一、俗名
无机部分:
纯碱、苏打、天然碱 、碱:Na2CO3
小苏打:NaHCO3
大苏打:Na2S2O3
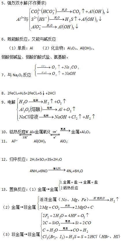
石膏(生石膏):CaSO4.2H2O
熟石膏:2CaSO4·.H2O
莹石:CaF2 重晶石:BaSO4(无毒)
碳铵:NH4HCO3
石灰石、大理石:CaCO3
生石灰:CaO 食盐:NaCl
熟石灰、消石灰:Ca(OH)2
芒硝:Na2SO4·7H2O (缓泻剂)
烧碱、火碱、苛性钠:NaOH
绿矾:FaSO4·7H2O
干冰:CO2
明矾:KAl (SO4)2·12H2O
漂*粉白**:Ca (ClO)2 、CaCl2(混和物)
泻盐:MgSO4·7H2O
胆矾、蓝矾:CuSO4·5H2O
双氧水:H2O2
皓矾:ZnSO4·7H2O
硅石、石英:SiO2
刚玉:Al2O3
水玻璃、泡花碱、矿物胶:Na2SiO3
铁红、铁矿:Fe2O3
磁铁矿:Fe3O4
黄铁矿、硫铁矿:FeS2
铜绿、孔雀石:Cu2 (OH)2CO3
菱铁矿:FeCO3
赤铜矿:Cu2O
波尔多液:Ca (OH)2和CuSO4
石硫合剂:Ca (OH)2和S
玻璃的主要成分:Na2SiO3、CaSiO3、SiO2
过磷酸钙(主要成分):Ca (H2PO4)2和CaSO4
重过磷酸钙(主要成分):Ca (H2PO4)2
天然气、沼气、坑气(主要成分):CH4
水煤气:CO和H2
硫酸亚铁铵(淡蓝绿色):Fe (NH4)2 (SO4)2 溶于水后呈淡绿色
光化学烟雾:NO2在光照下产生的一种有毒气体
王水:浓HNO3与浓HCl按体积比1:3混合而成。
*热剂铝**:Al + Fe2O3或其它氧化物。 尿素:CO(NH2) 2
有机部分:
氯仿:CHCl3 电石:CaC2 电石气:C2H2 (乙炔)
*NTT**:三硝基甲苯 酒精、乙醇:C2H5OH
氟氯烃:是良好的制冷剂,有毒,但破坏O3层。
醋酸:冰醋酸、食醋 CH3COOH
裂解气成分(石油裂化):烯烃、烷烃、炔烃、H2S、CO2、CO等。
甘油、丙三醇 :C3H8O3
焦炉气成分(煤干馏):H2、CH4、乙烯、CO等。
石炭酸:苯酚 蚁醛:甲醛 HCHO
福尔马林:35%—40%的甲醛水溶液
蚁酸:甲酸 HCOOH
葡萄糖:C6H12O6
果糖:C6H12O6
蔗糖:C12H22O11
麦芽糖:C12H22O1
淀粉:(C6H10O5)n
硬脂酸:C17H35COOH
油酸:C17H33COOH
软脂酸:C15H31COOH
草酸:乙二酸 HOOC—COOH 使蓝墨水褪色,强酸性,受热分解成CO2和水,使KMnO4酸性溶液褪色。
二、 颜色
铁:铁粉是黑色的;一整块的固体铁是银白色的。
Fe2+——浅绿色 Fe3O4——黑色晶体
Fe(OH)2——白色沉淀 Fe3+——黄色
Fe (OH)3——红褐色沉淀 Fe (SCN)3——血红色溶液
FeO——黑色的粉末 Fe (NH4)2(SO4)2——淡蓝绿色
Fe2O3——红棕色粉末 FeS——黑色固体
铜:单质是紫红色 Cu2+——蓝色
CuO——黑色 Cu2O——红色 CuSO4(无水)—白色
CuSO4·5H2O——蓝色 Cu2 (OH)2CO3 —绿色 Cu(OH)2——蓝色
[Cu(NH3)4]SO4——深蓝色溶液
BaSO4 、BaCO3 、Ag2CO3 、CaCO3 、AgCl 、 Mg (OH)2 、三溴苯酚均是白色沉淀
Al(OH)3 白色絮状沉淀 H4SiO4(原硅酸)白色胶状沉淀
Cl2、氯水——黄绿色 F2——淡黄绿色气体 Br2——深红棕色液体 I2——紫黑色固体
HF、HCl、HBr、HI均为无色气体,在空气中均形成白雾
CCl4——无色的液体,密度大于水,与水不互溶 KMnO4--——紫色 MnO4-——紫色
Na2O2—淡黄色固体 Ag3PO4—黄色沉淀 S—黄色固体 AgBr—浅黄色沉淀
AgI—黄色沉淀 O3—淡蓝色气体 SO2—无色,有剌激性气味、有毒的气体
SO3—无色固体(沸点44.8 0C) 品红溶液——红色 氢氟酸:HF——腐蚀玻璃
N2O4、NO——无色气体 NO2——红棕色气体 NH3——无色、有剌激性气味气体
三、 现象:
1、铝片与盐酸反应是放热的,Ba(OH)2与NH4Cl反应是吸热的;
