高中物理匀变速直线运动题讲解 (高中物理匀变速直线运动题目讲解)

“九层之台,起于垒土”。高中物理开篇就是运动学。作为动力学的基础知识,在每年的高考中,或者单独命题,或者渗透在动力学问题中,都要对运动学的概念和规律进行考查。

理顺基础知识,溯清本源才能消除后续学习成为高手的障碍,才能在后继学习中得心应手,才能在考场中无往不胜。作为开篇第一篇,就从匀变速直线运动的规律说起。

高中物理匀变速直线运动的实验题,高中物理直线运动解题思路分析

物理学家伽俐略

寻根溯源 根题展现

高中物理匀变速直线运动的实验题,高中物理直线运动解题思路分析

高中物理匀变速直线运动的实验题,高中物理直线运动解题思路分析

方法总结·规律提练

一、匀变速直线运动:沿着一条直线,且加速度不变的运动

二、匀变速直线运动的基本公式、导出公式的特点及选用:

高中物理匀变速直线运动的实验题,高中物理直线运动解题思路分析

三、解决匀变速直线运动问题的基本思路

1.一个匀变速直线运动的过程可能涉及的五个物理量,解题时画草图如下:

高中物理匀变速直线运动的实验题,高中物理直线运动解题思路分析

2.把各个已知量及涉及的物理量标在草图上,把不涉及的物理量划去。若一个单一的运动过程,已知三个量,用上面的公式①、②、③、④,可求第四个量,要根据公式特点恰当地选择公式。

对于匀变速直线运动,若两个连续的运动过程相等时间(如纸带问题、频闪照相问题),则考虑运用⑤求瞬时速度,⑥式求加速度。

3.对于末速度为零的匀减速运动,可以采用逆向思维法,倒过来看成是初速度为零的匀加速直线运动。

考场精彩·典例精析

一、一个质点的运动(匀变速运动公式的选用)

【衍题1】某航母跑道长为200m,飞机在航母上滑行的最大加速度为6m/s2,起飞需要的最低速度为50m/s.那么,飞机在滑行前,需要借助弹射系统获得的最小初速度为

A .5m/s B .10m/s

C .15m/s D.20m/s

高中物理匀变速直线运动的实验题,高中物理直线运动解题思路分析

【衍题2】汽车(可看作质点)由静止出发做匀加速直线运动,途中用10s时间通过一座长140m的桥,过桥后速度是16m/s,求:

(1)它刚开上桥头时速度有多大?

(2)桥头与出发点相距多远?

【解析】(1)先画出汽车的运动过程示意图。汽车从起点为O出发,经过了桥头A和桥尾B。从A至B的过程中,已知位移x=140m,时间t=10s,末速度vB=16m/s,求初速度vA。

高中物理匀变速直线运动的实验题,高中物理直线运动解题思路分析

【总结】同一质点,同一匀变速直线运动,质点在不同阶段的加速度相等。前、后两阶段,可通过加速度为“红线”建立联系,列方程组,求解未知量。

【衍题3】为了缩短下楼的时间,消防员往往抱着楼房外的竖直杆直接滑下,设消防员先做自由落体运动,再以可能的最大加速度沿杆做匀减速直线运动.消防员在沿竖直杆无初速度滑至地面的过程中,重心共下降了h=11.4m,该消防员减速时加速度a=5m/s2,消防员着地的速度不能超过v=6m/s.(g=10m/s2),求:

(1)消防员下滑过程中速度的最大值;(2)消防员下滑过程的最短时间。

【解析】(1) 设消防员加速下滑过程中速度的最大值为vm ,画出运动过程示意图,如图所示 。

高中物理匀变速直线运动的实验题,高中物理直线运动解题思路分析

【总结】对于先做匀加速直线运动、再做匀减速直线运动的两个相顺接的过程,先抓住联系两个分过程之间的桥梁――速度,列方程组,往往可以简化计算过程。还要注意寻找时间关系和位移关系:总位移为两位移之后,总时间为两时间之和。

【衍题4】四川队选手邱波在全运会男子10米跳台决赛中以588.70分的总成绩夺冠.他在某次训练中从跳台上腾空而起,到达最高点时他的重心离台面的高度为1 m,当他下降到手触及水面时要伸直双臂做一个翻掌压水花的动作,这时他的重心离水面也是1 m.设他静止站在台面上时重心距台面的高度为0.8 m,重力加速度g=10 m/s2,问:

(1)他的起跳速度约是多大?

(2)从起跳到入水(手掌触水)共需多长时间?

高中物理匀变速直线运动的实验题,高中物理直线运动解题思路分析

【解析】可以把运动员在空中的运动,简化成竖直上抛运动,并把他看成一个位置在重心的质点。(质心)上升过程的高度h1=0.2m,下降过程的高度h2=10m.

