今天跟伙伴们深度解析一下楼板振动舒适度分析方法,主要分以下四个部分:①人行走及有节奏运动荷载函数;②荷载激励方式;③楼板竖向自振频率及振动加速度限值;④楼板竖向振动加速度计算方式。
下面先分享五个来自娄宇大师经典著作《楼板体系振动舒适度设计》中的小故事。
Story 1:18世纪中叶法国昂热市一座102m长得大桥上有一队士兵经过,当他们在指挥官的口令下迈着整齐的步伐过桥时,桥梁突然断裂,造成226名官兵和行人丧生。究其原因是大队士兵迈正步走的频率正好与大桥的自振频率一致,使桥的振动加强,当它的振幅达到最大以致超过桥梁的承载能力时,桥就发生断裂。所以后来各国都规定大队人马过桥时,要解散便步通过。
Story 2:1902年,在英国格拉斯格的阿布罗足球场,英格兰队和苏格兰队正在激烈角逐,狂热的球迷不断进行有节奏的跺脚呐喊以助声势,看台突然倒塌,造成25人死亡、517人受伤。
Story 3:2006年新西兰惠灵顿某舞厅在大家跳舞时发生了舞厅地板倒塌事故。
Story 4:唐朝开元年间,洛阳有一个姓刘的和尚,他的房间内挂着一副磬,他常敲磬解烦。有一天,刘和尚没有敲磬,磬却自动想起来了。这使他大为惊奇,终于惊扰成疾(刘和尚的病估计是吓出来的)。他的一位好朋友曹绍夔是宫廷的乐令,不但能弹一手琵琶,而且精通音律,闻讯前来探望刘和尚。经过一番观察,他发现每当寺院里的钟响起来时,和尚房里的磬也跟着响了。于是曹绍夔拿出刀来把磬磨去几处,从此以后就不再自鸣了。他告诉刘和尚,这磬音律和寺院的钟的音律一致,敲钟时由于共振,磬也就响了。将磬磨去几处就是改变它的音律,这样就不会引起共鸣。刘和尚恍然大悟,病也随之痊愈。
Story 5:在韩国首都广津区,有一座名为“TechnoMart”的购物大楼,共39层,在12层设有健身房。在2011年7月5日,健身房内有17名中年人随着音乐在楼内跳起“跆搏”健身操,其有节奏的跳动和楼板结构产生自振,导致购物中心大楼出现短时间晃动,“摇摆”长达10min,数百人惊慌逃离。
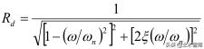
以上五个小故事的现象均源于结构动力学中的共振原理,其反应关系式如下:

式中:

——动力放大系数;

——结构自振频率(Hz);
ω——振动频率(Hz);
ξ——结构阻尼比。
当(共振)时,

达到最大值为

。ξ=0.02时,

;ξ=0.03时,

;ξ=0.04时,

;ξ=0.05时,

。

人行走及有节奏运动荷载函数
人行走荷载主要包括连续行走荷载、不连续行走荷载、跳动荷载等,今天就主要扯一下应用相对较广泛的连续行走荷载。连续行走荷载主要有两种函数,一种是只考虑一阶荷载频率及忽略静荷载影响的简化函数,另一种是考虑前三阶荷载频率及静荷载影响的函数(IABSE行走模型)。关于这两种荷载模型的适用性说明,将在“楼板竖向振动加速度计算方式”章节结合楼盖竖向振动加速度简化计算方法及计算实例详细讲解。以下为相关荷载函数及其较有代表性的荷载曲线。
Baumann单足落步荷载(无特定函数表达式):

Baumann单足落步荷载曲线(步频2.0Hz,行人体重0.70kN)
图中:
f——行人第1阶步频,一般可取2Hz;
G——行人体重,一般可取行人体重70kg,0.70kN;
t——单足落步持时,t=1.2/f;
只考虑一阶荷载频率及忽略静荷载影响的简化连续行走荷载函数:

式中:

——人步行竖向力;
G——行人体重,一般可取行人体重70kg,0.70kN;

——第1阶简谐动载因子,对于人行走步频为2Hz时,一般可取0.43;

——行人第1阶步频,一般可取2Hz。

只考虑一阶荷载频率及忽略静荷载影响的简化连续行走荷载曲线(步频2.0Hz,行人体重0.70kN)
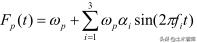
考虑前三阶荷载频率及静荷载影响的连续行走荷载函数(IABSE行走模型):

式中:

——人步行竖向力;
G——行人体重,一般可取行人体重70kg,0.70kN;

