2018年苏教版小学六年级数学毕业模拟试卷及答案
一、计算。(第 1题 8 分,其余每题6 分,共 20分)
1. 直接写得数

2. 求未知数x

3. 脱式计算

二、填空。(第4〜8 题每题2 分,第 9〜13题每题3 分,共 25分)
4.某市奥体中心占地面积八十九万六千平方米,这个数写作( )平方米,省略“万”后面的尾数大约是( )万平方米。
5. 在□里填上合适的的数。

8. a/10的分数单位是( ),若 a是最小的质数与最小的合数的和,其最简分数是( )。
9. 一根长2 米的绳子,如果用去1/4米,还剩( )米;如果用去它的1/4,还剩( )米。
10. 一个3 米长的通风管,它的横截面是直径10厘米的圆,制作这样的通风管需要铁皮( )平方米。(得数保留一位小数)
11. 一堆货物m吨,运了3次后,还剩n吨,平均每次运( )吨。
12. 三个正方形的位置如右图所示,不通过测量,是( )度。

13. 一个表面涂色的长方体木块,长、宽、高都是整厘米数,把它切割成若
干个棱长是1 厘米的小正方体,五个面都涂色的小正方体最多有( )个。
三、判断。(每题2 分,共 10分)
14. 真分数的倒数一定大于1。 ( )
15. 把一个三角形按2:1 的比放大,放大后的图形面积是原来的2 倍。 ( )
16. n表示一个奇数,n+2 就表示一个偶数。( )
17. 钟面上的时间为3:30时,分针与时针所形成的角是。 ( )
18. 等腰三角形,绕任意一边旋转一周都不能形成圆锥。( )
四、选择。(每题2 分,共 10分)
19. 小华和小军进行足球射门练习,小华命中率为4 0%,小军命中率为50%,下面说法正确的是( )。
A.小华命中次数多 B.小军命中次数多 C.无法确定
20. 右图,小方在小圆( )方向。
A. 北偏西 B. 北偏西 C. 南偏东
21. 三位数“7□1”是三个连续自然数的和,口中的数是( )。
A. 6 B. 7 C. 8
22. 甲×1/5=乙×4,那么甲:乙等于( )。
A. 5:1 B. 4:5 C. 20:1
23. 下面图形中,空白部分与阴影部分周长相等但面积不相等的是( )。

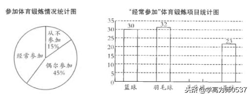
五、操作。(第24题 3 分,第 25题 4 分,第 26题 2 分,共 9 分)
24. 把圆移到圆心(6,8)的位置上。
25. 把三角形绕A点顺时针旋转90度,再画出原三角形底边上的高;
26. 画出右上方图形的另一半,使其成为轴对称图形。

六、解决问题。(第 27〜30题每题4 分,第 31〜32题每题5 分,共 26分)
27. 学校新添一批图书,其中数学类240本,比文学类多2 0 % ,文学类有多少本?(用方程解)
28. “五一”期间,李老师自驾去离家320千米的某地。右图是他离家的距离与汽车行驶时间之间的关系图。
(1)他出发30分钟,离家多少千米?(2)他出发3 小时,离目的地还有多少千米?

29. 一个圆柱形蓄水池,底面直径是6 米,高是5 米。这个蓄水池占地多少平方米?容积有多大?(厚度忽略不计)
30. 在一幅比例尺为1 : 500的平面图上,量得一块长方形草坪的周长是20厘米,长与宽的比是3 : 2。这块草坪的实际面积是多少平方米?
31. 校长为了了解学生体育锻炼情况,随机抽取300名学生进行问卷调查,绘制了如下两幅统计图,请画出经常参加乒乓球锻炼人数的条形图。

32.暑假,小萌和爸爸、妈妈去影院看电影,买票时优惠了19. 2元,他们看的是哪个场次的电影?(列式计算)

2018年苏教版小学六年级数学毕业模拟试卷参考答案

