今天,南京多家楼盘传来新消息,将于明天后天摇号,超4000人将陪跑:
1、上秦淮“日光盘”五矿澜悦栖原摇号清册出炉,吸引了1556组买房人报名,中签率约13.9%,超1300人将陪跑,暂定后天(4月28日16-17时)开始摇号。
本次五矿澜悦栖原加推的是1、2、7#高层房源,建面约119㎡、140㎡,共计216套精装房源,销许均价31553元/㎡,预计今年交付。
2、江宁科学园的都会四季(云逸都荟花园)摇号清册出炉,共吸引1248组买房人报名,中签率约20%,约1000人陪跑。暂定明天(4月27日16-17时)开始摇号。
本次推出共计246套房源,建面94-164㎡,东园销许均价31281元/㎡,西区销许均价31181元/㎡。
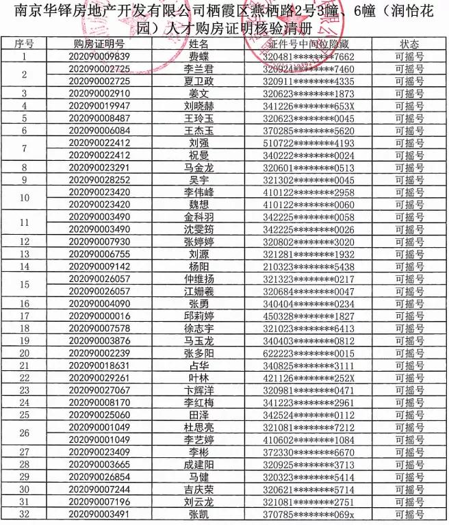
3、燕子矶万象天地·九悦(润怡花园)摇号清册出炉,共吸引923组买房人报名,中签率约11%,超800组买房人陪跑,暂定明天(4月27日13-14时)开始摇号。
本次推出102套洋房房源(其中31套房源供人才先选),户型建筑面积为98㎡,销许均价为35081-36780元/㎡,成为燕子矶目前最高新房价格,一梯两户,现房销售。
4、城南地铁盘中海城南公馆摇号清册出炉,本次共吸引1005组买房人报名,中签率约36%,暂定明天(4月27日14-15时)开始摇号。
已领取1、7号楼销许,共363套房,户型建筑面积83、96、118、100、130㎡,销许均价35826-36711元/㎡,精装交付。
5、紫东核心区的誉峰苑摇号清册出炉,本次共吸引802组买房人报名,中签率约24%,暂定后天(4月28日9时30分-11时)开始摇号。
本次项目推出最后的2#、3#,共计196套精装房源,户型面积90、110、130㎡,销许均价29382元/㎡,价格相比前期上涨1200元/㎡。

五矿澜悦栖原摇号清册已出炉▼
人才房65套,报名人数141组,中签率46%,摇号时间暂定4月28日16时;
普通房源151套,报名人数1415组,中签率10.7%,摇号时间暂定4月28日17时。

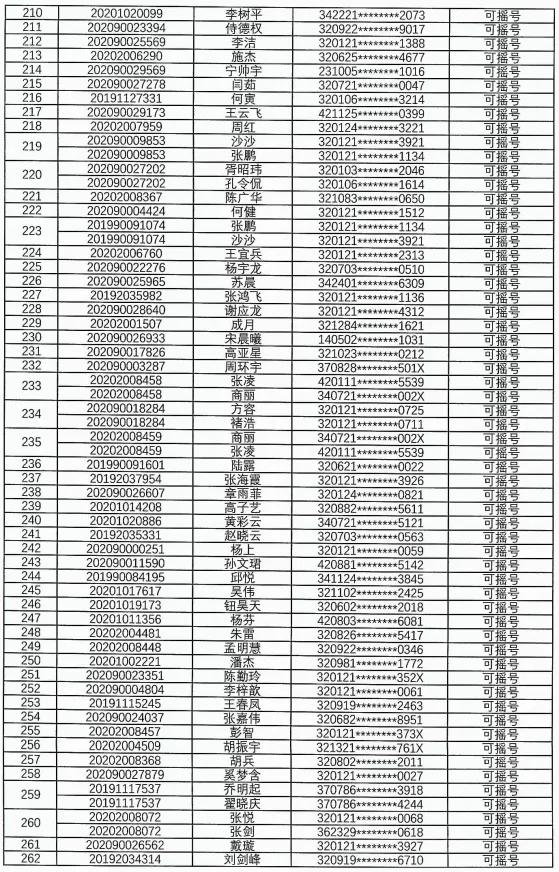
人才摇号清册:

人才完整清册地址:http://www.njnotary.cn/uploadfiles/2020/20200428_07.pdf
普通摇号清册:

普通完整清册地址:http://www.njnotary.cn/uploadfiles/2020/20200428_08.pdf
本次五矿澜悦栖原加推的是1、2、7#高层房源,建面约119㎡、140㎡,共计216套精装房源,销许均价31553元/㎡,预计今年交付。
值得关注的是,项目最近一次开盘是在在2019年11月30日,当时推出21号楼,销许均价30240元/㎡。当时吸引了共1905组买房人摇号,中签率6.3%。开盘当天,所有房源全部卖光,热度很高。
相比之下,本次价格上涨约1300元/㎡,涨幅5%。
南京五矿澜悦栖原位于九龙湖的核心地段,靠近上秦淮湿地公园,另外区域内占地2500亩的“华谊兄弟(南京)电影小镇”、南京未来科技城、南京未来网络小镇、足球体育公园等都在如火如荼地建设中。
目前,九龙湖的上秦淮区域主要有3号线地铁、砂之船商业综合体。
因为江宁的百家湖已发展成熟,将来整个江宁的发展重心很可能会落在九龙湖。
总而言之,有足量的土地供应就代表着未来的发展前景,而热门区域均有相对更好的发展前景和可能性。
本次选房攻略如下:
1、推出房源:1、2、7#高层房源,共计216套精装房源
2、销许均价:31553元/㎡
3、户型面积:建面约119㎡、140㎡
4、楼栋图:

5、户型图如下:


6、精装公示:
119㎡▼

140㎡▼

7、此前交付实景:







8、一房一价表:




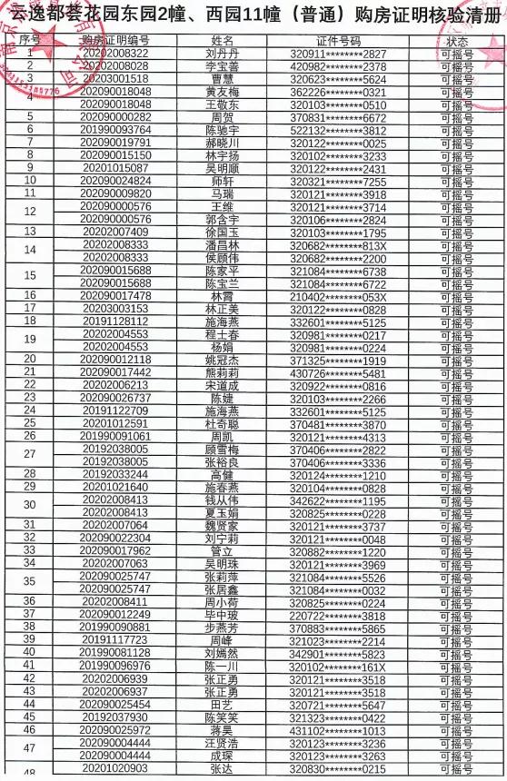
都荟四季摇号清册已出炉▼
人才房74套,报名人数82组,中签率90%,摇号时间暂定4月27日16时;
普通房源172套,报名人数1166组,中签率14.8%,摇号时间暂定4月27日17时。

人才摇号清册:


普通摇号清册(部分截图):
完整清册地址:http://www.njnotary.cn/uploadfiles/2020/20200427_05.pdf






云逸都荟花园位于江宁科学院板块,周围距离较近的地铁站有1号线天印大道站、5号线科宁路站。此外,项目距离百家湖商圈约3公里,很多配套可以共享。
项目由万科、仁恒、金地、华发四家开发商联合开发,交付后小区将由万科物业管理。
本次项目推出的楼栋为东区2#、西区11#,建面94-164㎡,共计246套房源,东园销许均价31281元/㎡,西区销许均价31181元/㎡。
购房攻略如下:
1、开盘房源:东区2#、西区11#,共计246套精装房源
2、户型面积:94-164㎡
3、销许均价:东园销许均价31281元/㎡,西区销许均价31181元/㎡
4、楼栋图:


5、户型图:





5、样板间实景图:


6、一房一价表(点击图片更清晰):
西园11#


东园2#


万象天地·九悦摇号公示已出▼
人才房31套,报名人数32组,中签率96.9%,摇号时间暂定于2020年4月28日13时;
普通房源71套,报名人数891组,中签率7.97%,摇号时间暂定于2020年4月28日14时。

