今年高考,在济南中学考点,一种 新型防作弊黑科技 横空出世:

它被赋予了一个闪亮的名字: 磁弹枪 !
据报道,该磁弹枪可以*击狙**黑飞无人机,用以保障高考公平。
01 神奇的磁弹枪
小编发现,网友们都十分好奇这种磁弹枪到底是如何使用的:

小编也很好奇!

在网上一查, 小编发现有不少网友认为,这里使用的磁弹枪,是利用电磁场发射磁弹,从而击中无人机 。
乍一看,似乎很符合磁弹枪的名字,但细想之下,感觉...有点点不对劲?
首先,上面描述的其实更接近于 电磁炮 ,一种通过电磁力让射弹获得极高动能的*器武**,它的工作原理并不难理解,与电磁相互作用有关--这可是高中物理就学过的,是不是很简单!
电磁炮根据结构的不同,可以分为磁道炮、线圈炮和重接炮,我们就用较为常见的磁道炮来举个例子:

磁道炮简单示意图 | 图源:wikipedia
如图所示,两根平行金属形成导轨,将导电的弹丸横插入导轨之间,通电后电流由正极经过弹丸回到负极, 根据右手螺旋定律 ,会形成图中所示的由下向上的磁场,弹丸在磁场中受到洛伦兹力作用加速,以极快的速度向炮弹口移动,最终高速出射。
这分析步骤,是不是很眼熟!
这可不就是电磁场部分的高中物理题吗!


《死去的高中物理回忆突然攻击我》
02 不容小觑的磁道炮
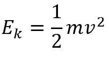
目前,典型的磁道炮一般用于军事领域,设计目标是让出射的炮弹能量为5-50兆焦耳(MJ)。我们可以用下面的动能公式简单计算一下:

假设我们开着一辆重达1.5吨的普通家用轿车,要在某刻达到50MJ的动能, 需要瞬时速度达到929.6公里/小时 (258.2米/秒) 。
哦豁,想来还没有哪辆普通轿车能达到这种瞬时速度的...小编能想到的,只有下面这类超神了:

根据上面的计算,不难发现,实际上真想获得这样高的弹丸出射速度,需要很强的电流大小来给弹丸加速,我们可以估算一下:
为了简单起见,我们忽略电场,则带电粒子在磁场中所受洛伦兹力为:

宏观状态下,弹丸受到的安培力大小为:

其中,l是平行导轨之间的间距。根据毕奥-萨法尔定律,对于恒定电流而言,激发的磁场大小是:

对于载流直导线而言,根据下面的示意图积分计算:

简单示意图
可以得到在m处的磁场大小是:

对于半无限长的平行直导线而言,可以取:

对于小型磁道炮,我们简单假设导轨宽度不大,磁场可以看作是两根电流相反的半无限长的平行直导线的叠加,则简单看成匀强磁场得到:

其中,l就是两轨道之间的间距,μ是真空磁导率,其值为μ=4π×10牛顿/安培。
简单化简可以得到:

也就是说, 1000安培的电流只能产生0.1N的力 ,如果要能够把弹丸加速到千米每秒的量级,所加电流可能要达到 百万安培量级 ,发电功率高达 几十兆瓦甚至上百兆瓦 ,这几乎是一座中容量火力发电厂的发电功率!

可以想象,电磁炮工作时所需的强大电流,会给发射装置带来极大的负荷,这也就给用于制作轨道和弹丸弹体的材料带来了极大的挑战,目前相关的材料还都在进一步的研发阶段。
也就是说,即便在军事领域,电磁炮的技术也尚未成熟,假设高考考场外的磁弹枪真的是类似电磁炮的东西...

如果真的用来击落无人机,理论上可能更接近于去年在珠海航展上展览的 CS/LW21型手持电磁防爆发射器 ,这是中国兵器装备集团研制的一款电磁枪,原理和电磁炮中的线圈炮类似,只不过使用的是下面这种直径9㎜的 扁平圆形弹片 :

该款电磁枪使用的扁平圆形弹片
这款电磁枪射速1分钟100发,有效射程50米,可以把啤酒瓶打得四分五裂:

