为什么赌博最后会输凯利公式 (如何理解凯利赌博公式)

关注我,每天分享一个认知文丨善因

(01)

彩票站的屋子里总是挤满了想要一夜暴富的有志中青年,他们怀揣着一个梦,立志要快速成为一个有钱人,一个人上人。

凯利公式赌徒输光定律,凯利公式解释赌博为什么会输

每个人都有梦想,只不过有的人找对了方法,有的人没有找对方法。

每个人对方法的辨别,靠的是他自己的认知。

每个人都想赚钱,有的人选择做生意,有的人选择工作,有的人选择买彩票,有的人选择赌博。

这个世界上没有人是傻子,每个人的选择都包含着他自有的逻辑。

只是这个逻辑是真是假,他们不知道而已。

(02)

买彩票的人觉得自己能赢,这里面分三大派别:

第一派是技术派,他们会科学的分析每次的抽奖结果,根据大数据和概率学进行购买;

第二派是直觉派,他们的理论基础是倚靠和相信自己的直觉,他们往往相信某一天的感觉,实操上以随机购买为主;

第三派是坚持派,他们常年购买一个相同的号码,理论基础应该是“风水轮流转”,相信坚持就会胜利。

按照数学来算,双色球的头奖几率是一千七百七十万分之一,理论上,每个人都有可能中,同时,理论上,中奖的概率约等于零。

所以,买彩票基本上算是赌了,还赌不赢。

但这依然无法阻止人们对梦想的渴望,在彩票站的客户们总是很喜悦的,他们有希望。

(03)

除了彩票之外,有很多人直接赌博,希望实现人生赢家,殊不知害人害己。

凯利公式赌徒输光定律,凯利公式解释赌博为什么会输

社会的问题是人和家庭问题的放大,就像是蝴蝶效应一样,当一个人参与了赌博,接下来的行径会牵连到他身边很多的关系链,最终导致社会问题。

放弃吧,因为你永远也赢不了凯利公式。

什么是凯利公式?我们看一下它是怎么来的。

(04)

凯利是一个人名,他是美国电报电话公司贝尔实验室的科学家。1955年,美国一个叫做64000 dollar question的电视节目风靡全美,只要答题就能累积奖金,随之而来的就是围绕节目的赌盘。但由于那个年代电视通讯延时,而这个节目又是电视直播节目,所以就有了空子。

——只要提前知道结果,赶在直播的时候下注,那么就能赢!

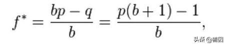
受到启发,凯利在期刊上发表了一篇论文,借用香农(一位学者)在通讯噪音中使用的数学模型,做出了轰动的凯利公式。一个在*彩博**同时也是在投资领域中应用广泛的公式:

凯利公式赌徒输光定律,凯利公式解释赌博为什么会输

在这个里面,f*代表应该投入的资本占总资本的比例;

p代表获胜的概率;

q代表失败的概率;

b代表*率赔**;

我们通过一个例子看一下,有一个赌局是最简单的扔硬币下注,如果是正面,则得10元,如果是反面,亏掉本金,如果你有200块钱,随意押注,你会怎么做呢?

有的人是干脆主义,要做就做大,一次性200全压上,反正50%概率,要么就得2000,大不了就亏掉,这是很多赌徒的心态!

凯利公式告诉我们什么?我们只拿45%的钱,即90块去参与,是最佳策略。

我们详细计算一下:硬币抛出正反面的概率都是50%,所以p,q的数值都是0.5,*率赔**是10,所以带入公式:(bp-q)÷b=(10×0.5-0.5)÷10=0.45,即45%。

但是各位,市面上有50%概率,让你10倍*率赔**的事情吗?

最终的f*会无限接近0!也就是说,我们要拿来赌的资金,要无限接近于零。

这还是在绝对公平开放的情况下,我们得出的数据。但真实的赌局非常的精密,早已设计好了概率、级数等你看不到的细节。

一切都是一个局,只是有的人身在局内,看不到真相。

澳门赌王何鸿燊曾经请教赌神叶汉:如果赌客总是输的话,他们不来咱这怎么办?叶汉笑道:一次赌徒,一世赌徒,他们担心的是*场赌**不在怎么办?

凯利公式赌徒输光定律,凯利公式解释赌博为什么会输

不要赌博,不赌即为赢。

真正窥探到真相,才会让我们的行为更加科学有效。任何事情背后都有一个规律,洞察规律就是认知的过程,这并不难。

(*本文图片均来自网络)