
网络上常有一些质疑时间的声音,有人认为时间看不见摸不着,根本不存在,是人类弄出来的一种假象。
甚至有人打出爱因斯坦的牌子,说爱因斯坦也说时间不存在。这些人一边反着科学,一边还要打着科学家的旗号,实在滑稽。
时间是看不见摸不着,但我们能够确确实实的感觉到它的存在。我们的身体,身体里的细胞,都在不停的新陈代谢,人一出生,就渐渐长大,随后渐渐老去。这些就是时间的效应。
不但是我们人类,一花一木、一个细菌一个粒子,都是在时间的度量下,生生死死,兴兴衰衰。

爱因斯坦是第一位把时空物质糅合在一起的科学家,他在相对论中指出,时间、空间、物质三者为一体,不能分开解释。
这个世界没有独立的时间,也没有独立的空间,更没有不存在时间和空间的单独物质。
因此时间是一种客观存在,是度量物质运动、变化、持续性、顺序性的标尺,空间和物质存在是通过时间来体现的,没有时间就不会有空间和物质。
时间虽然具有客观性,但人类又把它赋予了主观的表现形式。如时分秒年月日,就是人类根据对大自然变化规律的认识,制定的时间刻度。
如果这个世界还有其他的文明存在,它们的主观时间刻度就可能完全与人类的刻度不一样,但它们的客观时间流逝也是一样的。
比如碳14的半衰期,用人类主观时间刻度衡量为5730年。如果地外文明测量碳14的半衰期,使用的主观衡量刻度肯定不会是5730年,因为它们的时间刻度完全与人类不一样。
它们的一年、一个月、一天都不可能与人类一样,而且计时方法或许完全与人类不同,也可能根本就没有年月日时分秒。但它们不管怎么计时,如果我们能够沟通,通过时间换算后,碳14的半衰期就完全是一样的。
这就是客观时间对碳14的标度,放之四海而皆准。

爱因斯坦相对论告诉我们,即便是客观时间也不是绝对的,而是相对的。
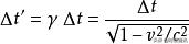
时间在不同的重力场和速度参照系,流逝的速度是不一样的,这就是时间的膨胀效应。
随着速度的加快,时间会发生尺缩钟慢效应,这个效应的体现就是速度越快时间越慢,距离越短。另一方面,重力场越大,时间也会越慢。
速度时间膨胀的计算公式为:

引力时间膨胀公式为:

这个理论经历了100年的检验,无数观测和实验证据验证了其无比正确性。
最典型并且最广泛服务于人类的证据就是GPS导航卫星的时间调整。
根据GPS导航卫星在2万多千米高空运行,那里的重力场比地表要小,时间相对地表就更快;而由于卫星每秒数公里速度运行,时间相对地表又会变慢。这样就必须对卫星上的原子钟频率进行相对论调整,才能够与地表时钟一致,从而实现精准的定位导航。
我们今天在用的手*定位机**导航,就享受了相对论时间调整带来的便利。

现代物理学将时间确定为七个基本物理量之一,在科学研究和生产生活一切实践活动中,时间是最重要的一个基本量,必须参与其中,否则就不会有任何结果。
人的意识、记忆、逻辑思维都必须用时间来标度,否则都无法形成。各位可以试试看,如果你没有时间这个刻度,能够形成意识、记忆和思考吗?
因此时间是客观存在的,是与空间和物质同时存在的,是我们这个三维空间的一个轴,把一切串了起来。没有这个轴,一切都是一盘散沙不可收拾。
时间有客观存在,有相对性,还有主观存在,是客观、主观、相对性为一体的一个存在。
宇宙从诞生到今天已经有138亿多年了,宇宙整个诞生发展的过程,就是一部时间简史,这一点在已故著名科学家、科普作家霍金的《时间简史》一书中有精妙的叙述,有兴趣的朋友可以一看。

