规则繁多的世界里
每一个人都是渺小的,脆弱的,孤独的
知识就像一盏灯,照亮黑暗,驱散焦虑.....
1,焦虑的根源:休戚相关的不确定性。
死很可怕,但是我们却不是异常的焦虑,因为我们知道人固有一死,或重于泰山,或轻于鸿毛。死以百分之百的确定性来到我们面前我们也可做到面不改色,毫不焦虑。
恋爱是一件人人梦寐已久的好事,不羡神仙 只羡飞天比翼鸟,落地连理枝。这么美妙的恋爱却常常让人倍感焦虑。
因为每一个独立的个人,对于别人来说都是一个充满不确定的实体,当两个不确定的实体碰撞后,会放大不确定性。我们常常疑问“她喜不喜欢我?他爱不爱我?她为什么生气?他又为什么不哄我?”。一切来的莫名其妙,一切成因又在情理之中。
2,缓解焦虑的二元方法:
尊重每一个不确定的实体,放低我们对低概率事件的高概率诉求,可以减少我们的焦虑。幸福感不在于 我们拥有很多,而在于 很少的拥有你也能心满意足。
概率论思维赋予我们上帝的视角,用概率数字去量化未知,从而消除不确定性带来的焦虑。在技能权重更高的事情里,勤奋努力更重要。在运气权重更高的事情里,“什么都不做”更重要。这个世界属于既懂概率、又能创造条件概率的人。
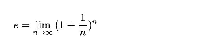
3,用一个公式缓解焦虑。
这么美妙的公式,需要从美丽的e(自然常数,超越数)开始说起:
简单的数学定义:

接着我们来谈谈掷*子骰**(爱赌的小伙伴是不是有点兴奋和焦虑)问题,
设*子骰**正面为 1 的概率为P。
如果我们投掷:n次*子骰**,正面为1出现的次数:K 次 的概率是多少呢?这里我们脑海里闪现出一个二项式。
出现K次的概率等价于:

这时候你可能会问:这个二项式 和 e 有毛线关系吗?
有,没有无缘无故的恨,也没有无缘无故的爱。可以说二项式是骑着飞火轮的追求这美丽的e。一起看看这一段爱恨。


二项式和美丽的e 邂逅,共同缔造来 大名鼎鼎的泊松分布。
4,泊松分布公式,量化不确定性
日常生活中,大量事件是有固定频率的。
某公司平均每10分钟接到1个电话某网站平均每分钟有2次访问
电话交换机平均每小时接到呼叫的次数
汽车站台平均每小时候客人数
自然灾害平均每年发生的次数等。
它们的特点就是,我们可以预估这些事件的总数,但是没法知道具体的发生时间。已知平均每小时“303公交车”会出现3个,请问下一个小时,“303公交车” 会出现几个?

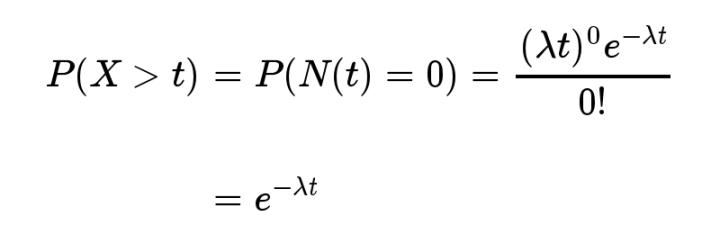
泊松分布就是描述某段时间内,事件具体的发生概率。

上面就是泊松分布的公式。等号的左边,P 表示概率,N表示某种函数关系,t 表示时间,n 表示数量,1小时内出生公交车出现3次的概率,就表示为 P(N(1) = 3) 。等号的右边,λ 表示事件的频率。
接下来两个小时,一个公交车都不出现的概率是0.25%,基本不可能发生。

接下来一个小时,至少出现2个公交车的概率是80%。

泊松分布的图形大概是下面的样子。

可以看到,在频率附近,事件的发生概率最高,然后向两边对称下降,即变得越大和越小都不太可能。每小时出生3个公交车,逼近正常的均值,这是最可能的结果,汽车出现次数得越多或越少,就越不可能。
当我们心中有了预期概率,我们就可以更有把握的决定,比如两个小时还没等到汽车的概率为:0.0025,极低的概率预示着没必要在等了,该换其他交通方式才是明知的。
5,题外扩展
指数分布是事件的时间间隔的概率,指数分布的公式可以从泊松分布推断出来。如果下一个汽车要间隔时间 t ,就等同于 t 之内没有汽车出现,也就是t时间内出现汽车的次数为0。

反过来,事件在时间 t 之内发生的概率,就是1减去上面的值,指数分布出现了。

有点累,写到这里,算是完美了
如果看到这里,就点个在看吧,谢谢老铁。