——第i阶简谐动载因子,按表2.2;

——行人第i阶步频,按表2.2;

——第i阶荷载频率的相位角,按表2.2。


考虑前三阶荷载频率及静荷载影响的连续行走荷载曲线(步频2.0Hz,行人体重0.70kN)

仅考虑一阶荷载频率及静荷载影响的连续行走荷载曲线(步频2.0Hz,行人体重0.70kN)
此外,有节奏运动对楼板振动舒适度的影响不容忽视,在健身房、体育馆内进行的有氧健身操、健美操和器械健身等健身活动,以及舞厅的跳舞等均为有节奏运动。由于有节奏运动与人行走荷载有较大差异,传统上一般用等效均布动荷载来反映其对楼板体系振动的影响,等效均布动荷载的大小取决于参与有节奏运动的人数,即有节奏运动荷载函数相比连续行走荷载函数,人的等效均布荷载

替换行人体重G。
有节奏运动荷载函数:

式中:

——人有节奏运动竖向力;

——人的等效均布荷载,可参考按表2.4;

——第i阶简谐动载因子,按表2.5;

——第i阶荷载频率,按表2.5;


注:假定座位是固定的,对于无固定座位的情况,采用括号内数值;混合使用的动力因子与有氧健身操相同。

有节奏运动(音乐会或体育活动)荷载曲线(步频2.5Hz,人的等效均布荷载1.50kN/m2(2人/m2))

荷载激励方式
荷载激励方式主要有如下四种:
①定点单人行走(应用相对较广泛);
②移动单人行走;
③定点多人行走;
④移动多人行走。
关于这四种荷载激励方式的适用性说明,将在“楼板竖向振动加速度计算方式”章节结合计算实例详细讲解。
①定点单人行走方式,采用连续行走荷载,将单人步行力直接作用在振动响应最大点(振动响应最大点是竖向振型的最大变形点),如图2-1:

图2-1 定点单人行走方式计算简图
②移动单人行走方式,采用简化的单步落足荷载,以移动荷载方式进行加载,即将单步落足曲线荷载按照时间顺序依次加载在楼板的落脚点上,如图2-2。

图2-2 移动单人行走方式计算简图
③定点多人行走方式,采用连续行走荷载,将多个单人步行力直接作用在振动响应最大点附近(不考虑行人之间的步频差异及相位差),如图2-3。

图2-3 定点多人行走方式计算简图
④移动多人行走方式,采用简化的单步落足荷载,以移动荷载方式进行加载,即将多组单步落足曲线荷载按照时间顺序依次加载在楼板的落脚点上(不考虑行人之间的步频差异及相位差),如图2-4。

图2-4 移动多人行走方式计算简图

楼板竖向自振频率及振动加速度限值
楼盖竖向振动舒适度评估采用楼板整体振动特性与楼板局部振动特性的双控标准。前者控制楼面结构的整体振动特性高于典型的人行步频;后者控制典型楼板区域的最大加速度幅值不超过限值,防止出现局部激励下引起的舒适度问题,故规范对楼盖系统竖向自振频率及竖向振动加速度均有相关规定。以下为《混凝土结构设计规范》、《高层建筑混凝土结构技术规程》及《高层建筑混凝土结构技术规程(广东省标准)》相关规定条文。
《混凝土结构设计规范》第3.4.6条:对混凝土楼盖结构应根据使用功能的要求进行竖向自振频率验算,并宜符合下列要求:
1 住宅和公寓不宜低于5Hz;
2 办公楼和旅馆不宜低于4Hz;
3 大跨度公共建筑不宜低于3Hz。
《高层建筑混凝土结构技术规程》第3.7.7条:楼盖结构应具有适宜的舒适度。楼盖结构的竖向振动频率不宜小于3Hz,竖向振动加速度峰值不应超过表3.7.7的限值。楼盖结构竖向振动加速度可按本规程附录A计算。

注:楼盖结构竖向自振频率为2Hz~4Hz时,峰值加速度限值可按线性插值选取。

注:混合使用是指一个房间里同时进行有氧健身操和其他健身活动。
《高层建筑混凝土结构技术规程(广东省标准)》第3.7.7条:楼盖结构竖向振动舒适度的计算应符合下列规定:
1 钢筋混凝土楼盖结构竖向频率不宜小于3Hz,钢-混凝土组合楼盖结构竖向频率不宜小于4Hz,轻钢楼盖结构竖向频率不宜小于8Hz。
2 不同使用功能、不同自振频率的楼盖结构,其振动峰值加速度不宜超过表3.7.7限值。楼盖结构竖向振动加速度可按本规范附录A计算。
计算时,轻钢楼盖结构的阻尼比可取0.02,钢-混凝土组合楼盖可取0.03,混凝土楼盖可取0.04。