该款电磁枪射击测试效果
可以看出,威力还是不小的。当然了,目前 CS/LW21 还只是概念型*器武**,如果能够进一步提高射程和瞄准度等方面性能,未来极有可能用于 反恐防暴 任务。
说到这里,你发现有哪里不对劲了吗?
不管是电磁枪还是电磁炮,定位都是 仍处于研发阶段的*用军***器武** ,而横空出世的“磁弹枪”,它的任务是防止有人通过无人机作弊, 假设真的是射出*弹子**击落无人机,那其实会带来很大的隐患 :
-
无人机处在不断飞行的动态,如果*弹子**瞄偏了,很有可能误伤考场周围的工作人员或路过的行人,考虑到射出的*弹子**动能并不小,打到人还是很危险的...
-
假如真的击落无人机,无人机在坠落过程中也有可能撞伤路人...
-
无人机坠毁过程中难免会发出碰撞的声响,这也会影响考场内的考生...
因此,不论怎么看,使用类似 CS/LW21的电磁枪 去防止高考无人机作弊, 都显得不是很合理,也不符合我们维护高考秩序的初衷 。

03 高考黑科技
既然如此,问题来了,这“”磁弹枪“”到底是啥呢?
小编在查阅资料后,发现了另一种更大的可能:
所谓的磁弹枪, 并不是真的有*弹子**发射出来,而是一种无线信号*扰器干**。
我们来简单了解一下无人机的无线通信系统:首先,由发射机将数据经过一系列的编码和调制,接着,通以电磁波的形式向信道中辐射传输,最后,由接收机接收发射机发出的对应电磁信号。
不难看出,如果在开放的信道中对传出的信号进行人为干预,就有机会实现反制无人机。
如果我们使用信号*扰器干**, 发射出远远超过正常通信信号功率的大功率干扰信号 ,将原信号完全淹没在各种大功率噪音中,就能够使接收机几乎或者完全不能从中解析出正确的信号,从而丧失通信能力。
就好比你需要 在这样的海洋球中找出几十粒掺杂在其中的黄豆 ,基本不可能...

你能找出里面的黄豆吗?
目前,市面上销量较高的民用无人机的工作频段主要分为 2.4GHz 和 5GHz 两个频段,带宽从几十兆赫兹到上百兆赫兹不等,如果在磁弹枪内部配置无线网卡,切换到 监听模式 ,就可以截取在覆盖范围内的所有无线信号,接着基于 人工神经网络 对截取的信号进行识别,决策出需要使用的干扰信号,将此信息传递给枪体内部的干扰系统。
因此,当警卫发现考场周围出现无人机时,首先就可以将磁弹枪瞄准无人机,进行信号的截取与识别,然后扣动扳机,激活枪体内部用于产生电磁波的电路板,发射出相应的大功率信号, 对无人机进行电磁压制干扰 ,迫使无人机断开与操控者之间的连接,相较于真实*弹子**的物理攻击,这样的信号干扰方式,可以在低噪音的情况下迫使无人机 自动返航或就地降落 ,从而保证不影响考场内的考生们。
所以,不要被“磁弹枪”这个名字给误导啦!本质上而言,它可以是任何形状, 我甚至可以设计成高跟鞋的样子 ——只要在鞋子里面把需要的电路板等一系列装置安装好就行了。

用高跟鞋瞄准射击未尝不可
除了磁弹枪,这几年高考中,还运用到了各种黑科技,例如:

高考巡逻机器人
图中的高考巡逻机器人,综合应用了 生物识别和大数据分析 ,我们只需要向它的处理端上传以往各种考试作弊的监控视频,它就能 自动解码分析 ,一旦在考场内检测出相似的疑似作弊行为,就会自动触发警报。别说,这机器人看着还真的挺有模有样!
在某些高考重要考点的路口,还安装了"猎音"系统,也就是 声呐定位系统 ,通过声学追踪定位那些在考场附近狂按喇叭或者极速飙车的汽车和摩托车,在第一时间精准定位,从而及时处理,确保不影响考生考试。

交警们通过"猎音"系统追踪处理车辆
当然啦,不论是哪种黑科技,最终目的都是为了给万千学子保驾护航。
在此,我们也衷心祝愿各位学子:
十年寒窗,盼前程似锦,百日苦战,必金榜题名!

参考文献:
[1] 苗延青,金镭,谈炜荣, 等.浅谈我国民用无人机适航发展趋势[J].航空标准化与质量,2014,(6):29-32.
[2] 吴小松, 房之军, 陈通海. 民用无人机反制技术研究[J]. 中国无线电, 2018(3): 55-58.
[3]Greff K, Srivastava R K, Koutník J, et al. LSTM: A Search Space Odyssey[J]. IEEE Transactions on Neural Networks and Learning Systems, 2017, 28(10): 2222-2232.
编辑:穆勒家保姆