‘‘Meron-cluster solution of fer- mion sign problems,’’ Phys. Rev. Lett. 83, 3116–3119 1999 .
推荐参考
19. R. P. Feynman and A. R. Hibbs, Quantum Mechanics and Path Inte- grals McGraw-Hill, New York, 1965 .
20. D. F. Styer, ‘‘Additions and corrections to Feynman and Hibbs,’’ http:// www.oberlin.edu/physics/dstyer/TeachQM/Supplements.html.
21. L. S. Schulman, Techniques and Applications of Path Integration Wiley, New York, 1981 .
历史
这种形式是在这篇文章里发表的
22. R. P. Feynman, ‘‘Space–time approach to non-relativistic quantum mechanics,’’ Rev. Mod. Phys. 20, 367–387 1948 .
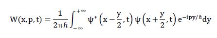
4、相空间形式(魏格纳)
一个限制在一维上的单粒子,魏格纳相空间分布函数为

这个函数有很多有用的特性:
Ø 函数本身是纯实数,可正可负;
Ø 对动量的积分可以给出位置的概率密度

Ø 对位置的积分可以给出动量的概率密度

Ø 如果用一个常数相因子替代波函数ψ,魏格纳函数不变。
Ø 给出W(x, p, t),我们能通过两步求出波函数。首先进行傅立叶变换

然后选择任意一点x0,其中W(x0, p, t)不等于零,得

魏格纳函数并不是相空间中的概率密度——按照海森堡的不确定原理是没有这样的实体存在。但它还是具有几个相同的特性的,因此用“分布函数”这个词应该更恰当一些。
含时性

其中核K(x, p)为

全同粒子
如果波函数在交换中是对称或反对称的,那么魏格纳函数将是对称的

这当然并不意味着玻色子和费米子在这种形式中表现的一样:由前面方程求得的波函数在交换时仍会显示出原有的对称性。不过这确实表明了在相空间形式中,交换对称性比在波函数形式中更难判断。
应用
对于态体系(N也许等于∞),波函数由N个复数以及所有的相位多值(即2N − 1个实数)描述。对于同一个体系,魏格纳函数需要N2个实数。很明显,魏格纳函数并不是一个记录量子态信息最经济的方式。魏格纳函数在以下情况会比较有用,即相比较为经济的波函数形式,从冗余的魏格纳函数会更容易得到需要的信息。(例如,动量密度只需要魏格纳函数对位置一个简单的积分即可得到,而从共形空间波函数得到动量密度则需要傅立叶变换的平方)
很多问题,尤其是量子光学上的问题,都可以归入到这里。可以参考如下的文献:
23. D. Leibfried, T. Pfau, and C. Monroe, ‘‘Shadows and mirrors: Recon- structing quantum states of atom motion,’’ Phys. Today 51, 22–28 1998 .
24. Y. S. Kim and W. W. Zachary, editors, The Physics of Phase Space Springer-Verlag, Berlin, 1987 .
建议参考
25. Y. S. Kim and E. P. Wigner, ‘‘Canonical transformation in quantum mechanics,’’ Am. J. Phys. 58, 439–448 1990 .
26. M. Hillary, R. F. O’Connell, M. O. Scully, and E. P. Wigner, ‘‘Distribution functions in physics: Fundamentals,’’ Phys. Rep. 106, 121–167 1984 .
历史
相空间形式由此文首次提出
27. E. P. Wigner, ‘‘On the quantum correction for thermodynamic equilibrium,’’ Phys. Rev. 40, 749–759 1932 .
5、密度矩阵形式
一个纯态|ψ⟩的密度矩阵是其外积

