招聘速览
>曲周县人力资源和社会保障局2019年度公开招聘曲周县中小学教师公告
>邯郸市永年区2019年公开招聘教育类工作人员公告
>吴桥县政府系统事业单位2019年公开招聘工作人员公告
>无极县人力资源和社会保障局关于教育系统“名校英才入石”计划选聘条件的公告
>无极县人力资源和社会保障局关于教育系统人才引进选聘公告
>南和县2019年公开招聘人事代理教师公告
>天津一中雄安校区雄县中学2020年教师招聘公告
>雄安新区雄县教育局白洋淀高级中学关于教师招聘的公告
>清华附中雄安学校2020年教师公开招聘
>怀安县2019年公开选聘专业教师公告
>石家庄市金柳林外国语学校教师招聘
曲周县人力资源和社会保障局2019年度公开招聘曲周县中小学教师公告
根据《事业单位人事管理条例》《河北省事业单位公开招聘工作人员暂行办法》《邯郸市事业单位公开招聘工作人员实施办法(试行)》文件精神要求,按照2019年邯郸市人力资源和社会保障局《关于下达2019年度政府系统事业单位公开招聘计划的通知》,经县委、县政府研究决定面向社会公开招聘教师298名。现将有关事项公告如下:
一、公开招聘方式
本次招聘工作采取统一招聘方式。按照报名及资格审查、笔试、面试、体检、考察、选校、公示、聘用等步骤进行。
二、招聘岗位、人数
本次招聘高中、职业教育、初中、小学及幼儿园教师共298名,其中:
高中40人(语文6人,数学6人,英语7人,物理3人,化学3人,政治3人,历史3人,生物3人,地理3人,体育1人,音乐1人,美术1人)。
职业教育10人(体育2人,音乐1人,计算机2人,财会2人,农学1人,数控1人,电子1人)
初中84人(语文18人,数学21人,英语16人,物理7人,化学5人,政治3人,历史4人,生物2人,地理1人,体育3人,音乐2人,美术1人,计算机1人)。
小学145人(语文49人,数学50人,英语22人,体育7人,音乐9人,美术8人)
小学特殊教育3人。
幼儿教育15人。
定向岗位1人(小学英语1人)。
具体招聘专业、人数以及学历、学位、教师资格、普通话等级等具体要求见附表《曲周县2019年公开招聘中小学教师岗位计划表》。


三、公开招聘原则
坚持德才兼备和民主、公开、竞争、择优的原则,在考试、考察的基础上择优聘用。
四、招聘对象及条件
(一)公开招聘人员应具备以下基本条件:
1、具有中华人民共和国国籍;
2、遵守宪法和法律;
3、政治坚定、拥护中国*产党共**的领导,热爱教育事业,具有良好的品行和职业道德,遵守宪法和法律;
4、年龄18周岁及以上(2001年12 月9日以前出生,含当天),35周岁及以下(1983年12月9日以后出生,不含当天),凡涉及到年龄、户籍等需要确定时间的,计算日期截止到报名第一天;
5、身体健康(参照《公务员录用体检通用标准(试行)》);
6、具备岗位所需要的专业、学历学位及其他条件。
7、港澳台居民报考的,按有关规定执行。
8、邯郸市户籍是指本人具有邯郸市常住户籍,或报考者配偶、父母、岳父母、公婆如有邯郸市常住户籍的,报考者可视为具有邯郸市户籍。2019年全日制普通高校应届毕业生报考的,不限户籍。全日制普通高校研究生学历毕业生报考的,不限户籍。
9、学历及资格要求:
(1)高中教师岗位:不限户籍,统招全日制普通高校本科及以上学历并具备学士及以上学位的毕业生,应取得高级中学或中等职业学校及以上教师资格证,教师资格证的任教学科与报考岗位学科一致;
(2)职业教育教师岗位:不限户籍,统招全日制普通高校本科及以上学历并具备学士及以上学位的毕业生,应取得中等职业学校或高级中学及以上教师资格证,教师资格证的任教学科与报考岗位学科一致;
(3)初中教师岗位:不限户籍,统招全日制普通高校本科及以上学历并具备学士及以上学位的毕业生,应取得初级中学及以上教师资格证,教师资格证的任教学科与报考岗位学科一致;
(4)小学教师岗位:限邯郸市户籍,统招全日制普通高校专科及以上学历的毕业生,应取得小学及以上教师资格证,教师资格证的任教学科与报考岗位学科一致;
(5)小学特殊教育教师岗位:限邯郸市户籍。统招全日制普通高校专科及以上学历的毕业生,应取得小学及以上教师资格证,教师资格证的任教学科与报考岗位学科一致;统招全日制普通高校专科及以上学历的毕业生,具有小学及以上教师资格证且考生毕业证书专业应为以下专业:专科学历:特殊教育专业;本科学历:特殊教育专业;研究生及以上学历:特殊教育学专业。
(6)幼儿园教师岗位:限邯郸市户籍。统招全日制普通高校专科及以上学历的毕业生,应取得幼儿园或学前教育教师资格证;统招全日制普通高校专科及以上学历的毕业生,具有教师资格证且考生毕业证书专业应为以下专业:专科学历:学前教育专业;本科学历:学前教育专业;研究生及以上学历:学前教育学专业。
(7)定向招聘岗位要求:不限户籍,该岗位定向招聘“服务基层四项目人员”和“退役大学生士兵”,且考生应为统招全日制普通高校专科及以上学历的毕业生,应取得小学及以上教师资格证,教师资格证的任教学科与报考岗位学科一致。
“服务基层四项目人员”是指:2019年度当年服务期满的“选聘高校毕业生到村任职工作(含2016年及以前选聘的任职3年以上、考核称职以上的在岗大学生村官)”“农村义务教育阶段学校教师特设岗位计划”“三支一扶计划”“大学生志愿服务西部计划”人员。“服务基层四项目人员”名单由省级主管部门提供。
“退役大学生士兵”是指以下两类人员:一是2013年及其以后从河北省应征入伍、2018年退伍、入伍前已取得全日制专科及以上学历的退役士兵;二是2013年及其以后从河北省应征入伍、退役后复学、2019年应届毕业的全日制专科及以上学历的退役士兵。“大学生退役士兵”名单由省级主管部门提供。
以上各岗位,对于教师资格证任教学科为初中教育的,可报考初中和小学所有岗位。对于教师资格证任教学科为小学教育的,可报考小学所有岗位。教师资格证上未明确任教学科的,结合本人所学专业确定报考一致或相近岗位。
(二)有下列情形之一的人员不得报名应聘
1、现役军人;
2、未毕业的全日制普通高等学校在读学生不得报考,也不得以原取得学历报考;
3、试用期内事业单位工作人员和未满最低服务年限的事业单位工作人员;
4、试用期内的公务员和未满最低服务年限的公务员;
5、未经现任职单位及其主管部门同意报考的已就业人员。
6、曾因犯罪受过刑事处罚的人员;
7、曾被开除公职的人员;
8、失信被执行人;
9、曲周县在编教师;
10、聘用后即构成回避关系的人员;
11、法律、法规规定不得选聘为事业单位工作人员的其他情形人员。
(三)回避规定
按照《河北省事业单位公开招聘工作人员暂行办法》第四十一条规定,事业单位公开招聘工作人员实行回避制度。凡与聘用单位负责人员有夫妻关系、直系血亲关系、三代以内旁系血亲或者近姻关系的应聘人员,不得应聘该单位负责人员的秘书或者人事、财务、纪律检查岗位,以及有直接上下级领导关系的岗位。聘用单位负责人员和招聘工作人员在办理人员聘用事项时,涉及与本人有上述亲属关系或者其他可能影响招聘公正的,也应当回避。
五、招聘程序
(一)发布公告
在曲周县政府网站网(http://www.qzx.gov.cn/)发布公开招聘公告,时间:2019年11月30日至12月8日。
(二)报名及资格审查
1、报名方式:实行现场报名,每名报考人员只能报考一个岗位,须考生本人到现场报名。
2、报名时间:2019年12月9日—12月13日(上午8:30-12:00,下午13:30-17:30)。
3、报名地点:曲周县新光路东段路南群众工作中心(*访信**局)4、提交材料: 报名须携带以下原件及复印件一份:
(1)《曲周县公开招聘中小学教师报名登记表》(现场领取或从政府网站*载下**),蓝底小二寸近期免冠照6张;
(2)有效期内二代居民身份证和本人户口页,配偶是邯郸市的提供结婚证和配偶的户口页,或父母、公婆、岳父母的户口页及其证明信(如岗位有要求);
(3)符合岗位要求的学历证书和学位证书及教师资格证;
(4)未就业人员提供报到证;
(5)学信网*载下**的带二维码教育部学历证书电子注册备案表;
(6)符合岗位要求的其他相关证明材料。
5、资格审查:依据招聘岗位设置的条件进行资格审查,通过资格审查的人员确定为进入笔试人员,交报名考务费100元。
其中享受最低生活保障城镇家庭的考生、农村绝对贫困家庭的考生,可以在笔试结束后次日到县人社局(县政府204房间)审核并办理减*考免**试报名考务费用的退费手续,具体办理要求:享受最低生活保障城镇家庭的应聘人员须提供其家庭所在地的县(市、区)民政部门出具的享受最低生活保障的证明和低保证原件及复印件;农村绝对贫困家庭的应聘人员须提供其家庭所在地的县(市、区)扶贫办(部门)出具的特困证明及特困家庭基本情况档案卡原件及复印件。
6、开考比例:岗位报考人数和岗位招聘人数的比例不低于3:1,报名人数达不到开考比例的,按比例核减直至取消该岗位招聘计划。岗位报名、核减及取消情况在曲周县政府网站公布。
7、报名要求:每个考生只能报考一个岗位。报名实行自律制度,即报名者要对自己所提交信息的真实性负责,凡发现弄虚作假或不符合报名资格条件的,一律取消报考资格。
(三)笔试。
1、笔试内容。笔试采取闭卷方式进行,笔试考试时间共120分钟。笔试内容由教育专业能力测验(包括含教育学、心理学和报考相应岗位的专业知识)、公共基础知识(包括政治、经济、职业道德等)两科共同组成,每科分值100分,满分200分,笔试成绩占总成绩的60%。笔试成绩=教育专业能力测验成绩+公共基础知识成绩。
2、笔试要求。笔试地点在本县县城,笔试具体地点及考试时间和要求详见《笔试准考证》。应聘人员应按照《笔试准考证》上确定的考试时间、地点、考场参加考试。参加考试时,必须同时携带《笔试准考证》和有效期内二代身份证。