2、Na与H2O(放有酚酞)反应,熔化、浮于水面、转动、有气体放出;(熔、浮、游、嘶、红)
3、焰色反应:Na 黄色、K紫色(透过蓝色的钴玻璃)、Cu 绿色、Ca砖红、Na+(黄色)、K+(紫色)。
4、Cu丝在Cl2中燃烧产生棕色的烟; 5、H2在Cl2中燃烧是苍白色的火焰;
6、Na在Cl2中燃烧产生大量的白烟; 7、P在Cl2中燃烧产生大量的白色烟雾;
8、SO2通入品红溶液先褪色,加热后恢复原色;
9、NH3与HCl相遇产生大量的白烟; 10、铝箔在氧气中激烈燃烧产生刺眼的白光;
11、镁条在空气中燃烧产生刺眼白光,在CO2中燃烧生成白色粉末(MgO),产生黑烟;
12、铁丝在Cl2中燃烧,产生棕色的烟; 13、HF腐蚀玻璃:4HF + SiO2 = SiF4 + 2H2O
14、Fe(OH)2在空气中被氧化:由白色变为灰绿最后变为红褐色;
15、在常温下:Fe、Al 在浓H2SO4和浓HNO3中钝化;
16、向盛有苯酚溶液的试管中滴入FeCl3溶液,溶液呈紫色;苯酚遇空气呈粉红色。
17、蛋白质遇浓HNO3变黄,被灼烧时有烧焦羽毛气味;
18、在空气中燃烧:S——微弱的淡蓝色火焰 H2——淡蓝色火焰 H2S——淡蓝色火焰 CO——蓝色火焰CH4——明亮并呈蓝色的火焰 S在O2中燃烧——明亮的蓝紫色火焰。
19.特征反应现象:
图片
20.浅黄色固体:S或Na2O2或AgBr
21.使品红溶液褪色的气体:SO2(加热后又恢复红色)、Cl2(加热后不恢复红色)
22.有色溶液:Fe2+(浅绿色)、Fe3+(黄色)、Cu2+(蓝色)、MnO4-(紫色)
有色固体:红色(Cu、Cu2O、Fe2O3)、红褐色[Fe(OH)3] 黑色(CuO、FeO、FeS、CuS、Ag2S、PbS)
蓝色[Cu(OH)2] 黄色(AgI、) 白色[Fe(0H)2、CaCO3、BaSO4、AgCl、BaSO3]
有色气体:Cl2(黄绿色)、NO2(红棕色)
四、 考试中经常用到的规律:
1、溶解性规律——见溶解性表;
2、常用酸、碱指示剂的变色范围:
图片
3、在惰性电极上,各种离子的放电顺序:
阴极(夺电子的能力):Ag+>Hg2+ >Cu2+ >Pb2+ >Fe2+ >Zn2+ >H+ >Al3+>Mg2+ >Na+ >Ca2+ >K+
阳极(失电子的能力):S2- >I- >Br– >Cl- >OH- >含氧酸根
注意:若用金属作阳极,电解时阳极本身发生氧化还原反应(Pt、Au除外)
5、写电解总反应方程式的方法:(1)分析:反应物、生成物是什么;(2)配平。
例:电解KCl溶液:2KCl + 2H2O == H2↑+ Cl2↑+ 2KOH 配平:2KCl + 2H2O == H2↑+ Cl2↑+ 2KOH
6、将一个化学反应方程式分写成二个电极反应的方法:(1)按电子得失写出二个半反应式;(2)再考虑反应时的环境(酸性或碱性);(3)使二边的原子数、电荷数相等。
例:蓄电池内的反应为:Pb + PbO2 + 2H2SO4 = 2PbSO4 + 2H2O 试写出作为原电池(放电)时的电极反应。
写出二个半反应: Pb –2e- → PbSO4 PbO2 +2e- → PbSO4
分析:在酸性环境中,补满其它原子: 应为: 负极:Pb + SO42- -2e- = PbSO4
正极: PbO2 + 4H+ + SO42- +2e- = PbSO4 + 2H2O
注意:当是充电时则是电解,电极反应则为以上电极反应的倒转:
为: 阴极:PbSO4 +2e- = Pb + SO42- 阳极:PbSO4 + 2H2O -2e- = PbO2 + 4H+ + SO42-
7、在解计算题中常用到的恒等:原子恒等、离子恒等、电子恒等、电荷恒等、电量恒等,用到的方法有:质量守恒、差量法、归一法、极限法、关系法、十字交法 和估算法。(非氧化还原反应:原子守恒、电荷 平衡、物料平衡用得多,氧化还原反应:电子守恒用得多)
8、电子层结构相同的离子,核电荷数越多,离子半径越小;
9、晶体的熔点:原子晶体 >离子晶体 >分子晶体 中学学到的原子晶体有: Si、SiC 、SiO2=和金刚石。原子晶体的熔点的比较是以原子半径为依据的: 金刚石 > SiC > Si (因为原子半径:Si> C> O).