如果给出密度矩阵,那么量子态|ψ⟩可以通过这个方法来获得:首先选择任意态|ϕ⟩,于是右矢|ψ⟩(未归一化)等于
(只要这个量不等于零)。
密度矩阵也可以(虽然很少)叫做“密度算符”。就像其他的量子力学算符一样,密度算符与所选择的基态无关,但是算符矩阵的元素
的大小取决于基态选择。
密度矩阵形式在处理统计力学知识时非常强大。例如,如果不知道一个系统的态的具体信息,但是知道是在三个态中的一个——|ψ⟩(概率为pψ), |ϕ⟩(概率为pϕ),|χ⟩(概率为px)。这个系统我们称之为“混合态”(与“纯态”对立)。一个混合态可以表示为

这是三个原始态的叠加态。同样的,混合态的密度矩阵为

本小节接下来所有的结果都可以应用到纯态和混合态中。
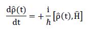
含时性
密度矩阵随时间的变化

其中
是哈密顿算符。(注意:这里的式子与矩阵形式中算符随时间演化的式子有一个符号差)
全同粒子
密度矩阵,和魏格纳相空间分布函数一样,在全同粒子交换位置的情况下保持不变,不管它是玻色子还是费米子。和魏格纳分布一样,这也并不意味着对称性和反对称性波函数将会表现的一样;这只是意味着两者的差异隐藏在了密度矩阵中,而不是实际地显示出来。
应用
对于N态体系(N也许等于∞),一个纯态波函数由N个复数以及所有的相位多值(即2N − 1个实数)描述。而同一个系统,密度矩阵需要N个实对角元素加上N(N − 1)/2个复上对角元素,也即共N2个实数来描述。然而,通过对这些密度矩阵的迹的操作,加上可以处理混合态,密度矩阵形式可以在物理的多个领域有应用。特别是这个公式

简直就是量子统计力学的咒语。
推荐参考
28. U. Fano, ‘‘Description of states in quantum mechanics by density matrix and operator techniques,’’ Rev. Mod. Phys. 29, 74–93 1957 .
29. K. Blum, Density Matrix Theory and Applications, 2nd ed. Plenum, New York, 1996 .
历史
密度矩阵在此文首次提出。
30. J. von Neumann, ‘‘Wahrscheinlichkeitstheoretischer Auf bau der Quan- tenmechanik,’’
‘‘Probability theoretical arrangement of quantum me- chanics’’ , Nachr. Ges. Wiss. Goettingen,245–272 1927 , reprinted in Collected Works Pergamon, London, 1961 , Vol. 1, pp. 208–235.
6、二次量子化形式
这种形式起重要作用的是生成和湮灭(粒子)算符。其发展与量子场论有关,在量子场论中这些作用(生成/湮灭)是真实的物理效应(例如,一个电子和一个正电子湮灭生成一个质子)。不过这种形式却有着广泛的应用领域,特别是可以应用到系统包含大量(但却恒定)全同粒子的多粒子理论当中。
这种形式不幸的名字要归因于历史原因——是站在非相对论量子力学的角度起的名字。更好的名字应该叫“占有数形式”。
二次量子生成算符
会在量子态|ψ⟩ “生成”一个粒子。单粒子态是由作用到一个没有粒子的态(真空态)|0⟩上形成的。因此下面这几个不同的表示都是描述的相同的单粒子态

所以如果只考虑单粒子体系的话,二次量子化形式和波函数形式是等价的(甚至看起来有些笨拙)。
多粒子体系会怎么样呢?假设|ψ⟩,|ϕ⟩和|χ⟩是正交的单粒子态。那么一个具有两个全同粒子的态是由真空态生成两个粒子产生的,例如
。如果这两个全同粒子是玻色子,那么

如果是费米子

这说明了一个广义的规则:玻色子生成算符满足对易关系

费米子生成算符满足反对易关系

(这里反对易标记{A, B} = AB + BA。)二次量子化标记在多粒子体系中的有明显的优势。很多物理学家同意下面这两个式子是等价的:

显然用第一个更简单。如果还没感觉,可以看看下面这个对比

其等价形式为

当然二次量子化最大的优点还不仅仅是使标记变得简洁。波函数形式允许你——事实上,它很容易使你——写下这样的表达式

这个表达式在交换下既不是对称的也不是反对称的,所以这个表达式不会是任何全同粒子的量子态。但波函数形式并没有提供任何明显的警告说这个表达式是不合法的。而作为对比,在二次量子化形式中,根本就不可能写出一个像上面这样的表达式——对称性(或反对称性)会通过生成算符的对易关系(或反对易关系)自动具备,所以在二次量子化形式中只有合法的态才会被表达。由于这个原因,二次量子化形式在多粒子理论中被广泛的使用。
推荐参考
31. H. J. Lipkin, Quantum Mechanics: New Approaches to Selected Topics North-Holland,Amsterdam, 1986 , Chap. 5.
32. V. Ambegaokar, ‘‘Second quantization,’’ in Superconductivity, edited by R. D. Parks MarcelDekker, New York, 1969 , pp. 1359–1366.
33. W. E. Lawrence, ‘‘Algebraic identities relating f irst- and second- quantized operators,’’ Am. J.Phys. 68, 167–170 2000 .
这本书中有对二次量子化形式应用的广泛讨论:
34. G. D. Mahan, Many-Particle Physics, 3rd ed. Kluwer Academic, New York, 2000 .
历史
二次量子化由狄拉克研究光子时引入,随后由约旦(Jordan)和克莱因(Klein)扩展到有质量玻色子,由约旦和魏格纳扩展到费米子。
35. P. A. M. Dirac, ‘‘The quantum theory of the emission and absorption of radiation,’’ Proc. R.Soc. London, Ser. A 114, 243–265 1927 .
36. P. Jordan and O. Klein, ‘‘Zum Mehrko ̈rperproblem der Quantentheo- rie,’’ ‘‘On themany-body problem in quantum theory’’ , Z. Phys. 45, 751–765 1927 .
37. P. Jordan and E. Wigner, ‘‘U ̈ ber das Paulische A ̈ quivalenzverbot,’’ ‘‘On the Paulivalence line prohibition’’ , Z. Phys. 47, 631–651 1928 .
狄拉克和约旦-魏格纳的文章被重印。
38. J. Schwinger, editor, Selected Papers on Quantum Electrodynamics (Dover, New York, 1958).
7、变分形式
“变分形式”很容易和更为常见的“变分原理” 搞混。后者是给基态能量提供一个限制,而变分形式则可以给描述所有态(不只是基态)及其随时间的演化(不只是能量)提供一个完整的图像。变分形式类似于经典力学中的哈密顿原理。
在这种形式中核心概念仍然是波函数
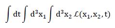
,但其随时间演化的规则不再是薛定谔方程。让我们再一次考虑一个非相对论的忽略自旋的两粒子体系。在所有可能的归一化波函数,正确的那个波函数必需满足使时间和共形空间的积分作用量达到极小值:

其中“拉格朗日密度”为

这里Im{z}的意思是的虚部。不难证明一点,即此处的极小值准则等价于薛定谔含时方程。
应用
在实际应用层面,这种形式可以直接和变分原理联系在一起,用来估计基态能量。在基础理论层面,我们注意到场变分技巧常常规定物理规律的形式必须满足洛伦兹不变性。这在以下三个方面扮演着很重要的角色:
1)在电磁理论中
39. J. Schwinger, L. L. DeRaad, Jr., K. A. Milton, and W. Tsai, Classical Electrodynamics Perseus Books, Reading, MA, 1998 , especially Chaps. 8 and 9,
2)在广义相对论(希尔伯特形式)中
40. C. W. Misner, K. S. Thorne, and J. A. Wheeler, Gravitation Freeman, San Francisco, 1973 , Chap. 21,
3)量子场论中
41. C. Itzykson and J.-B. Zuber, Quantum Field Theory McGraw-Hill, New York, 1980 .
正是由于这个原因,现在人们更喜欢以变分形式作为工具把物理拓展到新领域。例如超对称弦/膜:
42. E. Witten, ‘‘Reflections on the fate of spacetime,’’ Phys. Today 49, 24–30 April 1996 .
43. E. Witten, ‘‘Duality, spacetime and quantum mechanics,’’ Phys. Today 50, 28–33 May 1997 .
但是,在以下这些情况中,变分形式并不直接参与其中:
1)具有固有的非相对论性质;
2)涉及时间和共形空间的积分,而不是时间和物理空间的积分。
推荐参考
44. P. M. Morse and H. Feshbach, Methods of Theoretical Physics McGraw-Hill, New York, 1953 , pp. 314–316 and 341–344.
【注意:在这份参考文献中拉格朗日密度的定义与前文中的有相反的符号,所以Morse和Feshbach的积分作用量在正确的波函数下是极大值,而不是极小值】
历史
这种形式源于该文献(同一篇文章,介绍了有质量玻色子的二次量子化):
45. P. Jordan and O. Klein, ‘‘Zum Mehrko ̈rperproblem der Quantentheo- rie,’’ ‘‘On the many-body problem in quantum theory’’ , Z. Phys. 45, 751–765 1927 .
8、导航波形式(德布罗意-波姆)

