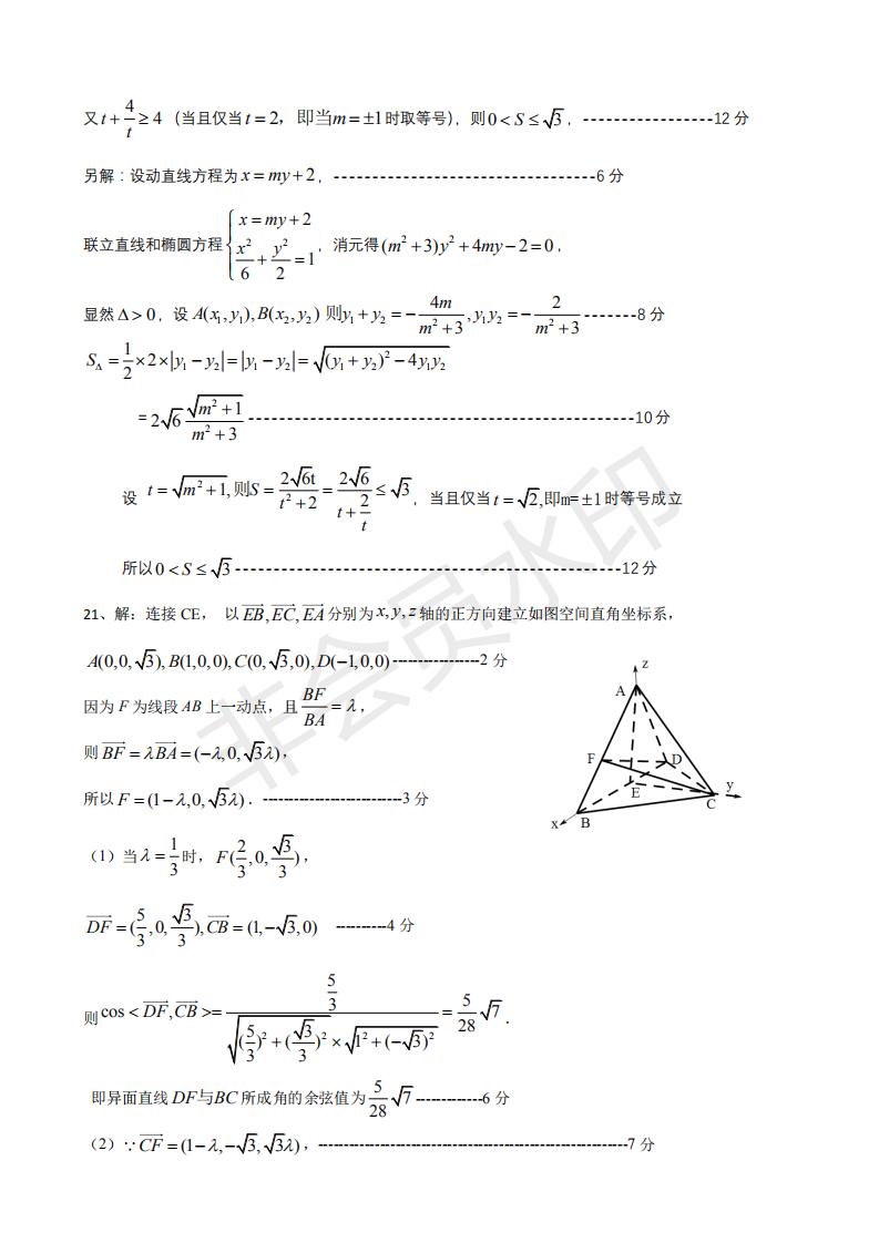
三明市2020-2021高二数学期末卷 (福建三明高二数学期末考)

三明市2019年高二数学期末考试卷,福建三明高二数学期末考

三明市2019年高二数学期末考试卷,福建三明高二数学期末考

三明市2019年高二数学期末考试卷,福建三明高二数学期末考

三明市2019年高二数学期末考试卷,福建三明高二数学期末考

三明市2019年高二数学期末考试卷,福建三明高二数学期末考

三明市2019年高二数学期末考试卷,福建三明高二数学期末考

三明市2019年高二数学期末考试卷,福建三明高二数学期末考

三明市2019年高二数学期末考试卷,福建三明高二数学期末考

三明市2019年高二数学期末考试卷,福建三明高二数学期末考