《笔试准考证》领取的时间、地点为2019年12月18日至12月19日到报名处领取《笔试准考证》。
笔试设合格分数线90分,低于90分者不得进入下一个招聘环节。根据各岗位学科笔试成绩,由高到低的顺序按照进入面试人数与各岗位招聘名额不高于2∶1的比例确定参加面试人员(比例内末位成绩并列的都进入面试)。
笔试后一周内在县政府网站公布笔试成绩和进入面试人员名单,进入面试考生于2020年1月1日至1月2日(上午8:30-12:00,下午13:30-17:30)到报名处领取《面试通知单》,面试具体时间、地点及相关要求详见《面试通知单》。
(四)面试
1、面试要求。面试地点在本县县城,面试具体地点、时间和要求详见《面试通知单》。应聘人员应按照《面试通知单》上确定的考试时间、地点、考场参加考试。参加考试时,必须同时携带《面试通知单》和有效期内二代身份证。
2、面试方式。面试采取现场说课的方式进行,每位考生的面试时间为8分钟,面试满分为100分,占总成绩的40%。面试题本及面试备考内容于面试前一周在曲周县政府网站公布,同一岗位公布5道备考题目,考生面试当天现场不备课,由评委面试当天现场从公布的5道题中抽取本场次的面试题目,同考场同岗位面试题目相同。
3、面试考察内容。面试主要考察:考生的职业道德、心理素质、仪表仪态、言语表达等教师基本素养以及设计教学、教材把握和实际授课能力。
4、面试分组。报考同一岗位的考生一般分在同组、同场面试。个别招聘人数较多的无法分在同组、同场的岗位,根据该岗位笔试成绩由高到低的顺序,采取蛇形分组法分组分招聘名额进行面试。考生抽签决定面试顺序,面试时只许报抽签顺序号,不得报本人姓名或与本人相关的一切信息。如需采取蛇形分组,则在面试前3天在曲周县政府网站进行公布蛇形分组分招聘名额情况。
5、面试打分。考生、评委及工作人员均实行入闱管理。采取现场说课、评委现场打分的方式,评委打分成绩保留到小数点后一位有效数字。面试成绩采用“体操打分法”,即对7位评委的打分,去掉一个最高分和一个最低分,其他分数的平均分为面试成绩,考生面试成绩当场公布。面试设定面试合格分数线为60分,面试成绩低于60分者为不合格,不得进入体检等后续环节。
6、成绩计算。
考生总成绩=笔试成绩÷2×60%+面试成绩×40%
面试结束后,面试成绩在现场公布。
7、确定进入体检人员。根据各岗位考生总成绩由高到低的顺序,按照各岗位招聘人数与进入体检人数1:1的比例确定进入体检人员。比例内末位总成绩相同的考生按以下顺序确定进入体检人选:烈士子女或配偶,服务基层四项目人员和大学生退役士兵,学历(学位)较高者,笔试成绩较高者。如经过以上比较,仍并列无法确定进入体检人员,则由公开招聘领导小组通过加试确定进入体检人员。考生面试成绩、总成绩及进入体检人员名单在曲周县政府网站上公布。
(五)体检
体检参照《公务员录用体检通用标准(试行)》进行。进入体检人员名单、体检集合时间、地点等要求在县政府网站公布,体检合格人员进入考察环节。体检不合格造成的岗位空缺,按各岗位考生总成绩由高到低依次递补。
(六)考察
考察内容主要包括人事档案、政治思想、道德品质、业务能力、工作实绩、“三龄两历一身份”等,并对其报考资格条件进行复查。体检和考察均合格的考生确定为拟聘用人员。考察不合格造成的岗位空缺按各岗位考生总成绩由高到低依次递补。考察合格人员确定为拟聘用人员,进入选校环节。
(七)选择学校
对拟聘用人员,依据报考学科岗位总成绩排序,由高到低依次选择聘用学校。总成绩出现并列的,按以下顺序确定选校先后顺序:烈士子女或配偶、大学生退役士兵和服务基层四项目人员、学历(学位)较高者、笔试成绩较高者。
对于面试中采取蛇形分组法分组分招聘名额进行面试的拟聘用人员,采用以下方式确定选择学校顺序:同岗位各小组先由总成绩第一名按笔试成绩由高到低的顺序选择学校,再由各小组总成绩第二名按笔试成绩由高到低的顺序选择学校,依此类推。同名次者笔试成绩并列的,按照以下顺序确定选校先后顺序:烈士子女或配偶、大学生退役士兵和服务基层四项目人员、学历(学位)较高者。进入面试环节后,采取蛇形分组法分组分招聘名额进行面试的岗位的各小组,如出现考生主动放弃等各种原因造成的岗位空缺,该组其他人员选校顺序不变。
对于选校环节考生放弃等原因出现的岗位空缺,按各岗位考生总成绩由高到低依次递补。
(八)公示
选校结束后对拟聘用人选在曲周县政府网站公示7个工作日,进入公示环节后,因各种原因造成的岗位空缺一律不再递补。
(九)聘用
对公示反映有严重问题并查有实据,不符合聘用条件的取消其拟聘人选资格;对反映有严重问题但一时难以查实的,暂缓聘用,待查实并做出结论后决定是否聘用。对公示期满无异议的,或有反映问题但经核实不影响聘用的,由招聘单位及其主管部门提出聘用意见,经县人社局审核并报县政府批准后,由用人单位按有关规定与被聘用人员签订聘用合同,办理就业、流动、工资、社保等相关手续。被聘用人员按相关政策规定实行试用期,试用期一并计算在聘用合同期限内。试用期满考核合格的,予以正式聘用,不合格的取消聘用。 邯郸市永年区2019年公开招聘教育类工作人员公告
为了大力实施“教育强区”战略,推动全区教育体育事业快速发展,经研究,决定公开招聘教育类工作人员398名。现就有关事项公告如下:
一、招聘原则
坚持德才兼备,民主、公开、竞争、择优的原则,在考试、考察的基础上择优聘用。
二、招聘方式
本次招聘工作采取统一招聘方式。按照报名及资格审查、笔试、面试、体检、考察、公示、选择学校、聘用等步骤进行。
三、招聘岗位及人数
招聘人数为398名,均为专业技术初级岗位,其中:高中(含职高)教师31名,初中教师84名,小学教师244名,幼儿园教师30名,职业高中专业指导3名,初中体育运动项目教练5名,定向招聘岗位1名。
具体招聘岗位详见《邯郸市永年区2019年公开招聘教育类工作人员岗位一览表》。

四、招聘对象及条件
(一)应聘人员应具备以下基本条件
1、具有中华人民共和国国籍;
2、遵守宪法和法律;
3、政治坚定、拥护中国*产党共**的领导,热爱教育体育事业,具有良好的品行和职业道德;
4、年龄18周岁及以上(2001年12月11日以前出生,含当天),35周岁及以下(1983年12月11日以后出生,不含当天),凡涉及到年龄、户籍等需要确定时间的,计算日期截止到报名第一天;
5、考生本人应具有邯郸市户籍(2019年应届毕业生,不限户籍;全日制普通高校研究生学历毕业生,不限户籍;定向招聘岗位,不限户籍);
6、身体健康(参照《公务员录用体检通用标准(试行)》);
7、具备岗位所需要的专业、学历及其他条件;
8、港澳台居民报考的,按有关规定执行;
9、学历及资格要求:
(1)高中(含职高)教师岗位:全日制普通高校本科及以上学历,并取得高级中学或中等职业学校及以上教师资格证的毕业生,教师资格证的任教学科与报考岗位学科一致。
(2)职业高中专业指导岗位:全日制普通高校本科及以上学历,不要求取得教师资格证,但须为相关专业毕业,具体专业要求为:
财会:研究生要求专业为会计学,会计;本科要求专业为会计学,财务会计教育,财务管理。
电子商务:研究生要求专业为电子商务;本科要求专业为电子商务,电子商务及法律。
(3)初中教师岗位:全日制普通高校本科及以上学历,并取得初级中学及以上教师资格证的毕业生,教师资格证的任教学科与报考岗位学科一致。
(4)初中体育运动项目教练岗位:全日制普通高校本科及以上学历,不要求取得教师资格证,但须获得岗位相应运动项目(足球、武术套路或乒乓球)国家二级及以上运动员证书(国家运动员证书须在国家体育总局网上查出)。
(5)小学教师岗位:全日制普通高校专科及以上学历,并取得小学及以上教师资格证的毕业生,教师资格证的任教学科与报考岗位学科一致。
其中,报考小学思品岗位的,教师资格证任教学科须为思想品德、思想政治、历史与社会、社会。
(6)幼儿园教师岗位:全日制普通高校专科及以上学历,教师资格证任教学科须为幼儿园或学前教育的毕业生。
(7)定向招聘岗位(初中语文):限“服务基层四项目人员”和“退役大学生士兵”报考,且考生应为全日制普通高校本科及以上学历,应取得初级中学及以上教师资格证,教师资格证任教学科为语文。“服务基层四项目人员”是指:2019年度当年服务期满的“选聘高校毕业生到村任职工作(含2016年及以前选聘的任职3年以上、考核称职以上的在岗大学生村官)”“农村义务教育阶段学校教师特设岗位计划”“三支一扶计划”“大学生志愿服务西部计划”人员。“服务基层四项目人员”名单以省级主管部门提供的名单为准。“退役大学生士兵”是指以下两类人员:一是2013年及其以后从河北省应征入伍、2018年退伍、入伍前已取得全日制本科及以上学历的退役士兵;二是2013年及其以后从河北省应征入伍、退役后复学、2019年应届毕业的全日制本科及以上学历的退役士兵。“大学生退役士兵”名单由省级主管部门提供。
以上各岗位在符合学历要求的前提下,对于教师资格证任教学科为初中教育的,可报考初中和小学所有岗位。对于教师资格证任教学科为小学教育的,可报考小学所有岗位。教师资格证上未明确任教学科的,结合本人所学专业确定报考岗位。
(二)有下列情形之一的人员不得报名应聘
1、现役军人;
2、未毕业的全日制普通高等学校在读学生不得以原取得学历报考;
3、试用期内事业单位工作人员和未满最低服务年限的事业单位工作人员;
4、试用期内的公务员和未满最低服务年限的公务员;
5、未经现任职单位及其主管部门同意报考的已就业人员;
6、永年区全额财政事业费人员;
7、曾因犯罪受过刑事处罚的人员;