注:楼盖结构竖向自振频率为2Hz~4Hz时,峰值加速度限值可按线性插值选取。
一个持续的振动比瞬间的振动更让人不舒服;在繁忙区域的人的可忍受程度比安静区域的人高;人们对振动的反应与其从事的活动有很大关系;人们的敏感程度也和振动持续长度以及与振动源的距离有关。图3-1为ISO人类舒适度标准,不难看出楼板频率在4~8Hz之间时,人能容忍的加速度限值较低,这也是规范楼盖竖向振动加速度限值与楼盖竖向自振频率有关的原因。

图3-1 ISO人类舒适度标准

楼盖竖向振动加速度计算
根据楼盖系统动力模型离散化方式,主要分为集中质量动力模型及有限元动力模型,如图3-1及图3-2。

图3-1 集中质量动力模型

图3-2 有限元动力模型
目前应用相对较广泛的楼盖竖向振动加速度计算方式,主要是规范中基于单自由度体系共振原理的简化计算方法(集中质量动力模型)及时程分析法(有限元动力模型)。以下为《高层建筑混凝土结构技术规程》楼盖竖向振动加速度简化计算方法。
《高层建筑混凝土结构技术规程》附录A.0.2:人行走引起的楼盖振动峰值加速度可按下列公式近似计算:


式中:

——楼盖振动峰值加速度(m/s2);

——接近楼盖结构自振频率时人行走产生的作用力(kN);

——人们行走产生的作用力(kN),按表A.0.2采用;

——楼盖结构竖向自振频率(Hz);
β——楼盖结构阻尼比,按表A.0.2采用;
ω——楼盖结构阻抗有效重量(kN),可按本附录A.0.3条计算;
g——重力加速度,取9.8m/s2。

注:
1、表中阻尼比用于钢筋混凝土楼盖结构和钢-混凝土组合楼盖结构;
2、对住宅、办公、教堂建筑,阻尼比0.02可用于无家具和非结构构件情况,如无纸化电子办公区、开敞办公区和教堂;阻尼比0.03可用于有家具、非结构构件,带少量可拆卸隔断的情况;阻尼比0.05可用于含全高填充墙的情况;
3、对室内人行天桥,阻尼比0.02可用于天桥带干挂吊顶的情况
《高层建筑混凝土结构技术规程》附录A.0.3:楼盖结构的阻抗有效重量W可按下列公式计算:


式中:

——楼盖单位面积有效重量(kN/m2),取恒载和有效分布活荷载之和。楼层有效分布活荷载:对办公建筑可取0.55kN/m2,对住宅可取0.3kN/m2(对于商场、教堂、健身房等大空间建筑及人行天桥来说,由于空间大,家具等较少,有效均布活荷载的数值较小,可不计有效均布活荷载的影响);(质量源)
L——梁跨度(m);
B——楼盖阻抗有效质量的分布宽度(m);
C——垂直于梁跨度方向的楼盖受弯连续性影响系数,对边梁取1,对中间梁取2。
此外人行荷载下的楼板响应包括两个部分:稳态响应和瞬态响应。实际工程中发生的振动问题一般都是稳态响应,故在评论其舒适度问题时不考虑瞬态响应(楼板发生瞬态反应时,单独每一步激励导致的楼板振动响应受到楼板自身阻尼的抵消作用而迅速衰减,简化计算方法亦仅考虑稳态响应)。
以上简化计算方法仅考虑一阶荷载频率并忽略静荷载的影响(

),且基于单自由度体系共振原理,其分析方法过于简化,适用性不强。以下通过计算实例对比楼板振动舒适度简化计算方法、仅考虑一阶荷载频率并忽略静荷载影响的行走荷载函数的时程分析法(有限元动力模型及定点单人行走方式)、仅考虑一阶荷载频率和静荷载影响的行走荷载函数的时程分析法(有限元动力模型及定点单人行走方式)及考虑前三阶荷载频率和静荷载影响的行走荷载函数的时程分析法(有限元动力模型及定点单人行走方式)的楼板竖向振动加速度计算结果,以此说明简化计算方法的适用性。

图3-3 结构布置图(自振频率3.91Hz)

3-4 简化计算方法(楼盖竖向振动加速度=0.027m/s2)

