澳门赌博界有一王一圣。分别是赌王何鸿燊,与赌圣叶汉。
何鸿燊曾经问过叶汉一个问题,那就是:如果赌客总是输钱,长久下去他们不愿意来怎么办?
叶汉笑了,正所谓一次赌徒,一世赌徒,他们担心的从来不是输的倾家荡产怎么办,而是担心*场赌**没了怎么办。因为他们觉得只要*场赌**还在,下一把就能翻盘。
可是他们并不知道,*场赌**从来就不存在所谓的运气。

现代*场赌**的所有设备和程序设计都蕴含了非常精妙的数学逻辑。一个*场赌**依靠的就是大数据分析和概率建模以及随机计算来盈利的。
当然很多精通科技文的大佬对于这些词也是很熟悉的原因很简单,因为我们的智能手机也是依靠这些运转起来的。
是的,无论是人工智能技术,还是*场赌**,都是建立在数学逻辑上的。
其中对于*场赌**来说最重要的两个就是大数定律和期望值定律。至于这两个定律到底是什么其实并不重要,重要的是,赌徒们永远不知道,和自己对赌的并不是运气,更不是装*家庄**,而是凯利、纳什这些数学家总结出来的一条条数学定理。
今天我们要讲的就是*场赌**的*b大**oss,凯利公式,只要有这条公式坐镇,那么就没有能在*场赌**依靠运气赢钱。

凯利公式,又名凯利方程式,是一种用在特定赌局中,让拥有正期望值的重复性为长期增长率最大化的一个公式。
这项公式不仅适用于二十一点,也适用于赌马、麻将、*球赌**、甚至股票市场之中。
这个公式的发现还要从1955年说起,当时美国有一个叫做64000 dollar question的电视节目,答题者通过不断答对题积累将近,一时间大量赌徒仿佛得到了新的玩具一样,不过因为当时的直播技术不成熟,所以东海岸的现场直播传到西海岸需要一定的时间,所以西海岸的赌徒就利用这个时间差,通过电话提前知道了比赛的结果,然后赶在西海岸直播开始之前下注。
而当时还是贝尔实验室的小职员,约翰·拉里·凯利他当时的研究的就是这个节目,尤其是其中关于电视信号传输协议的内容,他发现噪音干扰理论的数学模型,同样适用于投资者风险与收益的管理。

因为信息传输追求的是将噪音干扰引起的错误,降低到0,而投资者所追求的最大复利收益,也是把风险降低到0。
于是他在1956年发表了一篇论文,在论文中他提到:如果一个通信通道的输入符号代表一个偶然事件的结果,此时押注的可能性与他们的概率一致,这样,一个赌徒就可以利用被接收的符号给他的信息,来使他的钱不断增长。
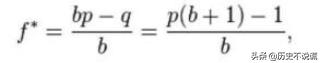
同时他还在这篇论文中,以赛马比赛为模型,推导出了大名鼎鼎的凯利公式:

换句话说,那就是没有把握,绝不下注。如果没有把握还要继续下注,那就基本上是百分百必输无疑了。
不过凯利终其一生也没有用这个公式进*场赌**赌博,因为他知道赌徒和普通人是两种生物,一旦进去就出不来了。真正能保持理智的只有操盘者。

反倒是他的同事索普,就拿着这个公式去拉斯维加斯大high特high。利用自己的数学天才,算出了每个赌桌的bp-q,轻松战胜了*家庄**。挣了很多钱一战成名,成为了当时的美国“赌神”。逼得众多*场赌**给他拉近了黑名单。
无独有偶,有一个叫张约翰的华裔,和一位叫马凯文华侨,也曾利用自己的数学天分,横扫了美国的各大*场赌**。

前者创办了美国麻省理工大学著名的算牌团,专门推演21点的相关算牌技巧。他可以说是一个教父级的赌神,不进曾经进入了BLACK JACK名人堂,更是被列在*场赌**黑名单的首位。不过后来他因为沉迷于从*场赌**中挣钱的感觉,毕业后不想找工作。就想赌钱。甚至不惜男扮女装也要混进*场赌**。一代数学天才就成为了赌博的奴隶。
而马凯文则更为传奇一些,他是十几年后加入算牌团的,被人称之为21点之王,他和他的朋友,转战美国各地,专玩21点,凭借“英特尔芯片”一般的算牌能力,横扫美国*场赌**。不过很显然,这样的人也会被*场赌**禁止进入。只不过和他那个点出了“女装”技能点的前辈不同,他点出来的技能点是“化妆”。他常常化妆成各种人,利用各种身份进入*场赌**。

他的故事甚至还被拍成了一部著名电影:《决胜21点》。
从某种意义上讲,赌博是最公平,也是最不公平的。因为现代*场赌**绝不会出老千,而是依靠现代数学规则,赚取超额利润。
由此可见数学是多么的重要。只有真正的数学家才能尝试从*场赌**挣大钱。
但是数学学习是一件非常枯燥的事情,远没有赌博有意思,所以很少有人会对数学产生兴趣。赌徒们也会经常失败。
不过抛开这一点,如果一个国家没有多少人对数学有兴趣,那么这个国家的发展也是非常困难的,因为现代科学的根基,就是数学。
所以,为了普及数学教育,民国著名数学教育家刘薰宇提出了一个非常有趣的观点:兴趣才是最好的老师。

他生前最常说的话就是生活处处皆数学。
在给学生授课的时候,经常使用一些小故事,激发学生的兴趣。
比如他曾经为了解释函数,造了一个关于书生取富家千金的故事:
一个穷书生娶了一个富家千金,结果富家千金脾气大,这个穷书生久而久之就变成了气管炎,没事儿就被老婆训。
于是穷书生决定要争口气,考一个功名给老婆看看。果然经过不懈努力,这个书生成功考中了状元当了官。
然而没想到的是,哪怕是自己考上了状元,当上了大官,还是天天被老婆训。于是就问老婆:怎么我功成名就了,你还天天训我。
书生老婆一笑,说:“我当初嫁给了一个穷书生,那我就是的穷人丫头;现在我嫁给的是大官,自然就是官太太。你说你个状元郎怎么这个水涨船高的道理你怎么都不懂。”
这就是数学上的函数,男人是x,女人是y,y总随x改变。
就通过这一个个小故事他培养出了一批又一批醉心于数学的人才。
杨振宁和谷超豪将其看做自己的精神导师;丰子恺看过他的著作后有一种相见恨晚的感觉。
这就是兴趣的魅力。

刘薰宇将自己一生的知识和理念都写在了自己的著作数学三书之中。上面的那个小故事就是我们从这本书中找到的。只要你给孩子购买这本书,就一定能让他喜欢上数学。
全套书一共三册,点击下面卡片了解详情
刘薰宇数学一套三本 给孩子的数学三书原来数学可以这样学
¥80
购买