10、分子晶体的熔、沸点:组成和结构相似的物质,分子量越大熔、沸点越高。
12、氧化性:MnO4- >Cl2 >Br2 >Fe3+ >I2 >S=4(+4价的S) 例: I2 +SO2 + H2O = H2SO4 + 2HI
13、含有Fe3+的溶液一般呈酸性。 14、能形成氢键的物质:H2O 、NH3、HF、CH3CH2OH 。
15、*水氨**(乙醇溶液一样)的密度小于1,浓度越大,密度越小,硫酸的密度大于1,浓度越大,密度越大,98%的浓硫酸的密度为:1.84g/cm3。
16、离子是否共存:(1)是否有沉淀生成、气体放出;(2)是否有弱电解质生成;(3)是否发生氧化还原反应;(4)是否生成络离子[Fe(SCN)2、Fe(SCN)3、Ag(NH3)+、[Cu(NH3)4]2+ 等];(5)是否发生双水解。
17、地壳中:含量最多的金属元素是— Al 含量最多的非金属元素是—O HClO4(高氯酸)—是最强的酸
18、熔点最低的金属是Hg (-38.9C。),;熔点最高的是W(钨3410c);密度最小(常见)的是K;密度最大(常见)是Pt。
19、雨水的PH值小于5.6时就成为了酸雨。
20、有机酸酸性的强弱:乙二酸 >甲酸 >苯甲酸 >乙酸 >碳酸 >苯酚 >HCO3-
21、有机鉴别时,注意用到水和溴水这二种物质。
例:鉴别:乙酸乙酯(不溶于水,浮)、溴苯(不溶于水,沉)、乙醛(与水互溶),则可用水。
22、取代反应包括:卤代、硝化、磺化、卤代烃水解、酯的水解、酯化反应等;
23、最简式相同的有机物,不论以何种比例混合,只要混和物总质量一定,完全燃烧生成的CO2、H2O及耗O2的量是不变的。恒等于单一成分该质量时产生的CO2、H2O和耗O2量。
24、可使溴水褪色的物质如下,但褪色的原因各自不同:烯、炔等不饱和烃(加成褪色)、苯酚(取代褪色)、乙醇、醛、甲酸、草酸、葡萄糖等(发生氧化褪色)、有机溶剂[CCl4、氯仿、溴苯、CS2(密度大于水),烃、苯、苯的同系物、酯(密度小于水)]发生了萃取而褪色。
25、能发生银镜反应的有:醛、甲酸、甲酸盐、甲酰铵(HCNH2O)、葡萄溏、果糖、麦芽糖,均可发生银镜反应。(也可同Cu(OH)2反应) 计算时的关系式一般为:—CHO —— 2Ag
注意:当银氨溶液足量时,甲醛的氧化特殊: HCHO —— 4Ag ↓ + H2CO3
反应式为:HCHO +4[Ag(NH3)2]OH = (NH4)2CO3 + 4Ag↓ + 6NH3 ↑+ 2H2O
26、常见的胶体:液溶胶:Fe(OH)3、AgI、牛奶、豆浆、粥等;气溶胶:雾、云、烟等;固溶胶:有色玻璃、烟水晶等。
27、污染大气气体:SO2、CO、NO2、NO,其中SO2、NO2形成酸雨。
28、环境污染:大气污染、水污染、土壤污染、食品污染、固体废弃物污染、噪声污染。工业三废:废渣、废水、废气。
29、在室温(20C。)时溶解度在10克以上——易溶;大于1克的——可溶;小于1克的——微溶;小于0.01克的——难溶。
30、人体含水约占人体质量的2/3。地面淡水总量不到总水量的1%。当今世界三大矿物燃料是:煤、石油、天然气。石油主要含C、H地元素。
31、生铁的含C量在:2%——4.3% 钢的含C量在:0.03%——2% 。粗盐:是NaCl中含有MgCl2和 CaCl2,因为MgCl2吸水,所以粗盐易潮解。浓HNO3在空气中形成白雾。固体NaOH在空气中易吸水形成溶液。
32、气体溶解度:在一定的压强和温度下,1体积水里达到饱和状态时气体的体积。
五、无机反应中的特征反应