时间是在138亿年前,和空间物质一起诞生的,那么它有没有尽头和终点呢?
肯定是有的。自从现代物理学家、天文学家们认识到宇宙是一个动态的,有始有终,有边有际的,统治人类几千年,宇宙无边无际无始无终,从来就这样的静态宇宙观已经寿终正寝了。
这样时间空间物质就也是有始有终的了。
那么时间的终点在哪里呢?从上述时空物质三位一体的论述来看,这三兄弟才是真正的桃园三结义,既是同年同月同日同时同分同秒生,也将同年同月同日同时同分同秒死。
这个死的时间就是宇宙消亡或者毁灭的时间。时间也会随着物质和空间一起毁灭消亡。
宇宙什么时候消亡或者毁灭呢?对于人类来讲,这还是一个久远的未来。

科学界对宇宙归宿有很多猜想,比较典型的几个归宿是冷寂说、热寂说、坍缩说、撕裂说。
冷寂说,就是宇宙永远的膨胀下去,高速的膨胀会使绝大多数星系膨胀到了未来视界之外,就是可观测宇宙之外那个而永远看不到的不可见宇宙,宇宙星系和恒星的密度越来越低,所有的恒星都燃烧殆尽,全宇宙留下的都是冰冷的尸骸,最终宇宙整体密度归结于零,温度达到绝对零度,一切归于寂灭。
这种死法耗时要看膨胀速度最终会是一个什么状态,如果膨胀不断的加快,死亡会更快的降临,有人估计,这个时间会在500亿~1000亿年左右。
热寂说,是根据热力学第二定律,把整个宇宙作为一个孤立系统,熵增会随着时间不断增加,但宇宙熵达到最大值时,所有的有效能量全部转化为热能,所有的物质温度达到热平衡,再也没有能量流动了,维持生命和运动的能量不复存在,宇宙消亡。
宇宙的这种死法用时最长,长到令人无法忍受,有人计算需要10^1000~10^1500年。也就是1后面拖1000个零到1500个零年,是多少亿年,大家自己算吧。
大坍缩说,是基于爱因斯坦引力场论,宇宙膨胀到达一个临界点,引力战胜了膨胀的张力,宇宙时空会开始收缩,最终回到一个奇点,旧的宇宙毁灭了,新的宇宙会在酝酿中重新爆发。
宇宙就是在不断地爆发膨胀中诞生,在大坍缩中毁灭,循环往复的进行着生死交替。这个说法认为本宇宙可能还有1000亿年左右。
大坍缩理论的最铁杆支持者是已故物理学家霍金,但NASA的研究*翻推**了这个假设。

现代的一些观测证据并不支持大坍缩学说,而大撕裂说渐渐占了上风。
大撕裂说的主要依据是,宇宙膨胀受暗物质暗能量支配,这种占宇宙总量95看不见的东西,控制和催动着宇宙加速膨胀,最终宇宙时空无法承受这种速度,就发生大撕裂。
大撕裂不是撕裂一个星系或者一颗恒星、一个星球,而是整体上宇宙的一切都被撕裂,一个原子、一个质子电子、一个中微子光子都被撕裂,时空无法聚集,宇宙不复存在。
宇宙大撕裂理论是美国物理学家罗伯特·卡德威尔在2003年提出的。
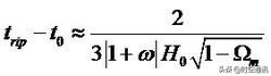
这个理论的关键值是状态方程参数ω,就是暗能量与暗物质密度之比,当当ω<1,整个宇宙就无可避免的被全面撕裂。
计算公式为:

式中,ω是状态方程参数,H0是哈勃常数,Ωm是宇宙中所有物质的密度的现值。
罗伯特根据公式计算,认为这种大撕裂宇宙终结时间会在220亿年左右。而中国的一项研究认为,大撕裂最短会在167亿年开始。
以上宇宙终结的时候,就是时间、空间、物质全面终结的时候,一切都化为乌有。
这就是时间的尽头。
时空通讯专注于老百姓通俗的科学话题,欢迎大家邀答各种古怪问题,我们一起用科学知识来讨论解密。
原创版权,未经作者许可的任何转载与内容引用,均视为侵权抄袭行为,会受到法律责任追究,敬请理解与合作。