路易·维克多·德布罗意
我们用一个电子和一个质子(忽略自选)系统的例子来概括导航波形式。在经典力学中这个系统在数学上用三维中两个点的运动轨迹来描述。在波函数形式中这个系统由包含六维共形空间的复值波函数描述。在导航波形式中这个系统则同时由物理空间中的两点和共形空间中的波函数描述。波函数在此称为“导航波”,这个导航波(依据其经典势能函数)给两个点提供信息告诉它们该怎么运动。
导航波形式最常引用的版本是波姆的(但也应该看一下Durr,Goldstein、Zanghi等的版本)。在波姆的版本中波函数的形式为

如果我们定义量子势依赖于态

那么我们的导航波随时间的演化为

及

其中

第一个方程类似于一个哈密顿-雅可比方程;第二个方程就像一个连续性方程,其中P代表概率密度。
这两个点粒子运动的加速度为

及

换句话说,力不仅仅由经典势的梯度提供,还有量子势的梯度。点粒子的初始势能是不确定的:对于系统整体,初始势的概率密度为
。因此和质子有关的粒子及和电子有关的粒子都有一个确定的位置和动量;不过初始的整体不确定性及量子势共同使得对任何一个系综的测量集都必然满足ΔxΔp ≥ ℏ/2。
波函数改变时,量子势
会在共形空间中立即改变,这种机制对量子力学中典型的非局域相关性有贡献。当然有一个更自然的机制阻止了人们把这种即时改变用到超光速的信息交流。
应用
要用导航波形式,我们必须同时计算轨迹和波函数,所以并不奇怪,在计算上对于大部分问题这种形式都是非常复杂的。例如双缝干涉现象,这个常常会在大二现代物理问题中用波函数形式解决,但在导航波形式中则需要很高的计算技巧:
46. C. Philippidis, C. Dewdney, and B. J. Hiley, ‘‘Quantum interference and the quantum potential,’’ Nuovo Cimento Soc. Ital. Fis., B 52, 15–28 1979 .
但另一方面,导航波形式在考虑量子力学基本特性的问题上却很有效。例如贝尔(John Bell)关于定域性的划时代理论,其量子理论就受到导航波形式的启发。且很多聪明的研究者发现导航波形式本身具有很深刻含义。例如:
47. J. S. Bell, ‘‘Six possible worlds of quantum mechanics,’’ in Possible Worlds in Humanities, Arts and Sciences: Proceedings of Nobel Sympo- sium 65, 11–15 August 1986, edited by S. Alle ́n Walter de Gruyter, Berlin, 1989 , pp. 359 – 373. Reprinted in J. S. Bell, Speakable and Unspeakable in Quantum Mechanics Cambridge University Press, Cambridge, UK, 1987 , Chap. 20, pp. 181–195.
48. H. P. Stapp, ‘‘Review of ‘The Undivided Universe’ by Bohm and Hi- ley,’’ Am. J. Phys. 62, 958–960 1994 .
推荐参考
49. D. Bohm, B. J. Hiley, and P. N. Kaloyerou, ‘‘An ontological basis for the quantum theory,’’ Phys. Rep. 144, 321–375 1987 .
50. D. Bohm and B. J. Hiley, The Undivided Universe: An Ontological Interpretation of Quantum Theory Routledge, London, 1993 .
51. D. Du ̈rr, S. Goldstein, and N. Zangh ́ı, ‘‘Quantum equilibrium and the origin of absolute uncertainty,’’ J. Stat. Phys. 67, 843–907 1992 .
历史
路易斯.德.布洛意在1927年索维会议上首次提出这种形式。但该想法的主要发展开始于:
52. D. Bohm, ‘‘A suggested interpretation of the quantum theory in terms of ‘hidden’ variables, I and II,’’ Phys. Rev. 35, 166–179 and 180–193 1952 .
9、哈密顿-雅可比形式