8、曾被开除公职的人员;
9、失信被执行人;
10、法律、法规规定不得招聘为事业单位工作人员的其他情形人员。
(三)回避规定
按照《河北省事业单位公开招聘工作人员暂行办法》第四十一条规定,事业单位公开招聘工作人员实行回避制度。凡与聘用单位负责人员有夫妻关系、直系血亲关系、三代以内旁系血亲或者近姻关系的应聘人员,不得应聘该单位负责人员的秘书或者人事、财务、纪律检查岗位,以及有直接上下级领导关系的岗位。聘用单位负责人员和招聘工作人员在办理人员聘用事项时,涉及与本人有上述亲属关系或者其他可能影响招聘公正的,也应当回避。
五、招聘程序
(一)发布公告
公告时间为2019年12月2日至10日,公告期为七个工作日。
(二)报名及资格审查
1、报名方式。实行现场报名,每名报考人员只能报考一个岗位,须考生本人到现场报名。
2、报名时间和地点。
时间:2019年12月11日--12月20日,共10天(含周六日)。
具体时间:上午08:30-12:00 下午13:30-17:30
地点:永年区人力资源和社会保障局(临洺关镇洺兴南路216号)
3、提交材料。报名须携带以下原件及复印件一份:
(1)有效期内的二代居民身份证;
(2)居民户口簿;
(3)符合岗位要求的毕业证及学信网*载下**打印的教育部学历证书电子注册备案表;
(4)符合岗位要求的教师资格证,教师资格证须在“中国教师资格网”上查出;对于2008年以前取得的教师资格证网上查询不到的,需提供本人教师资格认定申请表;
(5)未就业人员提供报到证;
(6)足球、武术套路和乒乓球教练三个岗位需提供岗位相应运动项目国家二级及以上运动员证书;
(7)近期蓝底1寸免冠照片1张,报名前将本照片电子版发送至zhaopin5085@163.com邮箱。具体要求为:jpg格式,尺寸25mm×35mm,大小30-100KB,用本人身份证号码命名(照片及电子版均不得PS)。
现场领取填写《邯郸市永年区2019年公开招聘教育类工作人员报考资格审查表》
4、资格审查。由区人社局会同有关部门进行资格审查,主要审查岗位要求的各项条件,资格审查结果现场确认。通过资格审查的考生确定为进入笔试人员,并交纳报名考务费100元。交费后考生关注区人社局“永年人社”官方微信公众号。今后一切相关招聘信息均在永年区人民政府网和“永年人社”公众号发布,请考生注意关注,错失信息后果自负。
5、开考比例。岗位报考人数和岗位招聘人数的比例不低于3:1,报名人数达不到开考比例的,按比例核减直至取消该岗位招聘计划。各岗位报名、核减及取消情况在永年区人民政府网和“永年人社”官方微信公众号予以公布。
(三)笔试
1、笔试内容。笔试采取闭卷方式进行,共考一场。按高中、初中、小学、幼儿园四个学段命题,均为一张试卷,含两科,分别为教育专业能力测验(包括教育学、教师心理学知识等)和公共基础知识(包括政治、经济、公文写作、职业道德等),每科分值100分,满分200分,考试时间共150分钟。笔试成绩占总成绩的50%。笔试成绩=教育专业能力测验+公共基础知识。笔试设合格分数线90分,低于90分者不得进入下一个招聘环节。
2、笔试要求。笔试地点在永年区。笔试具体地点、时间和要求详见《笔试准考证》。应聘人员应按照准考证上确定的考试时间、地点、考场参加考试。参加考试时,必须同时携带《笔试准考证》和有效期内二代身份证。《笔试准考证》领取的时间、地点由区人社局另行通知。
3、确定进入面试人选。各岗位笔试合格分数线以上的考生,按照进入面试人数和岗位招聘人数之比2:1的比例,依据笔试成绩从高分到低分的顺序确定进入面试人选,比例内末位笔试成绩并列的同时进入面试。笔试成绩及进入面试人员名单在永年区人民政府网和“永年人社”官方微信公众号公布。
(四)面试
1、面试要求。面试地点在永年区。面试具体地点、时间和要求详见《面试准考证》。应聘人员应按照《面试准考证》上确定的考试时间、地点、考场参加考试。参加考试时,必须同时携带《面试准考证》和有效期内二代身份证。《面试准考证》领取的时间、地点由区人社局另行通知。
2、面试方式。面试由说课和答辩两部分组成,满分100分。面试时间总共为10分钟,每名考生说课时间6分钟,答辩时间4分钟,答辩题目为2道。面试设合格分数线60分,低于60分者不得进入下一个招聘环节。
3、面试考察内容。面试主要考察考生的职业道德、心理素质、仪表仪态、言语表达等教师基本素养以及设计教学、教材把握和实际授课能力。同岗位的说课内容和答辩题目相同。说课题目面试前三天在永年区人民政府网和“永年人社”官方微信公众号予以公布。
4、面试分组。报考同一岗位的考生一般分在同组、同场面试。个别招聘人数较多的无法分在同组、同场的岗位,根据该岗位笔试成绩由高到低的顺序,采取蛇形分组法分组分招聘名额进行面试。蛇形分组分招聘名额情况在永年区人民政府网和“永年人社”官方微信公众号公布。考生抽签决定面试顺序,面试时只许报抽签顺序号,不得报本人姓名或与本人相关的一切信息。
5、面试打分。评委对考生的说课和答辩进行综合打分。面试打分采取“体操打分法”。
6、成绩计算。
考生总成绩=笔试成绩÷2×50%+面试成绩×50%
面试结束后,面试成绩在考场外张贴公布。考生面试成绩、总成绩及进入体检人员名单在永年区人民政府网和“永年人社”官方微信公众号公布。
7、确定进入体检人员。根据各岗位考生总成绩由高到低的顺序,按照各岗位招聘人数与进入体检人数1:1的比例确定进入体检人员。比例内末位总成绩相同的考生按以下顺序确定进入体检人选:烈士子女或配偶,服务基层四项目人员和退役大学生士兵,学历较高者,笔试成绩较高者,如以上条件均相同,由公开招聘领导小组研究通过加试最终确定进入体检人员。
(五)体检
体检参照《公务员录用体检通用标准(试行)》进行。体检时间、地点及要求等由区人社局另行通知。体检合格人员进入考察环节。
(六)考察
考察内容主要包括人事档案、政治思想、道德品质、业务能力、工作实绩、“三龄两历一身份”等,并对其报考资格条件进行复查。考察合格的进入公示阶段;考察不合格的,取消拟聘用人选资格。
(七)公示
体检、考察均合格的考生确定为拟聘用人选,在永年区人民政府网和“永年人社”官方微信公众号公示7个工作日。
(八)选择学校
对拟聘用人员,依据报考学科岗位总成绩排序,由高到低依次选择聘用学校。总成绩出现并列的,按以下顺序确定选校先后顺序:烈士子女或配偶、服务基层四项目人员和退役大学生士兵、学历较高者、笔试成绩较高者,如以上条件均相同,由公开招聘领导小组研究确定具体方法。
对于面试中采取蛇形分组法分组分招聘名额进行面试的拟聘用人员,采用以下方式确定选择学校顺序:同岗位各小组先由总成绩第一名按笔试成绩由高到低的顺序选择学校,再由各小组总成绩第二名按笔试成绩由高到低的顺序选择学校,依此类推。同名次者笔试成绩并列的,按照以下顺序确定选校先后顺序:烈士子女或配偶、服务基层四项目人员和退役大学生士兵、学历较高者,如以上条件均相同,由公开招聘领导小组研究确定具体方法。进入面试环节后,采取蛇形分组法分组分招聘名额进行面试的各小组,如出现考生主动放弃等各种原因造成的岗位空缺,该组其他人员选校顺序不变。
(九)聘用
对公示反映有严重问题并查有实据,不符合聘用条件的取消其拟聘人选资格;对反映有严重问题但一时难以查实的,暂缓聘用,待查实并做出结论后决定是否聘用。对公示期满无异议的,或有反映问题但经核实不影响聘用的,由招聘单位及其主管部门提出聘用意见,经区人社局审核并报区政府批准后,由用人单位按有关规定与被聘用人员签订聘用合同,办理就业、流动、工资、社保等相关手续,列区全额财政事业费开支。被聘用人员按相关政策规定实行试用期,试用期一并计算在聘用合同期限内。试用期满考核合格的,予以正式聘用,不合格的取消聘用。
六、其他事项
(一)凡应聘人员未在规定时间内按要求参加资格审查、笔试、面试、体检、考察、选校、报到、办理聘用手续等情况的,均视为自动放弃应聘资格。资格审核贯穿招聘工作全过程,在任何环节,发现考生不符合招聘条件的,伪造、假冒各种证件,弄虚作假的,一经查实,取消其应聘资格,问题严重的要追究责任。
(二)招聘过程中,因各种原因造成的岗位空缺,一律不递补。
(三)本次招聘不指定考试辅导用书,不举办也不委托任何机构举办考试辅导培训班。
(四)请考生报名时,务必填写本人常用联系方式,确保在招聘期间保持手机等通讯设备畅通,以免影响招聘。
七、本公告解释权归永年区事业单位公开招聘领导小组办公室,未尽事宜由永年区事业单位公开招聘领导小组研究决定。
咨询电话:(工作时间)
0310-6885085(区人社局)
监督举报电话:(工作时间)
0310-6835297(区纪委监委)
详情登录
https://mp.weixin.qq.com/s/-IrcCBgRP7Mp-E5sa9LU6w
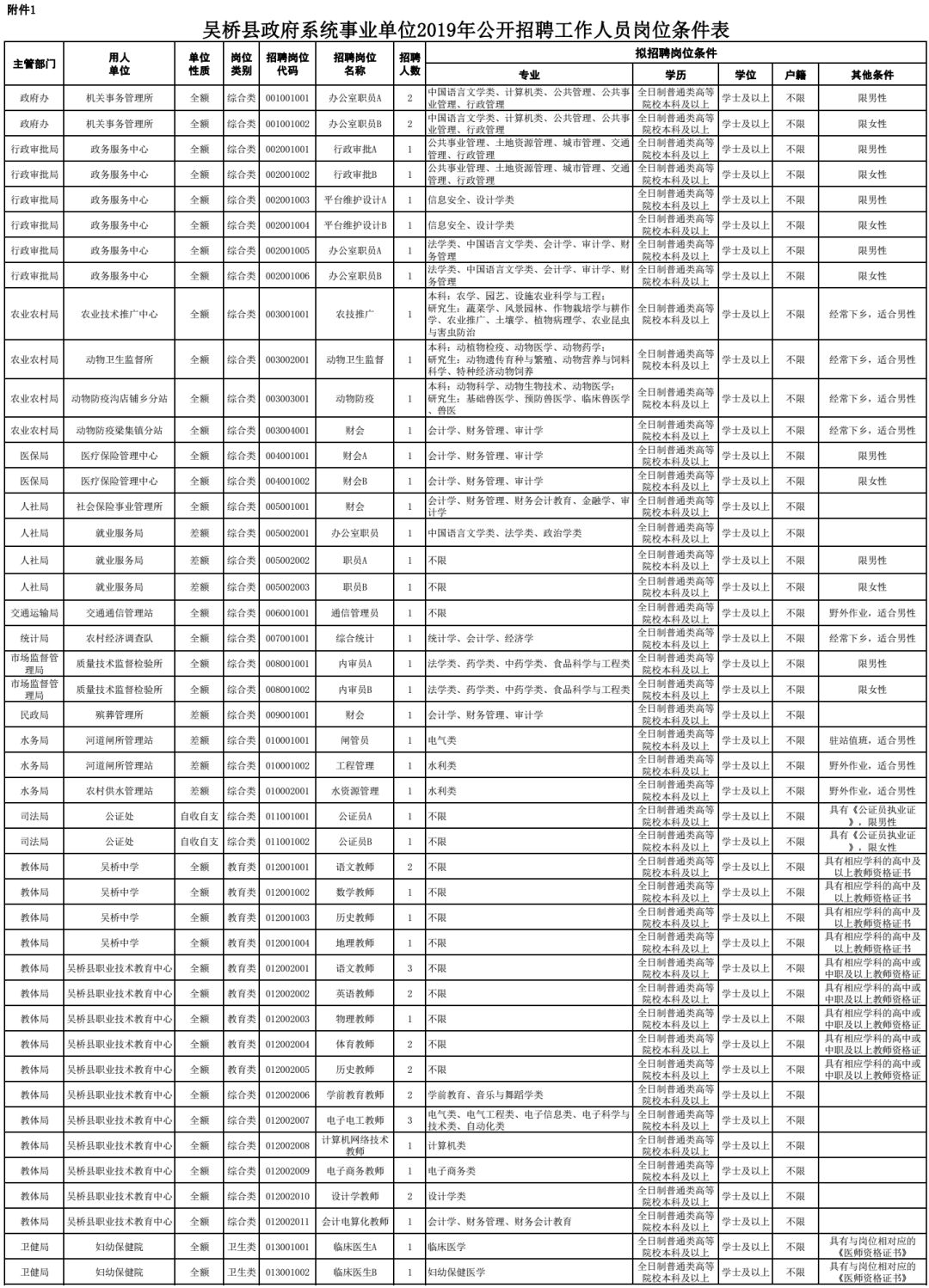
吴桥县政府系统事业单位2019年公开招聘工作人员公告
根据《事业单位人事管理条例》及《河北省事业单位公开招聘工作人员暂行办法》,为满足我县事业单位工作需要,经研究决定,2019年政府系统事业单位面向社会公开招聘工作人员152名。现就有关事项公告如下:
一、招聘原则
事业单位公开招聘坚持德才兼备和民主、公开、竞争、择优的原则,在考试、考察的基础上择优聘用。
二、招聘名额
此次公开招聘共有招聘岗位69个,招聘工作人员152名。各招聘单位具体招聘人数和岗位条件详见《吴桥县政府系统事业单位2019年公开招聘工作人员岗位条件表》(附件1),应聘人员可以通过吴桥人力资源网(http://www.wqrlzy.com/)查询报考信息。


三、招聘对象和条件
(一)招聘对象
