作者 | 徐可莹 李晨阳
世界各国,各行各业都有自己的酒文化。
不久前,有些国内商家甚至特地推出了“顶刊酒”“摘要酒”,直击科研人员的焦虑和痛点。
然而就在中国的春节来临之际,一篇国外论文给大家泼了一瓢冷水:佳节在即,且慢举杯!
来自美国加州大学旧金山分校(UCSF)的Gregory Marcus等人的新研究对急性饮酒的危害提出了警告,急性饮酒极有可能引发心房颤动。相关研究于近日发表在Nature Cardiovascular Research(《自然—心血管研究》)上。

大过节的,跑趟急诊室吧
这项研究的灵感,来自研究人员在急诊室里观察到的一个现象。
他们发现,每到适合饮酒的全国性节假日,医院急诊室中总会出现更多的房颤病人。于是,研究人员大胆假设:心房颤动与过量饮酒,有近乎直接的关系。
心房颤动(简称“房颤”)是最常见的心律失常之一,在我国的发病率极高。

“房颤”动图(图源:国家心血管病中心微信公众号)
据国家心血管病中心的预测,预计到2050年,中国的房颤患者男性将达到520万,女性将达到310万。在40岁以上的人群中,男性患房颤的风险为26%,女性为23%。
可怕的是,有房颤的人发生卒中的危险,是正常人的2~7倍。
但是怎么证明房颤的发生与过量饮酒有关呢?
首先,需要确定在哪些日子,人们最有可能一醉方休。
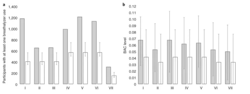
为此,研究团队分析了来自美国所有州以及59个不同国家、共计36158人的数据。
他们给这些人配备了蓝牙酒精测试仪,通过观察设备记录下的1269054次呼吸测量结果,结合被测试者在一整年中的使用频率和更高数值分析,得到了8个人们更有可能“大喝特喝”的节假日,它们分别是:
新年、小马丁·路德·金日、超级碗星期日、夏令时的开始、7月4日、圣诞节、国际足联世界杯日和父亲节。

(图2:至少使用过一种呼气测醉仪的参与者人数(左)和工具变量事件的中位 BAC 水平(右))
其次,眼见不一定为实。他们还需要找到证据,来证明在这些节假日期间——房颤急诊病例的确增加了。
研究人员回顾了2005年1月1日往后10年间,在加州卫生规划与发展办公室(OSHPD)存档的医院急诊室就诊记录,划定了其中被标记为房颤编码的就诊次数,发现在上述8个“大喝特喝”的节假日中,人们因房颤住院的次数,明显多于其他时间。

(图3:每100,000人-年中主要分析使用ED就诊的AF个体和汇总工具变量事件与其他日期的比率差异)
值得注意的是,在分析另一个常见心律问题——室上性心动过速时,却没有发现同样的关系。这意味着,酒精只能作为引发急性房颤的危险因素,而不是导致所有心律问题及就医的一般决定因素。

(图4:每100,000人-年中阴性对照分析的比率差异)
“老手”和“新手”,都中招
为了近一步分析急性饮酒对不同人群的影响,研究者又细分了人口子集。将房颤急诊科就诊患者的数据,按照年龄、性别、种族进行了细分,同时使用2019年加州人口普查的数据衡量了总子集人口的规模。
他们分析比对后发现,在65岁以上的人群中,急性饮酒和房颤住院之间的关联性最大。
不得不说,人得服老。
有些人可能就要说了:这下可好!我身体倍儿棒,从没闹过毛病,是不是可以畅饮一番了?

恐怕还是要敲您一记警钟。
在分析房颤复发相关数据时,研究人员还发现,与过量饮酒有关的房颤病例在新发房颤患者中的比例增长,远大于有房颤病史的患者。这表明,很多新发的房颤病例,是由急性饮酒引发的。
说到这里,你可能会注意到一个关键概念——“急性饮酒”。知道何为“急性饮酒”,对我们日后能否守住安全底线而言至关重要。
该研究通讯作者Gregory Marcus在接受《中国科学报》采访时解释说:“研究中的‘急性饮酒’是指过度饮酒的时间相较于房颤急诊就诊发生的时间。我们检查了近期影响,即过量饮酒时间和未来6天内发生的心房颤动之间的关系。”他表示,这与这类主题的大多数研究非常不同,后者更倾向于将多年来的长期饮酒模式作为房颤发作的风险因素。
与此同时,对于该研究引发的启示,Marcus教授也向记者表达了自己的看法。
“我们的研究数据表明,短期内的饮酒行为作为任何特定房颤发作的预测因子,不仅与特定个体相关,并且能体现在人口水平上,这对整体医疗保健利用也产生了有意义的影响。
“这项研究还提供了客观证据,表明急性饮酒会导致那些没有相关病史的人首次发生房颤,这为那些自认为非常健康的人敲响了一记警钟。”
对于研究的局限性,Marcus则遗憾地表示:“我们还无法评论可能对房颤风险影响最大的特定酒精量或特定酒精类型。”
在中国,佳节饮酒是自古以来便有的传统。无论是“绿蚁新醅酒,红泥小火炉”的文人雅趣,还是“会须一饮三百杯”的英雄豪壮,都印证着中国人与美酒之间,百转千回的性情之交。
而好(hǎo)饮之人与好(hào)饮之人之间最大的区别,便在一个“度”字。真正的雅趣与豪壮,都建立在健康安全的防线之上。一旦破防,健康连同美感,就都洒了。
论文链接:
doi.org/10.1038/s44161-021-00003-7