威廉·哈密顿
经典哈密顿-雅可比形式可以系统地找到变量的变化,因此由此导出的运动方程是完备的。特别是,其结果如果用另外一组称为“作用角”形式的新变量表示,那么我们可以无需知道运动本身是什么样的,就能得到周期运动的周期。
经典哈密顿-雅可比理论给量子力学的发展提供了重要的启发。(狄拉克的“变换理论”也同样强调了变量变换的方法,Wilson-Sommerfeld版的旧量子理论依赖于作用角的变量。)但直到1983年Robert Leacock和Michael Pagdett对其作出拓展,才被认为是一个完整的哈密顿-雅可比形式的量子力学。这种形式的核心概念是“哈密顿原理函数”
,于是

【注意:这个函数可能是复的,这里的S不是导航波中定义的S】哈密顿原理函数满足量子哈密顿-雅可比方程

【注意:“量子哈密顿-雅可比方程”这个名称除了应用于这个方程,也应用于导航波方程】
如果其结果换成以作用角的形式表示,那么这个形式可以在不需要知道本征函数的情况下得到能量本征值。
推荐参考
53. R. A. Leacock and M. J. Padgett, “Hamilton–Jacobi/action-angle quan- tum mechanics”, Phys. Rev. D 28, 2491–2502 1983 .
54. R. S. Bhalla, A. K. Kapoor, and P. K. Panigrahi, “Quantum Hamilton– Jacobi formalism and the bound state spectra”, Am. J. Phys. 65, 1187– 1194 1997 .
55. J.-H. Kim and H.-W. Lee, “Canonical transformations and the Hamilton–Jacobi theory in quantum mechanics”, Can. J. Phys. 77, 411–425 1999 .
10、总结和结论
我们上面已经讨论了九种不同形式的量子力学。在这个过程中我们学到了什么?可能我们在经典力学中已经领教过了,而且在日常生活中也学到过,即:“没有万能药”。这里的每一种形式都会在一些应用上更容易或者理论的某些方面更明晰,但是没有一个形式能够成为“通往量子力学的捷径”。量子力学在我们经典的眼睛中看起来很奇怪,所以当直觉欺骗我们时,我们采用数学作为我们的可靠指南。这几个各种形式的量子力学可以重新组织这种奇异性,但它们不能把这种奇异性给消除掉。
矩阵形式,被发现的第一种形式,在解决谐振子和角动量问题中很有用,但用来解决其它问题就比较困难了。最流行的波函数形式是解决问题的标准形式,但却给人留下一个概念上的错误印象——让人误以为波函数是一个物理实体,而不是一个数学工具。路径积分形式在物理上是吸引人的,且能够推广到超出非相对论量子力学的领域当中去,但其大多数的应用上都是很费力的。相空间形式在考虑经典极限时是很有用的。密度矩阵形式可以很容易地处理混合态,所以它在统计力学中有特别的价值。这对二次量子化形式也是正确的,特别是当系统包含大量全同粒子时,二次量子化尤为重要。变分形式在应用上很少会是一个好的工具,但在把量子力学推广到未知领域却有着很大的价值。导航波形式给出了一些概念性的问题。而哈密顿-雅可比形式则方便我们去解决其他一些难处理的约束态问题。
我们很幸运地生活在这样一个宇宙,自然提供给我们了这样的恩赐。
三、附加问题
本节探讨两种量子力学的诠释(这两种诠释也可能会被视作量子力学的形式),然后简单讨论一点四个别的内容。
1、多世界诠释(埃弗雷特(Everett))