招聘对象为2019届及以前毕业的全日制普通类高等院校毕业生。
(二)应聘人员应具备以下基本条件:
1.具有中华人民共和国国籍;
2.遵守宪法和法律,具有良好的品行和职业道德;
3.具有与招聘岗位要求相适应的学历、专业等条件;
4.年龄要求18周岁以上、35周岁以下(1983年12月11日至2001年12月10日期间出生),2019年应届毕业生不限年龄;
5.适应岗位要求的身体条件;
6.具备岗位所需要的其他条件。
招聘岗位所需的具体条件按《吴桥县政府系统事业单位2019年公开招聘工作人员岗位条件表》要求确定,凡涉及年龄、工作时间等需要确定时间的,计算时间截止到2019年12月10日。
(三)有下列情形之一的人员不得报考:
1.曾因犯罪受过刑事处罚的、开除公职的、失信被执行人;
2.受*党**纪、政纪处分,处分期未满的;
3.因涉嫌违法、违纪,正在接受审查的;
4.现役军人、试用期内的公务员和试用期内的事业单位工作人员、未满最低服务年限或未满约定最低服务期限的人员;
5.普通类全日制在读的非应届毕业学生;
6.法律、法规规定不得招聘为事业单位工作人员的其它情形人员。
7.报考人员不得报考聘用后即构成回避关系的招聘岗位。
回避关系是指《河北省事业单位公开招聘工作人员暂行办法》第四十一条关于“凡与聘用单位负责人员有夫妻关系、直系血亲关系、三代以内旁系血亲或者近姻亲关系的应聘人员,不得应聘该单位负责人员的秘书或者人事、财务、纪律检查岗位,以及有直接上下级领导关系的岗位。聘用单位负责人员和招聘工作人员在办理人员聘用事项时,涉及与本人有上述亲属关系或者其他可能影响招聘公正的,也应当回避”的规定。
四、报名与资格审查、打印笔试准考证
(一)报名办法和时间
本次考试实行网上报名,报名者严格实行自律机制,即对网上提交的学历、毕业院校、户籍、工作经历等信息的真实性负责。凡弄虚作假的,一经查实,即取消应聘资格。
报名网址:吴桥人力资源网(http://www.wqrlzy.com/)
报名时间:2019年12月10日9:00至16日17:00
资格审查截止时间:2019年12月17日12:00
交费截止时间:2019年12月17日17:00
开考比例:吴桥县中西医结合医院和吴桥中学岗位报考人数与该岗位招聘人数的比例不低于2:1;其他岗位报考人数与该岗位招聘人数的比例不低于3:1。报名人数达不到开考比例的,经领导小组研究决定,减少该岗位招聘人数或取消该岗位招聘,并通知报考该岗位人员。
(二)打印《笔试准考证》
考生完成网上报名后,于2019年12月23日8:00至12月24日22:00登陆吴桥人力资源网(http://www.wqrlzy.com/),打印《笔试准考证》。
(三)考生报名注意事项
考生开始报名前,须完全了解本次招聘的招聘政策和拟报考岗位条件,认真阅读《报名须知》并同意《诚信承诺书》,然后参照“考生操作指南”按步骤进行具体操作:
1.网上报名实行严格的自律机制。报考人员必须承诺履行《诚信承诺书》,对提交审核的报名信息的真实性负责;在进入面试人员证件审核及其他招聘环节,凡发现网上填报的信息与实际情况不一致的,取消应聘资格。
2.网上报名须用有效的二代居民身份证申请“报名号”,获取“报名号”和“初始密码”后才能登录报名系统,进行填表和提交审核,报名号是登录报名系统的唯一标识,密码可修改,二者均务必牢记并保管好。
3.按照要求规范填写或选择表项,上传的电子照片要符合要求,否则将被报名系统自动拒绝。报考信息通过审核后才能进行交费操作,交费成功即完成报名。
4.考生“提交审核”后信息将被锁定,在未反馈审核结果前不能修改。一般情况下,审核员24小时内会回复审核结果。“审核未过”的,可根据提示的未过原因,修改信息或改报岗位并重新提交审核;“审核通过”的,将不能再修改,可直接进入交费程序。
5.考生务必牢记报名和交费截止时间、打印《笔试准考证》时间、考试时间等重要时间信息;凡是在规定时间未完成相关操作的,将被视为自动放弃。同时,报名和考试期间务必保管好个人的证件和信息,因个人原因造成丢失、被他人盗用和信息被恶意篡改而影响报名和考试的,责任自负。
6.报名交费可以通过“网上银行”及手机支付宝扫码支付,报名考务费每人100元,请考生及时开通网上支付功能。
7.特别提示:由于报名和咨询较多,本次招录的政策、方法、程序、时间地点安排、有关要求等,已在本公告尽详写明,请认真阅读,确有公告未尽事项时再电话咨询,以提高广大考生咨询效率。
五、考试与证件审核
考试分为笔试与面试两部分。
(一)笔试
笔试由吴桥县人力资源和社会保障局统一组织。笔试采取闭卷方式进行,满分100分,考试时间为120分钟。
1.笔试科目:
综合类:除卫生系统和教育系统外,其他事业单位岗位考试内容为《公共基础知识》和《职业能力测验》(包含012002006、012002007、012002008、012002009、012002010、012002011、013001003、013005001、013005002岗位)。
卫生类:吴桥县人民医院、吴桥县中西医结合医院、妇幼保健院、疾病预防控制中心、东宋门乡中心卫生院、何庄乡卫生院事业单位岗位考试内容为《公共基础知识》和《医学基础知识》(不包含013001003、013005001、013005002岗位)。
教育类:吴桥中学、吴桥县职业技术教育中心事业单位岗位考试内容为《教育基础知识》和《相应学科专业知识》(不包含012002006、012002007、012002008、012002009、012002010、012002011岗位)。
本次考试不指定考试辅导用书,不举办也不委托任何机构或个人举办考试辅导培训班。目前社会上出现的假借事业单位招聘考试命题组、专门培训机构等名义举办的辅导班、辅导网站或发行的出版物、上网卡等,均与本次考试无关。敬请广大应聘者提高警惕,切勿上当受骗。
2.笔试时间及地点:
考生应按照准考证上确定的考试时间、地点、考场参加考试。参加考试时,必须同时携带笔试准考证和法定有效二代居民身份证。缺少证件的考生不得参加考试。
3.笔试成绩查询:
笔试成绩可于笔试结束后七天内登陆吴桥人力资源网(http://www.wqrlzy.com/)查询。根据招聘计划和笔试成绩,分岗位按1:2的比例确定进入面试人选,比例内末位成绩并列的都进入面试人选。
(二)证件审核
进入面试人选的考生需在指定时间、指定地点进行证件审核。考生须出具的证件和材料包括:能够证明自己符合条件的身份证、笔试准考证、毕业证、学位证、就业报到证及岗位要求的其他资格证书原件及复印件;应届普通类毕业生须提供《2019年大中专毕业生就业协议书》。经证件审核,符合资格条件的考生进入面试。发现考生在网上报名时填报情况不实不符合报考资格条件的,取消面试资格,严重弄虚作假行为要追究责任。
(三)面试
1.面试时间和地点:
证件审核结束后,面试时间和地点会在吴桥人力资源网(http://www.wqrlzy.com/)进行公布。
2.面试方式:
综合类岗位和卫生类岗位面试采取结构化面试的方式进行,教育类岗位面试采取试讲的方式进行。主要对应聘者的适岗能力、职业素养和举止仪表等方面进行综合考核。面试成绩满分100分,面试合格分数线为60分。面试成绩当天在面试考点公布。
(四)考生综合考试成绩的计算
面试合格分数线为60分,达不到合格线的考生不计算综合考试成绩、不得进入此后体检等招聘程序。按笔试成绩、面试成绩两部分计算考试综合成绩(保留2位小数)。
报考综合类和卫生类岗位的考生,综合成绩=笔试成绩×60%+面试成绩×40%;
报考教育类岗位类的考生,综合成绩=笔试成绩×40%+面试成绩×60%。
(五)确定进入体检考生名单
根据招聘计划和考生综合考试成绩,分职位按1:1的比例确定体检考生名单。同一岗位末位出现总成绩并列超出招聘计划者,采取依次按笔试成绩高者、学历高者、院校录取批次高者、基层工作经验长者优先的办法确定排名,若仍不能区分排名,则另行加试。在此后的考察、公示环节发现问题需要递补时,出现总成绩并列的,也按此排名顺序确定。
六、体检
体检人员名单在吴桥人力资源网(http://www.wqrlzy.com/)公布。体检项目、标准参照公务员录用体检的有关规定执行。体检费用自理。体检不合格的,取消拟聘人选资格,按综合成绩排名依次递补。
七、考察
体检合格人员进入考察环节。考察由县人力资源和社会保障局会同事业单位或其主管部门组织实施,主要考察应聘人员思想政治表现、道德品质、业务能力、工作实绩等情况。考察不合格的,取消拟聘人员资格,在报考同一岗位的考生中按排名顺序依次递补。
八、公示
经体检、考察均合格人员,确定为拟聘用人员,在吴桥人力资源网(http://www.wqrlzy.com/)进行公示,时间为7个工作日,接受社会和群众监督。
九、聘用
公示期间,对反映有严重问题并查有实据不符合聘用条件的、在公示期间放弃聘用的,取消其拟聘人选资格,在报考同一岗位的考生中按排名顺序依次递补;对反映有严重问题但一时难以查实的,暂缓聘用,待查实并做出结论后决定是否聘用;对公示期满无异议的,或有反映问题但经核实不影响聘用的,填写《河北省事业单位公开招聘工作人员审批表》一式四份,报县人力资源和社会保障局办理相关聘用手续。公开招聘的人员按相关政策规定实行试用期制度,试用期一并计算在聘用合同期限内。试用期满考核合格的人员,予以正式聘用,不合格的,取消聘用。聘用后,服务年限不得低于5年。
十、其它有关事项
(一)本次招聘过程由县纪委监委全程监督。
(二)凡考生未在规定时间内按要求参加笔试、证件审核、面试、体检、考察、报到等情况的,均视为自动放弃应聘资格。
