2024年全国高中数学联赛试题四川 (2021年重庆高中数学联赛试卷)

2022重庆市高中联赛初赛试题

2016全国高中数学联赛试题答案,2024年全国高中数学联赛试题四川

2016全国高中数学联赛试题答案,2024年全国高中数学联赛试题四川

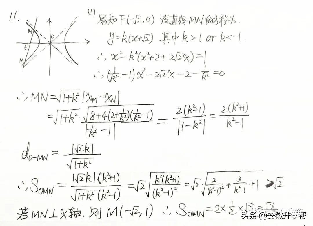
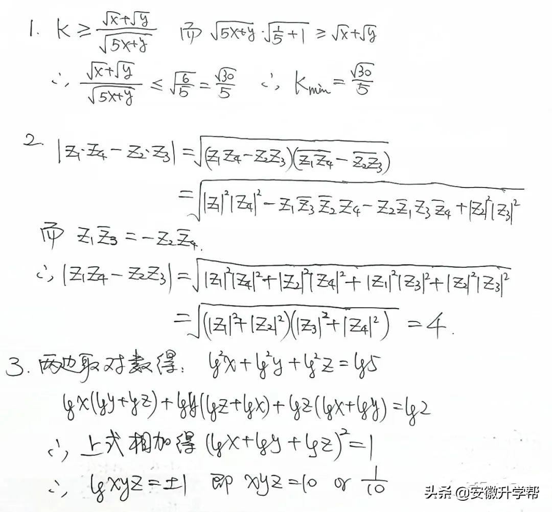
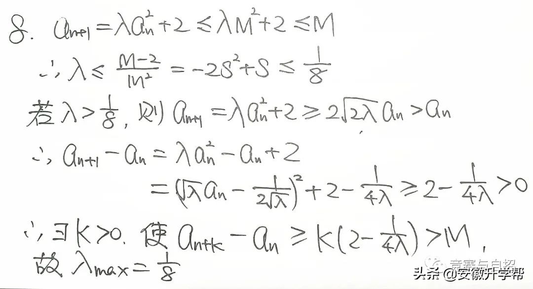
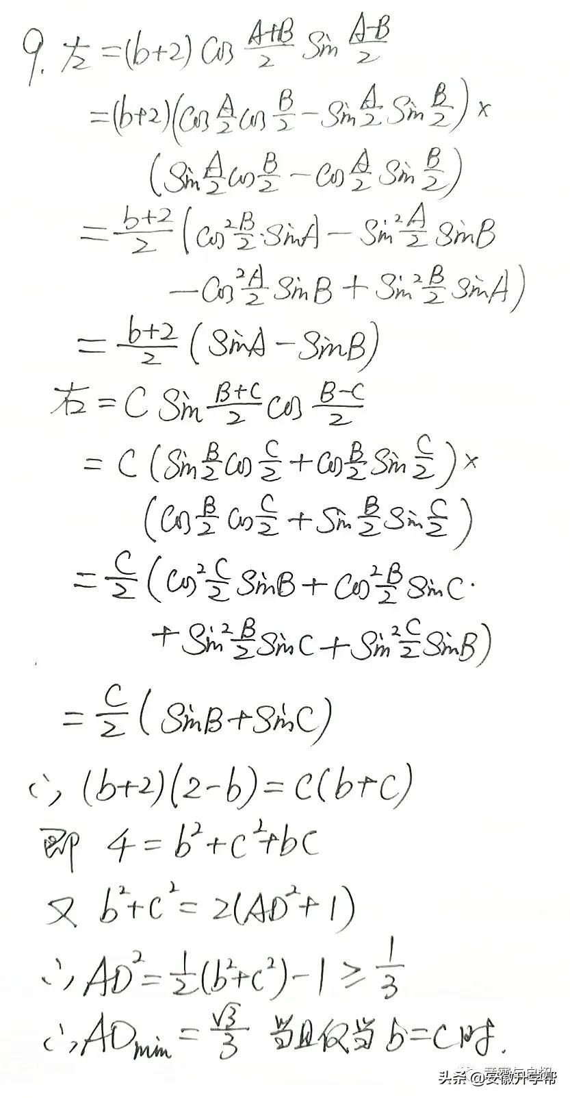
参考答案

2016全国高中数学联赛试题答案,2024年全国高中数学联赛试题四川

2016全国高中数学联赛试题答案,2024年全国高中数学联赛试题四川

2016全国高中数学联赛试题答案,2024年全国高中数学联赛试题四川

2016全国高中数学联赛试题答案,2024年全国高中数学联赛试题四川

2016全国高中数学联赛试题答案,2024年全国高中数学联赛试题四川

2016全国高中数学联赛试题答案,2024年全国高中数学联赛试题四川

2016全国高中数学联赛试题答案,2024年全国高中数学联赛试题四川

2016全国高中数学联赛试题答案,2024年全国高中数学联赛试题四川

2016全国高中数学联赛试题答案,2024年全国高中数学联赛试题四川

2016全国高中数学联赛试题答案,2024年全国高中数学联赛试题四川

2016全国高中数学联赛试题答案,2024年全国高中数学联赛试题四川

2016全国高中数学联赛试题答案,2024年全国高中数学联赛试题四川

2016全国高中数学联赛试题答案,2024年全国高中数学联赛试题四川