多世界诠释处在“形式”和“诠释”的边缘————事实上其创始人休.埃弗雷特(Hugh Everett)称之为“相对态形式”,不过布莱斯.德威特(Bryce DeWitt)给它命名的“多世界诠释”流传更广。
在这种诠释中,没有“波函数的塌缩”这回事。这个时候问题从“世界中发生了什么?”变成“一个特定的故事线上发上了什么?”。这种观点的改变可以用一个例子很好地说明:如果一个女科学家不能下定决心是结婚还是推掉婚约,她没有抛硬币来决定,而是将一个圆偏振的光子发射到偏振片上,如果从偏振片中出来一个线偏的光子,光子探测器将记录下这个信号,并触发一个铃铛响起。这个女科学家事先决定,如果铃响她就出嫁;否则她就保持单身。在波尔的量子力学版本中,问题将是“发生了什么”,答案是这个女科学家有50%的可能结婚,50%的可能推掉婚约。而在埃弗雷特的版本中,问“发生了什么”是不正确的,因为这两件事都发生了:有一条故事线是线偏光子射出,铃响,结婚;而还有另一条故事线,光子被吸收,没有铃响,婚约终止。每一条故事线都是存在的。要想知道我们生活在哪一条故事线上,我们只需要简单地看一下这个科学家的婚姻状态即可。如果她结婚了,那么我们就生活在那条线偏光子射出继而铃响的故事线上;否则就是生活在另一条故事线上。“发生了什么”这个问题是不恰当的——我们应该问“在一条特定的故事线上发生了什么”。(就像问“到芝加哥有多远”这个问题是不恰当的,而应当问“从旧金山到芝加哥又多远”一样)
在这个相对态形式中,波函数从来都没塌缩——它只是一直地这么分叉下去。而每一个分支都是相容的,没有哪个分枝比别的分枝更好。(在多世界版本中,我们说共存分支宇宙,而不是多故事线。)概括来说,相对态理论更强调相关性,而避免塌缩。
应用
相对态形式在数学上等价于波函数形式。所以并没有任何技术上的原因使我们选择一个而不选另一个。但是另一方面,我们发现相对态形式的概念方面,对是否会变成不活跃的基态有深刻的解释。例如,大卫.多伊奇在1985年的论文(该论文催生了量子计算这个肥沃的领域)中他表达了自己的观点:“除了埃弗雷特的解释外,其他所有的量子理论的解释对量子计算性质的直观说明都是无法忍受的。”
56. D. Deutsch, ‘‘Quantum theory, the Church-Turing principle and the uni- versal quantum computer,’’ Proc. R. Soc. London, Ser. A 400, 97–117 1985 .
推荐参考
57. H. Everett III, ‘‘ ‘Relative state’ formulation of quantum mechanics,’’ Rev. Mod. Phys. 29, 454–462 1957 .
58. B. S. DeWitt and N. Graham, in The Many-Worlds Interpretation of Quantum Mechanics Princeton University Press, Princeton, NJ, 1973 .
59. Y. Ben-Dov, ‘‘Everett’s theory and the ‘many-worlds’ interpretation,’’ Am. J. Phys. 58, 829–832 1990 .
60. B. S. DeWitt, ‘‘Quantum mechanics and reality,’’ Phys. Today 23, 30–35 September 1970 .
61. L. E. Ballentine, P. Pearle, E. H. Walker, M. Sachs, T. Koga, J. Gerver, and B. DeWitt, ‘‘Quantum mechanics debate,’’ Phys. Today 24, 36–44 April 1971 .