图3-6 仅考虑一阶荷载频率并忽略静荷载影响的行走荷载函数
(忽略瞬态响应,楼盖竖向振动加速度≈0.020m/s2)

图3-7 仅考虑一阶荷载频率和静荷载影响的行走荷载函数
(忽略瞬态响应,楼盖竖向振动加速度≈0.035m/s2)

图3-8 考虑前三阶荷载频率和静荷载影响的行走荷载函数
(忽略瞬态响应,楼盖竖向振动加速度≈0.130m/s2)
由以上四种计算方法的楼盖竖向振动加速度计算结果可知,由于简化计算方法仅考虑一阶荷载频率,导致其楼盖竖向振动加速度计算结果偏小较多,简化计算方法不适用此结构计算案例。
下面阿扯将上述结构计算案例中的钢框梁截面由 H850x250x12x30 减小至 H550x250x12x30,如图3-9。

图3-9 结构布置图(自振频率2.63Hz)

3-10 简化计算方法
(楼盖竖向振动加速度=0.042m/s2)

图3-11 考虑前三阶荷载频率和静荷载影响的行走荷载函数
(忽略瞬态响应,楼盖竖向振动加速度≈0.055m/s2)
当楼盖自振频率为3.91Hz时,简化计算方法的楼盖竖向振动加速度计算结果为0.027m/s2,而考虑前三阶荷载频率和静荷载影响的行走荷载函数的时程分析法的计算结果为0.130m/s2,简化计算方法失真相当大。但当楼盖自振频率为2.63Hz时,简化计算方法的楼盖竖向振动加速度计算结果为0.042m/s2,而考虑前三阶荷载频率和静荷载影响的行走荷载函数的时程分析法的计算结果为0.055m/s2,简化计算方法虽仍偏小,但差异不大。
从以上分析结果,可能有伙伴会得出结论简化计算方法适用于楼盖自振频率较小的结构。这个结论不完全正确,其实这不只关系到结构自振频率,也关系到荷载频率。比如以上分析的行走荷载第1阶步频为2Hz,则第2阶步频为4Hz(第3阶步频为6Hz)。当楼盖系统自振频率为4Hz(6Hz)左右时,则二阶荷载频率(三阶荷载频率)所引起的振动反应不容忽视(共振原理),导致楼盖振动峰值加速度简化计算方法不适用(简化计算方法仅考虑一阶荷载频率),这也就是当楼盖自振频率为3.91Hz时简化计算方法失真相当大的原因。这也说明了并不是楼盖自振频率越小,楼盖竖向振动加速度就越小,也并不是当楼盖自振频率≥规范限值就一定满足楼盖竖向振动加速度限值的要求。
下面通过定点单人行走方式及移动单人行走方式的楼盖竖向振动加速度计算结果(考虑前三阶荷载频率和静荷载影响的行走荷载函数)来分析定点行走及移动行走这两种荷载激励方式的适用性。(注意定点行走方式采用连续行走荷载,而移动行走方式采用单步落足荷载。)

图3-12 结构布置图(自振频率3.91Hz)

图3-13 定点单人行走方式计算简图

图3-14 移动单人行走方式计算简图

图3-15 定点单人行走方式
(忽略瞬态响应,楼盖竖向振动加速度≈0.130m/s2)

图3-16 移动单人行走方式
(楼盖竖向振动加速度峰值=0.085m/s2)
(振动响应最大点位于3/10跨度处)
由以上楼盖竖向振动加速度计算结果可知,定点行走方式与移动行走方式的计算结果差异相当大,即使是移动行走方式,不同的轨迹线方向及轨迹线数量均不同程度地影响着楼盖竖向振动加速度计算结果,甚至是影响着振动响应最大点的位置。比如此结构计算案例,在图示的轨迹线及轨迹线数量的激励下,振动响应最大点位于3/10跨度处,而定点行走方式是将行走荷载直接作用在楼盖第一阶振型中的最大变形点(1/2跨度处),但移动单人行走方式的计算结果相对较小。
这主要是由于采用移动行走方式时,当行走荷载位于楼盖第一阶振型中的最大变形点(1/2跨度处)时,其作用力并非是最不利状态,因此导致在最不利点无法激励起最不利响应,此外无法通过此荷载加载方式所计算的楼盖竖向振动加速度时程曲线变化得到稳态响应(楼板发生瞬态反应时,单独每一步激励导致的楼板振动响应受到楼板自身阻尼的抵消作用而迅速衰减)。
大家要是需要各类建筑资料的,可以去“土木智库”公众号,里面有一个“免费资源”菜单,可供大家选择,注意是公众号,不是头条!