咨询电话:0317-7365033
详情登录
http://www.wqrlzy.com/web/wenjian/20191129172556.html 无极县人力资源和社会保障局关于教育系统“名校英才入石”计划选聘条件的公告
按照*共中**石家庄市委组织部、石家庄市人社局《关于事业单位实施“名校英才入石”计划的通知》要求,根据省委组织部、省人社厅《关于印发<河北省事业单位公开招聘工作人员暂行办法>的通知》(冀人社发[2011]9号),结合工作实际,制定本方案。 一、选聘原则及范围 选聘工作坚持德才兼备的用人标准和民主、公开、竞争、择优的原则。(一)一流大学或一流学科全日制毕业生,包括博士研究生、硕士研究生和本科生(不含定向生、委培生以及独立学院毕业生)。(二)世界排名前500名国(境)外院校的全日制学士学位及以上优秀毕业生。 二、选聘岗位 无极县教育系统,河北无极中学14个教师岗位、无极第二中学16个教师岗位。(附:无极县教育局2020年“名校英才入石”选聘人员计划申报表)

三、选聘条件
(一)具有下列资格条件的人员可以报名:1、具有中华人民共和国国籍,遵守宪法和法律法规。2、具有与选聘岗位要求相应的学历、专业资格条件。3、具有良好的品行和职业道德,身体健康。
4、符合“名校英才入石”政策要求。
5、35周岁及以下,不限户籍。(年龄自公告发布之日起)服务年限最低5年(二)有下列情形之一者,不得报名:1、因犯罪受过刑事处罚的;2、曾被开除公职或学籍的;3、受*党**纪政纪处分尚未解除的;4、因违法违纪正被调查处理的;5、其他不符合报考资格条件的。 (一)报名时间地点1、报名时间:2019年11月27日至12月5日(工作日)到无极县教育局三楼会议室进行现场报名及现场资格审核。地址:花园路与幸福街北行400米路西。2、报名人员应按照选聘岗位条件要求,须提交居民身份证、学历毕业证、学位证、中国高等教育学生信息网学历查询等相关证件材料的原件和复印件。每人限报一个岗位,本次选聘采取现场报名,并同时进行资格审核。2020年应届毕业生的,请将填好个人信息的三方就业协议提交至(教育局),建议考生提前与所在学校或院系沟通,领取三方就业协议,以免影响聘用。3、携带小二寸近期蓝底照片电子版一份。(二)面试2019年12月7日到无极县教育局322房间领取《面试通知单》,地址:花园路与幸福街北行400米路西。(具体面试时间、地点详见《面试通知单》)。面试工作由无极县人力资源和社会保障局会同用人单位及主管部门组织面试工作,面试工作由第三方负责实施,面试采取说课形式,考生根据自己所报的岗位及专业学科规定的课程自行准备三节说课,时间不超过10分钟,面试时提交评委,由评委组长抽取其中一节说课,说课不使用多媒体,说课可携带说课稿等,综合进行测评,量化评分,满分100分,合格为60分,根据所报考的岗位及专业学科进行成绩排名,按成绩得分高者进入体检。(三)体检由无极县人力资源和社会保障局组织实施,拟聘人选参加体检,项目标准参照《公务员体检通用标准(试行)》的有关规定执行,体检过程中出现不合格者,取消拟聘人选资格,并从面试合格分数线以上,报考本岗位人员中由高分到低分进行递补,具体时间和地点另行通知。(四)考察考察工作重点对拟选聘人员报名资格条件及档案进行审查。同时对考生的政治思想、道德品质、工作能力和现实表现进行考察。如有考察不合格或自动放弃人员,可进行递补。考察时间由选聘单位另行通知。(五)聘用审批对合格的拟聘人员,在无极县人民政府网站公示7天,对公示反映有问题并查有实据,不符合聘用条件的取消其拟聘人选资格,对反映有问题但一时难以查实的,暂缓聘用,待查实并做出结论后决定是否聘用,对公示期无疑义的,报市人社局审批后,办理相关录用手续。被聘用人员纳入全额事业编制,按相关政策规定实行试用期,试用期一并计算在聘用合同期限内。试用期满,考核合格的,予以正式聘用;不合格的,取消聘用。 四、组织领导 为加强对本次选聘工作的组织领导,确保选聘工作规范有序进行,成立选聘工作领导小组,领导小组下设办公室,办公地点设在无极县人社局人力资源科,负责选聘工作的组织和管理。未尽事宜由县公开招聘事业单位工作人员工作领导小组办公室负责解释。本次选聘咨询电话: 人社局0311-85588123教育局0311-85587018
详情登录
http://www.wuji.gov.cn/view.asp?nid=6010
无极县人力资源和社会保障局关于教育系统人才引进选聘公告
经石家庄市人力资源和社会保障局批准,根据我县2019年 “关于事业单位人才引进选聘计划”的要求,面向社会公开选聘急需人才,现就有关事项公告如下:
一、选聘原则
选聘工作坚持德才兼备的用人标准和民主、公开、竞争、择优的原则。
二、选聘岗位及名额
本次教育系统选聘28名教师岗位,要求2020年应届师范类全日制本科一批(直本),或全日制本科起点(师范类直本)取得(相关专业)全日制硕士研究生及以上学历,具有报考相应岗位的教师资格证。

三、选聘条件及对象
(一)具有下列资格条件的人员可以报名:
1、具有中华人民共和国国籍,遵守宪法和法律法规。
2、符合本次选聘条件政策要求。
3、具有良好的品行和职业道德,身体健康。
4、具有与选聘岗位要求相应的学历、专业资格条件。
5、服务年限最低5年。
(二)有下列情形之一者,不得报名:
1、因犯罪受过刑事处罚的;
2、曾被开除公职或学籍的;
3、受*党**纪政纪处分尚未解除的;
4、因违法违纪正被调查处理的;
5、其他不符合报考资格条件的。
四、选聘程序
(一)报名时间地点及现场资格审核要求
1、报名时间:2019年11月27日至12月5日(工作日)到无极县教育局三楼会议室进行现场报名及现场资格审核。地址:花园路与幸福街北行400米路西。
2、报名考生需提供以下所需材料。请将填好个人信息的三方就业协议提交至(教育局),建议考生提前与所在学校或院系沟通,领取三方就业协议,以免影响聘用。
3、带小二寸近期蓝底照片电子版一份。
(二)面试
2019年12月7日到无极县教育局322房间领取《面试通知单》,地址:花园路与幸福街北行400米路西。(具体面试时间、地点详见《面试通知单》)。
面试采取说课形式,考生根据自己所报的岗位及专业学科规定的课程自行准备三节说课,时间不超过10分钟,面试时提交评委,由评委组长抽取其中一节说课,说课不使用多媒体,说课可携带说课稿。为确保选聘质量,面试工作由第三方负责实施,凡参加面试考生,面试成绩满分100分,面试成绩低于60分者为不合格,根据所报考的岗位及专业学科进行成绩排名,按成绩得分高者进入体检。
(三)体检
进入体检人员,体检项目标准参照《公务员体检通用标准(试行)》的有关规定执行,具体时间和地点另行通知。
(四)考察
考察工作重点对拟选聘人员报名资格条件及档案进行审查,同时进行政治思想、道德品质、工作能力和现实表现的考察。如有考察不合格或自动放弃人员,可进行递补。考察时间由选聘单位另行通知。
(五)聘用审批
对考察合格的拟聘人员,在无极县人民政府网公示7天,对公示期反映有严重问题并查有实据,不符合聘用条件的取消其拟聘人选资格,对反映有严重问题但一时难以查实的,暂缓聘用,待查实并做出结论后决定是否聘用;对公示期无疑义的,报市人力资源和社会保障局备案后,按有关规定签订聘用合同,办理流动、工资等相关手续。被聘用人员纳入全额事业编制,享受全额事业单位工资福利待遇,按相关政策规定实行试用期,试用期一并计算在聘用合同期限内。试用期满,考核合格的,予以正式聘用;不合格的,取消聘用。
五、保障措施
1、为保证考试的公正性、专业性、科学性,考试环节委托第三方机构负责实施。
2、按照“公开、公平、公正”和“落实责任、强化监管”原则,确保选聘工作顺利进行。
3、负责选聘的工作人员要严格遵守保密纪律,不准泄露与选聘有关事项。
4、对选聘过程中弄虚作假、徇私舞弊和违反选聘纪律的,一经核实,将严肃查处,取消其选聘资格并追究相关人员责任。
未尽事宜由县公开招聘事业单位工作人员工作领导小组办公室负责解释。
本次选聘咨询电话: 人社局0311-85588123
教育局0311-85587018
详情登录
http://www.wuji.gov.cn/show.asp?nid=6011
六、其他事项
(一)资格审查贯穿公开招聘工作全过程。在任何环节发现应聘者不符合招聘条件的、伪造各种证件、弄虚作假的,一经查实,取消应聘资格,情节严重的要追究责任。
(二)在招聘过程中,应聘人员未在规定时间内按要求参加资格审查、考试、体检、考察、报到等情况的,或未在规定时间内提交有关证件或证明材料的,均视为自动放弃应聘资格。
(三)经县2019年公开招聘工作领导小组研究决定:考生有违纪舞弊行为的,给予其当次全部科目考试成绩无效的处理,并将其违纪违规行为记入事业单位公开招聘应聘人员诚信档案库,长期记录。
(四)请应聘人员务必填写本人常用联系方式,在招聘期间保持手机等通讯设备畅通,以免影响报名、考试、体检和考察。
(五)本次公开招聘不指定考试辅导用书,不举办也不委托任何机构举办考试辅导培训班。请广大应聘者提高警惕,切勿上当受骗。
(六)咨询电话:0310-8858931(曲周县人社局)
(七)监督电话:0310-8858505(曲周县监察委)
七、附则
本公告由县招聘领导小组办公室负责解释。
详情登录
http://www.qzx.gov.cn/index.aspx?lanmuid=68&sublanmuid=540&id=28041
南和县2019年公开招聘人事代理教师公告
为进一步加强教师队伍建设,推动全县教育事业健康发展,解决教师短缺问题,拟通过人事代理的方式公开招聘非在编中小学教师80名,现将具体事宜公告如下:
一、招聘原则
坚持德才兼备标准,按照民主、公开、竞争、择优的原则实行公开招聘,在笔试、面试、体检的基础上择优聘用。
二、招聘对象、条件、名额
(一)招聘对象
1、中学人事代理教师招聘对象:全日制普通高校本科及以上学历毕业生,具有初中及以上教师资格证。年龄在18周岁以上、35周岁以下(即1983年11月29日—2001年11月29日期间出生)。
2、小学人事代理教师招聘对象:全日制普通高校专科及以上学历毕业生,具有小学及以上教师资格证。年龄在18周岁以上、35周岁以下(即1983年11月29日—2001年11月29日期间出生)。
(二)招聘条件
1、具有南和户籍或升学前为南和户籍;
2、拥护中国*产党共**的领导,品行端正、遵纪守法、热爱教育事业;
3、身体健康,具有正常履行职责的身体条件;
4、具有较为扎实的专业知识和工作能力。
(三)招聘名额
由县招聘工作领导小组审定,确定招聘中学人事代理教师 30名,小学人事代理教师50名。具体招聘名额和岗位条件详见《南和县2019年公开招聘中小学人事代理教师岗位条件表》。

三、工资待遇
公开招聘的人事代理教师,工资标准参照同等条件事业教师工资标准执行;按企业职工缴纳养老、医疗、工伤和失业保险;住房公积金参照事业教师缴纳标准。
四、人员管理
招聘的人事代理教师由县人力资源市场代理人事关系,管理人事档案、调整工资、职称评定等有关事项。用人单位负责日常管理和考核,日常表现和考核结果存入个人档案。考核不合格或在工作中违反工作纪律,由用人单位视情节轻重出具意见,予以解除聘用合同。合同期满,根据工作需要和双方意愿,确定是否续签或解除聘用合同。
五、退出机制
有下列情形之一的,县教育局与所聘人员终止或解除合同,停止发放工资:
(1)所聘人员期满又未续聘的;
(2)已实现其他岗位就业的;
(3)不能坚持正常工作的;
(4)严重违反用人单位管理制度的;
(5)被依法追究刑事责任的;
(6)年度考核不合格的。
六、招聘程序
1、报名:报名时间:2019年12月3日-8日。报名地点: 南和县青少年活动中心。报名咨询电话:0319—4667116、3781689
每个考生只允许报考一个岗位,应聘人员按要求填写《南和县公开招聘人事代理教师报名表》,并提交本人有效身份证、户口本、毕业证、就业报到证和教师资格证有关材料原件及复印件、本人近期小二寸免冠同底彩色照片6张等。
2、考试:全权委托第三方考试机构组织实施
(1)笔试为闭卷考试,笔试开考比例为1:3,报考人数达不到开考比例的,经招聘领导小组研究,可适当降低开考比例。笔试内容为教育法律法规、中小学教师职业道德修养基本要求、教育学、教育心理学、新课程理念。笔试不指定参考书目和考试大纲,主要考察应聘考生从教的基本素质和分析问题、解决问题的能力。笔试成绩总分为100分,占总分的60%。
(2)面试(说课)按1:1.5的比例分岗位从高分到低分的顺序确定进入面试人选,面试以说课的形式进行,说课题目从报考岗位对应的教材中随机抽取,面试(说课)满分为100分,占总成绩的40%。面试(说课)实行当场打分,成绩采用“体操打分”方法,去掉一个最高分和一个最低分,其他分数的平均分为面试成绩。
取得面试资格人选在南和县政府网、南和县政府信息公开平台公示,请考生及时关注网上关于领取《面试通知单》的通知,面试具体时间、地点安排及要求详见《面试通知单》。
考试总成绩(保留2位小数)=笔试成绩×60%+面试成绩×40%;
3、体检和考察:根据考生总成绩,分岗位按照招聘计划1:1的比例从高分到低分确定进入体检和考察人选。如总成绩相同,按笔试成绩高的确定人选,笔试成绩相同的,按学历(学位)较高者确定进入人选。进入体检、考察人员名单在南和县政府网站、南和县政府信息公开平台公布。
体检按规定时间到指定医院体检,体检费自理。
体检合格的由南和县教育局按照招聘条件对考生思想政治表现、道德品质、业务能力、工作实绩等情况进行考察。体检、考察不合格的,取消拟聘人选资格,在报考同一岗位的考生中按总成绩从高到低依次递补。
4、公示:体检、考察合格的考生,确定为拟聘用人员,拟聘用人员名单在南和县政府网、南和县政府信息公开平台公示,公示期7个工作日。公示期间有异议且影响聘用的,取消其拟聘资格;招聘对象在公示期间放弃聘用的,所出现的岗位空缺按总成绩从高分到低分依次递补其它考生。
5、聘用:对公示期满无异议的,或有反映问题但经核实不影响聘用的人员,与用人单位签订人事代理聘用合同。三年合同期满,经教育部门考核合格后,双方可以协商续签聘用合同。
资格审查贯穿于公开招聘的全过程,如发现弄虚作假行为,随时取消应聘资格。
详情登录
http://www.nhxzf.gov.cn/web/show?id=3203
天津一中雄安校区雄县中学2020年教师招聘公告
一、招聘原则
我校2020年招聘工作坚持按需设岗、按岗招聘的原则;坚持公开、公平、竞争、择优的原则;坚持德才兼备、任人唯贤的原则。
二、招聘教师岗位名额
共招聘教师45名。其中语文6名,数学4名,英语5名,物理6名,化学4名,生物5名,历史3名,地理5名,政治4名,信息技术1名,体育2名。
三、招聘范围
1、应届毕业生
①2020年全日制本科一批(直本)及以上学历学位、国家统一招生计划的非定向、委培生;
②具有较好的理论基础和专业素养,综合素质全面;
③应届硕士研究生年龄30周岁以下,1989年11月1日(含)以后出生;应届博士研究生年龄35周岁以下,1984年11月1日(含)以后出生。
2、往届毕业生
①大学起始学历为全日制本科一批(直本)及以上学历;
②一直从事高中教学一线工作,获得省、市荣誉称号的骨干教师、学科带头人、教育教学成绩突出者优先考虑(原则上年龄在35周岁(含)以下,特别优秀的可放宽至40周岁)。
四、报考条件
(一)基本条件
1、具有中华人民共和国国籍;
2、拥护中华人民共和国宪法,遵守各项法律法规,具有良好的品行;
3、热爱教育事业,热爱教师职业;
4、具有正常履行职责的身体条件;
5、具有符合岗位要求的专业技能和工作能力;
6、具有相应学科高级中学教师资格证书。招聘过程中,尚未取得教师资格证的,应在正式入职前取得相应学科的高级中学教师资格证书;
7、符合岗位要求的其他条件。
(二)下列人员不得报考
1、现役军人;
2、在校在读(全日制)非应届高校毕业生;
3、在以往公开招聘考试中,被认定为有考试作弊行为的人员;
4、曾因犯罪受过刑事处罚的人员;
5、曾被开除公职的人员;
6、法律法规规定其他不宜录用的人员。
五、招聘方法
本次招聘面向社会实行公开招聘,采取笔试、面试相结合的方式进行,具体程序如下:
(一)网上报名
1、报名方式及时间
报名起始日期:2019年11月23日上午8点;
截止日期:2019年12月20日下午5点。
2、报名需录入的信息
应聘人员先扫描“二维码”,再进行网上报名,填写个人相关信息,上传本人电子照片(近期免冠正面证件照,jpg格式,尺寸为295x413像素,大小20-100kb),并提供有效通讯方式。
3、有关要求
①报考人员填写的信息必须与本人实际情况、报考条件和所报考的岗位要求相一致,资格审查贯穿整个招聘工作始终。凡弄虚作假者,一经查实,取消考试、聘用等资格;
②每位报考人员限报一个岗位,并使用本人有效居民身份证进行报名和参加考试。
(二)网上资格初审及报名确认
报考人员进行网上报名的同时,雄安校区雄县中学对照招聘条件逐个进行资格初审,通过资格初审的应聘人员将收到电话或短信通知,未通过资格初审的应聘人员将不予通知。同一报考岗位的网上资格初审合格人数与招聘岗位计划数之比应不低于3:1,不足规定比例的,取消或相应核减本批次该岗位计划数,学校按将照相关规定进行二次招聘。
(三)笔试和面试
1、笔试:
笔试内容为专业知识和综合知识,总分为100分。报名资格审查通过的人员,按照雄安校区雄县中学的招聘要求参加笔试,以电话或短信形式另行通知。(6所部属师范院校符合条件的毕业生直接进入面试,不参加笔试,面试合格后优先聘用);
进入面试的人员请携带以下材料的原件和复印件,到我校进行资格审核:在校证明(注明专业、是否能如期毕业)或毕业证,毕业生推荐表、身份证、教师资格证、英语等级证书。若出现资格复审不合格,按笔试成绩由高到低顺次递补。
2、面试:
面试分两个阶段进行:
第一阶段是说课及现场答辩,考生按抽到的题目内容进行现场说课,然后回答考官提出的相关问题,由考官根据说课表现和答辩情况给出分数;总分为100分,低于及格线60分的考生不能进入第二阶段面试。第一阶段笔试分数与面试分数按4:6比例相加计算成绩,由高到低排序,按岗位招聘人数1:2的比例确定进入第二阶段面试的人员名单。
第二阶段是进班授课,进入本阶段面试的人员须按照我校要求,事先准备授课内容,面向教学班级现场教学,由考官根据教学实际情况给出分数。本阶段总分为100分,第二阶段面试与第一阶段面试成绩按6:4比例计算出面试成绩,未参加第二阶段面试的人员,不计算面试成绩,视为自动放弃。
体育学科面试第一阶段的形式及内容见附件一。
3、计分:面试超过及格线(60分)的考生,按照笔试、面试成绩4:6的比例进行相加计算总成绩。按总成绩由高到低排序,总成绩相同的,以面试成绩较高者列前。
(四)体检、考察、公示、聘用
1、体检:
拟聘用人员在雄安新区指定医院集中体检,体检标准参照《公务员录用体检通用标准(试行)》执行,体检不合格者取消聘用资格,未按规定时间、地点参加体检的视为自动放弃;
2、考察:
对体检合格人员按有关规定组织考察,考察内容主要包括考察对象的政治思想、道德品质、遵纪守法、能力素质、工作态度、学习及工作表现等方面的情况。考察结束后,将考核结果形成书面材料;