2、交易诠释(克莱默)
交易诠释(The Transactional Interpretation)是比较清晰和有价值的,但却很难用一个简单的指南来描述这种诠释,所以很多考察过这种诠释的人觉得它有点儿怪异。如果我们这里简短的介绍让你产生了误解,那么强烈建议你查阅一下参考文献。
在交易诠释中,源和探测器,假设是电子,它会发射出延迟波(retarded wave)(顺着时间行进)和超前波(advanced wave)(逆着时间行进),形成驻波。一个由源向探测器移动的电子,包括一个从源出发的“出价波”(Offer Wave,相应于ψ)和一个从探测器出发的“确认波”(Confirmation Wave,相应于ψ∗),它们相互干涉产生一个“跨时空的握手”。在电子还没有离开源之前,两个波之间破坏性的干涉(此时两者相互抵消)会确保电子不可能到达探测器;在电子发出之后,其建设性的干涉会在源和探测器之间形成一个具有完整振幅的波,两个波之间交易的程度决定了粒子撞击到探测器上的概率。
应用
根据克莱默的说法,“交易诠释……和传统的量子力学(即波动形式)预测的结果没什么区别……我们发现它作为决定用哪些量子力学计算的指南更有用,而不是去做这种计算……交易诠释的主要用途是作为一个概念模型,为用户提供了一种方法,使得用户有一个清晰的可视化的复杂量子过程,并能快速分析看似“矛盾”的情境。在对那些至今仍然很神秘的量子现象的直觉理解方面,交易诠释看起来也是有很大价值的。”例如,在交易诠释中,波函数坍缩不会出现在任何一个特定的时间点,而是“非时间性的”(atemporal),发生于整个交易过程——出价波与确认波发生交互作用所在的时空区域。这些波被视为在物理上是真实存在的,而不是一个数学道具。
全同粒子
交易诠释的讨论通常在单粒子量子力学的背景下进行的。我们不清楚的是,在一个二粒子系统中是否有两个“跨时空的握手”或者一个“共形时空的握手”。因此,我们在此无法解释交易诠释如何区分玻色子和费米子。
推荐参考
62. J. G. Cramer, ‘‘The transactional interpretation of quantum mechanics,’’ Rev. Mod. Phys. 58, 647–687 1986 .
63. J. G. Cramer, ‘‘An overview of the transactional interpretation of quan- tum mechanics,’’ Int. J. Theor. Phys. 27, 227–236 1988 .
64. J. G. Cramer, ‘‘Generalized absorber theory and the Einstein–Podolsky–Rosen paradox,’’ Phys. Rev. D 22, 362–376 1980 .
原文来源: DOI: 10.1119/1.1445404
互动问题
【互动问题:你见过最硬核的问题是什么?】
请大家严格按照 互动:问题答案的格式在评论区留言参与互动,格式不符合要求者无效。
截止到本周四中午12点,点赞数前三名的朋友将获得我们送出的图书一本。
编辑:loulou
近期热门文章Top10
↓ 点击标题即可查看 ↓
1. 首届黑洞PS大赛来袭!为了这张「高糊」的图,中国科学家做出了啥贡献?
2. 物理学四大神兽,除了“薛定谔的猫”还有谁?
3. 地下多大的金矿才能影响到单摆实验?| No.149
4. 为什么用木棍打衣服就可以洗干净衣服?| No.150
5. 为了替你出气,我们给讨厌的杨柳絮来个「以暴制暴」
6. 玩扫雷还有什么技巧?科学家的玩游戏方法你绝对想不到
7. 在我国,没有任何一张地图能告诉你你的真实位置
8. 在客户鱼嘴里提供服务的小清洁虾、清洁鱼,是怎么知道自己不会被吃掉的呢?
9. 你以为土拨鼠只会尖叫?其实它可能正在骂你
10. 你知道为了测博尔特的速度,我们有多努力嘛?