高中物理匀变速直线运动的实验题,高中物理直线运动解题思路分析

高中物理匀变速直线运动的实验题,高中物理直线运动解题思路分析

高中物理匀变速直线运动的实验题,高中物理直线运动解题思路分析

高中物理匀变速直线运动的实验题,高中物理直线运动解题思路分析

高中物理匀变速直线运动的实验题,高中物理直线运动解题思路分析

二、两独立、又关联物体的运动

【衍题6】甲乙两辆汽车都从静止出发做加速直线运动,加速度方向一直不变。在第一段时间间隔内,两辆汽车的加速度大小不变,汽车乙的加速度大小是甲的两倍;在接下来的相同时间间隔内,汽车甲的加速度大小增加为原来的两倍,汽车乙的加速度大小减小为原来的一半。求甲乙两车各自在这两段时间间隔内走过的总路程之比。

解析:设汽车甲在第一段时间间隔末(时间t0)的速度为,第一段时间间隔内行驶的路程为s1,加速度为,在第二段时间间隔内行驶的路程为s2。由运动学公式得

高中物理匀变速直线运动的实验题,高中物理直线运动解题思路分析

【总结】甲、乙两车的运动是独立的,本来没有联系,但命题者人为的通过相等时间把他们关联起来了。所以对甲和乙分别列的方程是独立的,但两组方程又有联系点:时间相同。理清各自的运动过程和已知量,找到两物体的关联点,建立方程组,是解题的基本思路。

【衍题7】A、B两列火车,在同轨道上同向行驶,A车在前,其速度vA=10m/s,B车在后,其速度vB=30m/s.因大雾能见度低,B车在距A车700m时才发现前方有A车,这时B车立即刹车,但B车要经过1800m才能停止.问A车若按原速前进时,两车是否会相撞?说明理由。

【解析】分析两车会不会相撞,也就是找到在两车达到相同速度的这段时间内的位移关系。如图所示:

高中物理匀变速直线运动的实验题,高中物理直线运动解题思路分析

高中物理匀变速直线运动的实验题,高中物理直线运动解题思路分析

【提醒】讨论追及、相遇的问题,其实质就是分析讨论两物体在相同时间内能否到达相同的空间位置问题.速度相等往往是临界条件。但有些同学对临界条件认识不清,把B车的速度为零,当成相撞(或不相撞)的临界条件,造成错解。

高中物理匀变速直线运动的实验题,高中物理直线运动解题思路分析

冲关训练

1.(2019·广东清远市期末质量检测)近年来学校都非常重视足球运动.在某学校举行的颠球比赛中,小明在颠球过程中脚部几乎不动,如图1所示,图示时刻足球恰好竖直向上运动到最高点,估算足球刚被颠起时的初速度大小最接近( )

A.6 m/s B.3 m/s

C.1 m/s D.0.5 m/s

高中物理匀变速直线运动的实验题,高中物理直线运动解题思路分析

2.(多选)(2019·广东清远市期末质量检测)高铁进站近似做匀减速直线运动,依次经过A、B、C三个位置,已知AB=BC,测得AB段的平均速度为30 m/s,BC段的平均速度为20 m/s.根据这些信息可求得( )

A.高铁经过A、B、C的速度

B.高铁在AB段和BC段运动的时间

C.高铁运动的加速度

D.高铁在AC段的平均速度

高中物理匀变速直线运动的实验题,高中物理直线运动解题思路分析

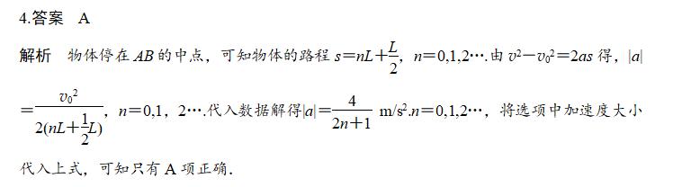
4.(2019·湖南娄底市下学期质量检测)如图1所示水平导轨,A、B为弹性竖直挡板,相距L=4 m.一小球自A板处开始,以v0=4 m/s的速度沿导轨向B运动,它与A、B挡板碰撞后均以与碰前大小相等的速率反弹回来,且在导轨上做减速运动的加速度大小不变,为使小球停在AB的中点,这个加速度的大小可能为( )

A.7/4)m/s2 B.0.5 m/s2 C.1 m/s2 D.1.5 m/s2

高中物理匀变速直线运动的实验题,高中物理直线运动解题思路分析

5.(2019·浙江金华十校高三期末)气悬球是近几年新兴的一项小球运动,深受人们喜爱.如图2所示,球桌台面上有无数个小孔,从小孔中喷出的气体使小球(圆形塑料片)浮离在台面上,小球受击打后在台面上快速运动.某次比赛中,当小球受击打后以速度v0匀速直线运动至离对方球门L处时,小孔突然停止喷气,小球恰能做匀减速直线运动到对方球门,则( )

高中物理匀变速直线运动的实验题,高中物理直线运动解题思路分析

高中物理匀变速直线运动的实验题,高中物理直线运动解题思路分析

6.(2019·福建三明市期末质量检测)一列火车沿直线轨道从静止出发由A地驶向B地,列车先做匀加速直线运动,加速度大小为a,接着做匀减速直线运动,加速度大小为2a,到达B地时恰好静止,若A、B两地距离为s,则火车从A地到B地所用时间t为( )

高中物理匀变速直线运动的实验题,高中物理直线运动解题思路分析

冲关训练 答案

高中物理匀变速直线运动的实验题,高中物理直线运动解题思路分析

高中物理匀变速直线运动的实验题,高中物理直线运动解题思路分析

高中物理匀变速直线运动的实验题,高中物理直线运动解题思路分析

高中物理匀变速直线运动的实验题,高中物理直线运动解题思路分析

高中物理匀变速直线运动的实验题,高中物理直线运动解题思路分析

高中物理匀变速直线运动的实验题,高中物理直线运动解题思路分析