3、公示:
根据考试或考核结果、体检、考察结果,经招聘单位负责人员集体研究确定拟聘用人员名单,并对拟聘用人员在招聘信息发布范围内进行公示,公示期为7个工作日;
4、聘用:
学校法定代表人与受聘人员签订聘用合同,确定人事关系。受聘人员实行试用期制度。试用期包括在聘用合同期限内。试用期考核合格的,予以正式聘用;试用期考核不合格的,取消聘用。
拟聘人员自愿放弃聘用、拟聘人员未在规定的时间内报到或其他情形导致招聘岗位空缺时,本单位可根据情况决定按照规定程序和时限,依据应聘者考试成绩由高分到低分依次递补。
六、相关福利待遇
1、所有录用人员按规定实行试用期制度,试用期包括在聘用期内。试用期满,经考核合格后正式聘用,不合格者解除聘用;
2、招聘的免费师范生(北京师范大学、东北师范大学、陕西师范大学、华东师范大学、华中师范大学、西南大学)办理入编入职手续;
3、其他招聘教师,采用人事代理方式。比照事业单位工作人员有关政策,落实工资、社会保险、公积金等待遇;
4、本科“211工程”院校及全日制硕士研究生及以上学历,文史、理工类毕业生,按月发放住房补贴,每人每月1500元,原则上连续发放3年,如果雄安新区政策改革待遇提高则不再发放;
5、为每一位聘用老师提供免费住宿。
相关信息:
1、本招聘公告由天津一中雄安校区雄县中学教务处负责解释。
2、咨询电话:13603286233
13931363535
13933273186
3、招聘邮箱:xxzx0634@163.com
详情登录
https://mp.weixin.qq.com/s/9OoRFdKYRZOQg0p2lK6bgg
雄安新区雄县教育局白洋淀高级中学关于教师招聘的公告
为满足招生规模需要,优化教师结构,保持教师队伍的可持续发展,全面提高教育教学质量,雄县白洋淀高级中学依据雄县教育局关于2020年中小学教师招聘文件精神,特制定以下招聘工作方案:
一、学校简介
白洋淀高级中学位于雄安新区雄县城区西侧,东临国家5*级A**风景区白洋淀,地理位置优越,交通便利,是一所公办高级中学, 2016年2月投入使用。
二、拟招聘学科教师
为使学校更快的扩大发展,满足招生规模需要及保持教师队伍活力,现诚聘教坛精英及优秀应往届毕业生。

三、招聘对象
符合应聘条件的2020年应、往届优秀毕业生。
四、招聘条件
(一)1、热爱教育事业,身体健康,诚实守信,品行端正,敬业爱生;2、大学期间成绩优秀,获较高等级专业奖学金者优先;3、在大学期间入*党**,获校级优秀学生干部者优先;4、高中阶段获得学科竞赛省级二等奖及以上者优先。
(二)1、应届毕业生:①2020年全日制本科一批及以上学历学位,国家统一招生计划的非定向、委培生。②应届硕士研究生年龄30周岁以下,1989年11月1日(含)以后出生;应届博士研究生年龄35周岁以下,1984年11月1日(含)以后出生。
2、往届毕业生:①大学起始学历为全日制本科一批及以上学历。②获得省、市特级教师称号的骨干教师、学科带头人,教学成绩突出者优先考虑(原则上年龄35岁(含35)以下,教学成绩特别优秀教师可适当放宽到40周岁)。
(三)1、具有相应学科教师资格证(招聘过程中,尚未取得教师资格证的,应在正式入职前取得相应学科的高级中学教师资格证书),所学专业、学历符合应聘条件。2、下列情形之一者不得应聘:刑事处罚期限未满或者涉嫌违法犯罪正在接受调查的人员;尚未解除*党**纪、政纪处分或正在接受纪律审查的人员;近5年内,曾在公务员招录、事业单位公开招聘考试中被认定有舞弊等严重违反招聘纪律的人员;现役军人、普通高等学校在校生(2020年应届毕业生除外)。
五、福利待遇
1、所有录用人员按规定实行试用期制度,试用期包括在聘用期内。试用期满,经考核合格后正式聘用,不合格者解除聘用;
2、招聘的免费师范生(北京师范大学、东北师范大学、陕西师范大学、华东师范大学、华中师范大学、西南大学)办理入编入职手续;
3、其他招聘教师,采用人事代理方式。比照事业单位工作人员有关政策,落实工资、社会保险、公积金等待遇;
4、“211工程”院校本科及全日制硕士研究生学历以上文史、理工类毕业生(以高考录取本科专业为准),按月发放住房补贴,每人每月1500元,原则上连续发放3年,如果雄安新区政策改革待遇提高则不再发放;
5、学校为聘用老师提供免费食宿。
六、应聘方式
1、应聘者将个人自荐书发至邮箱xxgztwo@163.com,学校进行初选,对入选者将用电话通知应聘教师来学校进行面试(考生按抽到的题目内容进行现场说课,然后回答招聘小组提出的相关问题,由招聘小组根据说课表现和答辩情况给出分数;总分为100分,低于及格线60分的考生不能进入第二阶段复试。按岗位招聘人数1:2的比例确定进入第二阶段面试的人员名单)、复试(进入本阶段复试的人员须按照我校要求,事先准备授课内容,面向教学班级现场教学,由招聘小组根据教学实际情况给出分数。本阶段总分为 100分,复试与面试成绩按6:4比例计算出面试成绩,未参加复试的人员,不计算面试成绩,视为自动放弃)。报名起始日期:2019年11月23日上午8点;截止日期:2019年12月31日下午5点。
2、学校招聘委员会按程序考核结果合格后进入:
①体检:拟聘用人员在雄安新区指定医院集中体检,体检标准参照《公务员录用体检通用标准(试行)》执行,体检不合格者取消聘用资格,未按规定时间、地点参加体检的视为自动放弃;
②考察:对体检合格人员按有关规定组织考察,考察内容主要包括考察对象的政治思想、道德品质、遵纪守法、能力素质、工作态度、学习及工作表现等方面的情况。考察结束后,将考核结果形成书面材料;
③公示:根据考试或考核结果、体检、考察结果,经招聘单位负责人员集体研究确定拟聘用人员名单,并对拟聘用人员在招聘信息发布范围内进行公示,公示期为7个工作日;
④聘用:学校法定代表人与受聘人员签订聘用合同,确定人事关系。受聘人员实行试用期(两个月)制度。试用期包括在聘用合同期限内。试用期考核合格的,予以正式聘用;试用期考核不合格的,取消聘用。
联系地址:白洋淀高级中学(雄县旅游路杨西楼大桥往西1300米路南)
邮政编码:071800
咨询电话:0312-5301901 13582070678 13703368507
邮 箱:xxgztwo@163.com
联 系 人:李老师 陈老师
本招聘公告由雄县白洋淀高级中学办公室负责解释。
详情登录
https://mp.weixin.qq.com/s/LV7KWahbDn7wN0OXqJha4A
清华附中雄安学校2020年教师公开招聘
一、招聘原则
(一)坚持公开公平,竞争择优。
(二)坚持考试考察,择优聘用。
(三)坚持统一规范,分级负责。 二、招聘教师岗位、数量及专业要求
2020年度清华附中雄安学校教师招聘岗位计划共80名

三、招聘条件
(一)基本条件
1.具有中华人民共和国国籍;拥护中国*产党共**的领导和*党**的路线、方针、政策;遵纪守法、诚实守信,品行端正,身心健康。
2.热爱教育工作,关爱学生、为人师表,具有良好的职业道德素养和优秀教育教学专业技能。
3.具有相应学科教师资格证,所学专业、学历符合应聘条件。
4.普通话水平须为二级乙等及以上。
5.下列情形之一者不得应聘:刑事处罚期限未满或者涉嫌违法犯罪正在接受调查的人员;尚未解除*党**纪、政纪处分或正在接受纪律审查的人员;近5年内,曾在公务员招录、事业单位公开招聘考试中被认定有舞弊等严重违反招聘纪律的人员;现役军人、普通高等学校在校生(2020年应届毕业生除外)。
(二)岗位任职条件
1. 应届毕业生
(1)2020年应届毕业生,国家统一招生计划的非定向、委培生。
(2)全日制硕士研究生及以上学历学位(免费师范生可放宽至本科学历学位)。
(3)具备较好的理论基础和专业素养;综合素质全面,*共中***党**员、学生干部等优先考虑。
(4)应届硕士研究生年龄30周岁以下,1989年11月1日(含)以后出生;应届博士研究生年龄35周岁以下,1984年11月1日(含)以后出生。
2. 往届毕业生
(1)大学起始学历为全日制本科。
(2)获得省、市特级教师称号的骨干教师、学科带头人,教学成绩突出者优先考虑。
(3)往届毕业生原则上年龄45岁以下(含45),中级及以上职称、教学成绩优秀教师可适当放宽年龄限制。招聘方法本次招聘工作由清华大学附属中学协助清华附中雄安学校组织招聘,按程序考核合格后,由雄县教育局协助办理入职等相关手续。 四、招聘程序
(一)网上报名
1.报名方式及时间清华附中在学校网站(www.qhfz.edu.cn)人才招聘栏目发布招聘公告。招聘公告发布7个工作日后,清华附中组织开展报名工作。应聘人员登录学校网站,进入“人才招聘”系统,点击“雄安地区”申请报名。
报名起始日期:2019年11月12日上午8点;截止日期:2019年12月31日下午5点。
2.报名需录入的信息报考人员登录“清华附中网”进行报名,签署“诚信承诺书”,填写个人基本情况、教育经历等信息,上传本人电子照片(近期免冠正面证件照,jpg格式,尺寸为295×413像素,大小20-100kb),并提供有效通讯方式。
3.有关要求
(1)报考人员填写的信息必须与本人实际情况、报考条件和所报考的岗位要求相一致。资格审查贯穿整个招聘工作始终,凡弄虚作假者,一经查实,取消考试、聘用等资格。
(2)每位报考人员限报一个岗位,并使用本人有效居民身份证进行报名和参加考试。
(二)网上资格初审及报名确认报考人员进行网上报名的同时,清华附中雄安学校对照招聘条件逐人进行资格初审,于报名截止日次日12:00前完成。通过资格初审的应聘人员将以短信形式通知;未通过资格初审的应聘人员不予通知。同一报考岗位的网上资格初审合格人数与招聘岗位计划数之比应不低于3:1,不足规定开考比例的,取消或相应核减该岗位计划数。
