随着中考命题的不断创新,对于既能考查学生分析问题能力,又能考查学生思维创新素养的题目,越发受命题者的青睐,类比探究问题,知识的关联度较高,但若能结合条件和图形特征,合理类比探究,迁移应用,便能快速获得解决问题的途径.

引例
在公路l的一侧从A至B有一排楼房(图1—1)。想在公路上的任何一处拍一张正面快照,如何选择公路上的点,使拍摄的一排楼房的取景角最大。所谓取景角即为∠ACB。
用数学的语言来说就是已知同一平面上两点及一直线,(两点代表一排楼房的两端,一直线代表公路),两点在直线的同侧,在已知直线上求一点C,使AC与BC的夹角∠ACB最大。
分析:两点在l的同侧,但其位置可能出现三种情形
(1)两点的连线与l平行。(见图1—1)

A、B表示一排楼房的两个端点,直线l表示公路,你很自然地会想到,作线段AB的垂直平分线交l于C点,连接AC和BC,则夹角∠ACB最大。点C由此而得到。
(2)两点的连线与l垂直。(见图1—2)

若还是采用上述方法,由于AB的垂直平分线与l 是互相平行的,它们的交点并不存在,所以原有的方法不能采用,下面再看第3种情形。
(3)两点的连线与l斜交。(见图1—3)

由图1—3可以看到,虽然线段AB的垂直平分线与l的交点C是存在的,但是∠ACB<∠AC1 B,不是最大的夹角。在上述两种情形中可以看到,利用线段AB的垂直平分线与l的交点C,找最大夹角的方法并不一定是正确的方法,它不适合情形(2)和(3)。那么是否在直线l上一定存在一点X,连接AX,BX,使在这点处有∠AXB最大?

让我们设想一边沿着直线l走,一边看着线段AB,从直线l与A、B连线的交点出发往右行走(如图1—4)

在起点,面对AB的角度为0°,即X从起始位置开始向右缓缓移动,X在起始时的∠AXB= 0°,而后,角度逐渐增大:到了一定的点后,往后的趋势是当X离起始位置越来越远时,角度再次减少,在无穷远处,∠AXB= 0°。在角度为0°的两种极端情形之间。由这样的变化趋势可知,必定在这两者之间取得到最大值。因此一定存在点X,使得∠AXB的值最大。
由于直线是向两方无限沿伸,但到底在哪一点可以达到最大值?不妨在直线l上任选一点X,该点是我们随意取的这一点,不一定在我们所要求的最大值的位置上。
如果这一点是最大值的位置,显然已经求得。
如果这一点不在最大值的位置上,那么必有另一点,在最大值位置的另一侧,在该点所讨论的角度有相同的值,即是否在直线l上有另外一点X′,使∠AX′B=∠AXB?

在情形(3)中根据圆的有关圆周角的一个熟知的性质,X与X′(如果X′存在的话)。两点必在通过A、 B两点的同一圆周上。于是让我们通过已知点A、B画若干个圆。(如图1—5)。

如果这样一个圆与直线l 交于两点X与X′,那么同弦所对的圆周角相等,即∠AXB=∠AX′B。这个圆中弦XX′上的任意点Y一定有∠AYB>∠AXB(同弦所对的圆内角大于圆周角)。于是∠AXB不是最大的角。只有与直线l相切圆的切点M,才能使观察AB的角度达到最大。(即图2—5中的∠AMB)。
解:(如图1—6所示)
设经过A、M、B三点的圆的圆心为O,半径为R;经过A.X′、X、B的圆的圆心为O′,半径为R′。则O与O′必在AB的垂直平分线上。设AB的中点为C。

因为∠AMB、∠AXB是圆周角,而∠AOB,∠AO′B是圆心角,

在 Rt△ACO和 Rt△ACO′中

由于R<R′

由此可得∠AMB>∠AXB
拓展
这是第3种情形下的解题证明过程。而对于第2种情形同样可以通过此题来证明。但也可推广到用解析几何的解题方法来加以证明。
以直线l为x 轴,A、B的连线为y轴建立直角坐标系(如图1—7)所示。

设A点到x 轴的距离(即为到直线l的距离)为a、B点到x轴的距离为b,X即为l上的任一点,∠AXB即为所求的最大的角。
设∠AXO=α,∠BXO=β,则∠AXB=β-α,OX= x,




反思
我们知道在地图上或地形图上的一条等高线是连接图上所表示地面海拔高度相同的点而成的一条曲线。如果你想象海平面升高100米,那么漫入海湾的一条新海岸线将随这个新海平面的上升而出现,这条新的海岸线就是高度为100米的等高线。绘图者仅需画几条相等间隔的等高线,例如100米, 200米, 300米,……;可以认为,在每一高度上都有一条等高线。这样,利用等高线就可以知道地图上每一点的海拔高度。
类比是比较某种类型的相似性,可以说它是一种更确定的和更概念性的相似。问题中的圆弧相当于"等高线"。除此之外,在足球场上,足球运动员带球射门(如图1—8所示)把门框的两边可以看作是两端点A、B,运动员带球前进所站的位置即为所求的点C,使得∠ACB这个射角尽可能大。当然在比赛中运动员不可能去具体地计算这个角度的大小,只不过是相类似的问题而已。

应用
哪儿是观赏的最佳位置
当进入博物馆的展览厅时,你有否留意分隔观赏者和展品的围栏所放的位置?对于你的高度而言,你认为它的位置恰当呢?

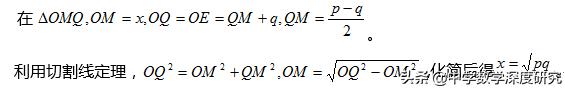
要找出围栏摆放的适当位置,首先须知道对于一般高度的参观者何处观赏最理想。在图中最佳的位置就是当展品的最高点P和最低点Q与观赏者的眼E所形成的视角θ为最大。
为了找出最大视角θ的位置,作圆(O为圆心)通过P和Q,与水平线HE相切于E点。根据圆形的特性,同弧上的圆周角会较其他圆外角为大(θ>0)。因此,眼睛处于E点时,观赏的视觉最大。
设x为观赏者离开展品的水平距离;而p和q分别为展品的最高点和最低点与观赏者高度的差距。

在考虑展览厅内摆设围栏的位置时,只须要估计一般入场参观者的高度,而又知道展品本身的长度和安放的高度,便知道如何安置围栏,方便进场的人找个理想的观赏位置。


总结
康德说过:"每当理智缺乏可靠论证的思路时,类比这个方法往往能指引我们前进。"在数学学习中,我们常常会有"似曾相识"的感觉,而且在不同分支、不同领域中会感到某种类似的成份。如果我们把这些类似进行比较,加以联想的话可能出现许多意想不到的结果和方法,这种把类似进行比较、联想,由一个数学对象已知特殊性质迁移到另一个数学对象上去,从而获得另一个对象的性质的方法就是类比思想法。比推理的过程,是从特殊到特殊,由此及彼的过程,可谓"他山之石,可以攻玉"。
PAGE