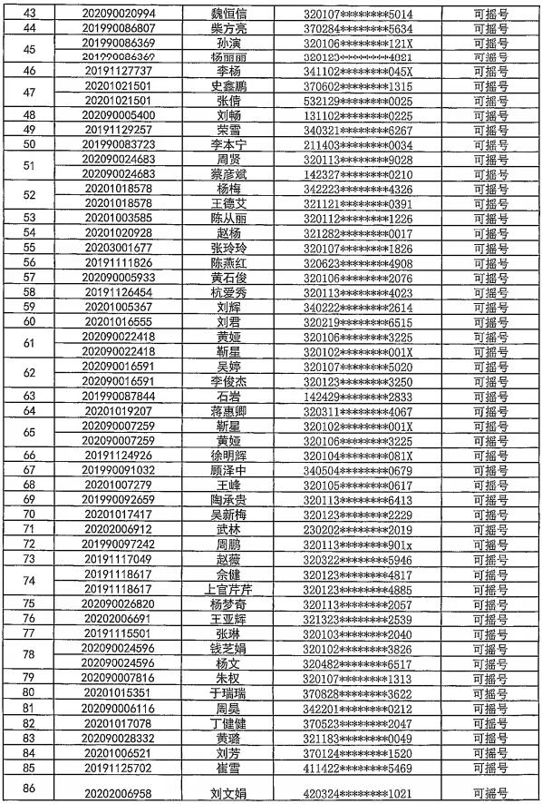
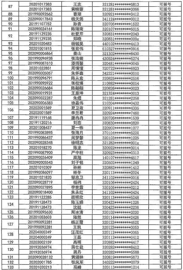
人才摇号清册:

普通摇号清册(部分截图):
完整清册地址:http://www.njnotary.cn/uploadfiles/2020/20200428_05.pdf




此前,项目已领29D地块3、6号楼洋房房源销许,户型建筑面积为98㎡,共计102套房源(其中31套房源供人才先选),销许均价为35081-36780元/㎡,具体一房一价,一梯两户,现房销售。
万象天地九悦住宅分2个地块打造,一共有10栋,为7-11层小高层,洋房产品,精装现房销售。
项目位于燕子矶板块,万象天地内含建面约21万方万象系高端商业,集购物、娱乐、休闲、餐饮于一体。
交通方面,项目周边有地铁6、7号线(在建),与地铁1号线一站相连,4站可到达南京火车站,7站可到达新街口。

项目购房攻略如下:
1、开盘房源:D地块3、6#,共计102套房源
2、户型面积:98㎡
3、销许均价:35980元/㎡
4、楼栋图:

5、区位图:

6、户型图:
建筑面积约98㎡ 2室2厅


7、一房一价表:
3#

6#


目前,中海城南公馆摇号公示已出▼
人才房109套,报名人数75组,中签率100%,摇号时间暂定于4月27日14时;
普通房源254套,报名人数共930组,中签率30.97%,摇号时间暂定于4月27日15时。

人才摇号清册:



普通摇号清册(部分截图):
完整清册地址:http://www.njnotary.cn/uploadfiles/2020/200427_02.pdf



此前,项目已领取1、7号楼销许,户型建筑面积83、96、118、100、130㎡,销许均价35826-36711元/㎡,精装交付。

项目地处河西、软件谷、南站三大热点板块交汇处,自带超万方自用商业,1公里范围内还将规划8块商业用地。
项目下楼就是S3号线地铁贾西站,1站可达河西、4站到达南京南站,换乘地铁1号线、S1号线、2号线、3号线、10号线,能快速到达全南京各个区域。
项目购房攻略如下:
1、开盘房源:1、7#,共363套房
2、户型面积:83、96、100、118、130㎡
3、前期均价:34684-36094元/㎡
4、楼栋图:

5、区位图:

6、户型图:


7、样板间实景:


8、精装标准:

9、项目实景图:


10、一房一价表:



目前,誉峰苑摇号公示已出▼
人才房59套,报名人数74组,中签率77.6%,摇号时间暂定于4月28日9时30分;
普通房源137套,报名人数共729组,中签率18.8%,摇号时间暂定于4月28日11时。

人才摇号清册:



普通摇号清册(部分截图):
完整清册地址:http://www.njnotary.cn/uploadfiles/2020/20200428_02.pdf



位于紫东核心区地铁小镇的誉峰苑,这次推出了最后的2#、3#,共计196套精装房源,户型面积90、110、130㎡,销许均价29382元/㎡,价格相比前期上涨1200元/㎡。
购房攻略如下:
1、推出房源:2、3号楼,最后196套精装房源
2、销许均价:29382元/㎡
3、户型面积:90㎡、110㎡、130㎡
4、楼栋图:

5、户型图:



6、一房一价表:
3#


2#


-END-