(三)笔试和面试等工作报名资格审查通过的人员按照清华附中雄安学校的要求参加笔试和面试等,具体时间、地点等由清华附中短信另行通知。依据考生的综合成绩确定拟聘用人员名单。
(四)体检、考察、公示、录用拟聘用人员在雄安集中体检。体检标准参照《公务员录用体检通用标准(试行)》执行,体检不合格者取消聘用资格,未按规定时间、地点参加体检的视为主动放弃。经考察合格,拟聘用人员名单在雄县教育信息网公示7个工作日,公示无异议后办理相关手续。 五、福利待遇
(一)薪金待遇1.在聘期间为公办学校正式教师,比照事业单位工作人员有关政策,落实工资、社会保险、公积金等待遇。2.211工程院校及全日制硕士研究生学历以上,文史、理工类毕业生按月发放住房补贴,每人每月1500元,原则上连续发放3年,如果新区政策改革待遇提高则不再发放。
(二)享受带薪寒暑假,可为教师提供宿舍。
(三)本年度录用的各学科教师,将参加清华附中一体化学校的教师培训等活动。1.本招聘公告由清华附中雄安学校人力资源中心负责解释。
2.咨询电话:0312-5566015 0312-5566016(王老师)
3.招聘邮箱:qhfzxaxx2019@163.com
详情登录
https://mp.weixin.qq.com/s/8jib1Dnsg71TrI_lIitkdg
怀安县2019年公开选聘专业教师公告
根据省委组织部、省人力资源和社会保障厅《河北省事业单位公开招聘工作人员暂行办法》(冀人社发[2011]9号)和《怀安县事业单位公开招聘工作人员暂行办法》文件精神,经县委、县政府批准,面向社会公开选聘专业教师7名。
一、选聘原则
坚持德才兼备和“民主、公开、竞争、择优”的原则,实行公开选聘,在面试、考核的基础上择优聘用。
二、选聘人数、基本条件
(一)选聘人数
拟公开选聘专业教师7名,其中汽车维修工程教育专业4人,机械设计制造及其自动化专业3人。

(二)应聘人员应具备以下基本条件
1.具有中华人民共和国国籍,遵守宪法和法律,政治思想素质好,热爱社会主义祖国,坚持*党**的路线、方针、政策,热爱教育事业,有强烈的事业心和责任感,品行端正,遵纪守法,未受过任何纪律处分。
2.应聘者年龄限定在18周岁以上(2001年12月2日及以前出生),35周岁以下(1983年12月2日及以后出生)。
3.应聘大学毕业生,要求具有张家口(含县、区)户籍或生源;硕士研究生及以上学历不限户籍。
4.报名者均需具有两年以上汽车专业工作经历,并提供单位证明。
5.报名者需提供中等职业学校汽车运用与维修专业教师资格证书。对没有中等职业学校汽车运用与维修专业教师资格证书的,也可报考相应岗位,如被录用,必须在一年内取得,否则不能转正定级,仍按见习工资执行。
6.具有良好的身体素质和心理素质,身体健康,五官端正,无传染性疾病,无精神病史。
(四)有下列情形之一的人员不得报考
1.曾因犯罪受过刑事处罚或被开除公职的人员;
2.报考聘用后即构成回避关系的人员;
3.法律、法规规定不得招聘为事业单位工作人员的其他情形人员。
4.现役军人、在编的公务员和事业单位工作人员、在读大学生不在招聘范围。
三、报名和资格审查
采用现场报名方式进行。
1.报名时间:2019年12月2日至2019年12月4日(上午8:30-11:30,下午14:00-17:30)
2.报名地点及联系方式:怀安县职业技术教育中心
电话:5631552
3.报名要求:报名者须填写《怀安县事业单位公开招聘工作人员报名表》,并带本人有效居民身份证、户口薄、毕业证、学位证(本科及以上学历)、报到证、教师资格证、汽车维修工程教育专业报考考生需携带汽车维修技师证、汽车专业工作经历证明、学信网学历电子注册备案表、有就业单位的还须出具单位同意解除劳动关系的证明和有关材料原件以及复印件、5张近期同底1寸免冠照片。
特别提醒:报考人员应如实提交有关信息和材料,资格审核贯穿选聘工作全过程,在任何环节,发现考生不符合选聘条件,弄虚作假的,取消应聘资格,问题严重的要追究责任。凡考生未在规定时间内按要求参加面试、体检、考核、报到等情况的,均视为自动放弃应聘资格。报名与面试时使用的身份证必须一致。请考生保持报名时所留联系电话的畅通,以便通知有关事宜。
4.资格审查及缴费。依据选聘岗位条件,对报考人员进行资格审查,资格审查结果现场确认。通过资格审查的考生交纳报名考务费100元。享受最低生活保障城镇家庭的考生须提供其家庭所在地的县(市、区)民政部门出具的享受最低生活保障的证明和低保证、户口薄原件及复印件;农村建档立卡贫困家庭的考生须提供其家庭所在地的县(市、区)扶贫办(部门)出具的贫困证明及贫困家庭基本情况档案卡、户口薄原件及复印件,免报名考务费。
准考证发放:考生领取准考证时间、地点在怀安县政府网站公布。
四、面试
面试工作在县人力资源和社会保障局、县教育体育和科学技术局指导监督下,由怀安县职教中心具体组织实施。
1.面试时间和地点: 在怀安县政府网站公布。
2.面试方式:采取理实一体化实训教学考核的方式进行(时间在40分钟:10分钟备课,30分钟试讲和实操),面试内容为汽车制造与装配、汽车运用与维修。面试实行百分制,当场打分,面试成绩采用“体操打分”方法,去掉一个最高分和一个最低分,其他分数的平均分为面试成绩。最低合格分数线60分。
面试成绩当天在怀安县政府网站公布。
五、体检、考核
根据考生的面试成绩从高分到低分确定选聘岗位1:1的比例进入体检环节。末位面试成绩如出现并列,再加试确定。
体检工作由怀安县职教中心组织,体检前一天确定体检医院,并严格做好保密工作。体检参照现行的《公务员录用体检通用标准》执行。体检合格的,由县教育体育和科学技术局会同怀安县职教中心对其思想政治表现、道德品质、业务能力、工作实绩等情况进行考核,以及对拟聘人员的报名资格进行复审。对伪造、变造有关证件、材料、信息,骗取考试资格的,将按有关规定予以严肃处理。体检、考核不合格的,取消拟聘人选资格,并从最低合格分数线以上报考同一岗位的人员中按面试成绩从高分到低分依次递补。
六、公示
根据考生的面试、体检、考核情况,经选聘工作领导小组研究后,确定拟聘人选,拟聘人员名单在怀安县政府网站公示,公示期为7个工作日。公示期满,对符合聘用条件者办理聘用手续。
对公示反映有严重问题并查有实据,不符合聘用条件的取消其拟聘人选资格。
七、聘用办法及相关待遇
经公示无异议的拟聘用人员,上报县委全面深化改革领导小组同意,按规定填写《河北省事业单位公开招聘工作人员审批表》,经县人力资源和社会保障局审批,并报市人力资源和社会保障部门备案后,与用人单位签订《河北省事业单位聘用合同》,办理就业、工资、社保等相关手续。被聘用人员按相关政策规定实行试用期,试用期一并计算在聘用合同期限内。试用期满考核合格的,予以正式聘用,不合格的,取消聘用。
八、纪律监督
对于违反公开选聘弄虚作假的应聘人员,一经查实,取消其报考或聘用资格。对于违反公开选聘纪律的工作人员,将按照有关规定进行严肃处理。
以上意见由怀安县人力资源和社会保障局、怀安县教育体育和科学技术局负责解释。
政策咨询电话:7832482 7823668
详情登录
http://www.zjkha.gov.cn/content/30333.html
石家庄市金柳林外国语学校教师招聘
学校简介:
金柳林外国语学校是“石家庄北城教育集团”旗下的九年一贯制学校,小学校区和建设中的初中校区分别坐落在美丽的太平河两岸。
学校的办学宗旨是:“东西并融、明德启智”,学校以优质的教育质量、雄厚的师资力量与科学的管理深受社会和国家认可。第二次腾飞的机会,小学部、中学部、国际部将比翼齐飞,学校将成为石家庄最具国际化特色的、高品质的K12教育基地。
学校面向全国招聘热爱教育事业的青年教师。
招聘岗位:
小学部:语文教师、数学教师、英语教师各5名
初中部:语文教师、数学教师、英语教师各5名
待遇:
转正后薪资6000-9000元
转正后五险一金
招聘要求:
1、年龄:26-40周岁;
2、性别:不限;
3、学历:全日制本科及以上(优秀者可放宽);
4、专业:与应聘学科相同或相近(特别优秀者可放宽);
5、国办、民办中小学在职教师。市级以上评优课者获得者、骨干教师和优秀班主任者可优先考虑;
6、具有教师资格证;
7、普通话水平二级甲等以上;
8、英语教师需具备英语专业四级以上等级证书;
9、具备6年以上教育教学工作经验。
报名方式:
1.报名方式:本次招聘采取网上报名的方式。
报名网站为:www.noahjob.cn(也可微信关注“诺招聘”,在手机微信端进行报名。手机端报名流程:进入“诺招聘公众号”-点击“我要求职”-“政府单位招聘”-找到相*招应**聘界面报名)
网上资格初审通过的考生可进入网上缴费环节缴纳面试服务费50元。系统显示缴费成功后既报名通过,具备参加初试资格。查询结果为“初审未通过”的考生可根据提示未通过原因进行修改,审核工作人员根据修改后信息进行再次审核。
经修改后,初审结果仍显示“未通过”且不能再修改的考生不具备报名资格。
报名咨询电话:
缴老师:0311-85095785 17798015650(同微信)
详情登录
http://www.noahjob.cn/ProjectRecruitStep/Notice?PK_JPID=201911050937337220000000000002038842&PK_PFID=201911050937337370000000000002038854
觉得有用请点赞!
来源:河北日报