有些话,请让我一吐为快:当你发现投票是流量利器并使用之时,你也在一点点放弃创造力所能带来的惊喜。我们盘点大家的成长,我们关心数据,更期待创造力孵化的惊喜!

综述
❖ 本周的地区榜,上演了一出“郊区大*攻反**”,松江、闵行、金山分获前三位,同时,青春奉贤勇夺第五,稳步提升的阅读量和保持品质的内容,颁个飞跃进步奖也不为过啊!
❖ 华理、华政堪称学校榜双雄,本周数据上,华理综合指数略胜一筹,而华政则依旧质与量并重,占据榜单高位。
❖ 换血似乎成了综合榜单的常事,凭借投票,宝钢共青团一举夺魁,而创意满满的上海建工也终于在投票的加持下,数据大增勇夺第二。

我们所在的日常,到底有多美?
也许我们活得太过于匆忙,总是未能及时发现身边的美好,所以交给小编们吧,来带你重新发现日常之美。
崇明的地名连起来
居然是一个爱情故事
识别图中二维码可看原文
四月,在崇明
为什么要写诗?还是情诗!
因为清晨西沙湿地刚下过细雨
因为午后明珠湖的微风吹散了湿气
因为夜里新城公园的灯火通明
因为雨后东平森林公园美得像一幅山水画
……
生快,90后的浦东

2017年空中俯瞰陆家嘴金融城全景(上)
1990年拍摄的陆家嘴全景(下)
27年前
90后开始陆续来到这个世界
浦东只是外滩遥遥远眺的一片农田
27年后
世界最高的建筑、最快速的发展都傲然挺立在浦东
4·18是 浦东开发开放的纪念日
祝这个90后,生快!
华政少女来读书美出新境界
“如果有天堂,那一定是图书馆的模样”,读书之人总是美好生活的采撷者,更是令画家不惜颜料,浓墨重彩的灵感缪斯。世界第21个读书日如约而至,华政青年选择让艺术与读书在华政再次碰撞,复刻“读书艺术”的精华,让少女来一组别样的cosplay,定格阅读之美!

听了几期校园身编人,今天我们来走进金融圈,听听金穗青春的故事,聊聊企业青年在微信公众账号运营中的投入与收获,看金色的麦穗正在结出什么样子的果!

Q:请先简述下账号的基本运营情况!
A:金穗青春,是农行上海分行团委微信平台,2016年1月26日正式上线,是一个完全由青年员工自己采稿、编辑制作的平台,一个完全由青年员工在工作之余无私奉献的平台,一个充满青春活力的朝气蓬勃的平台。
很值得高兴的是,它不仅成为农行青年员工广为熟知的一个微信号(我行40周岁以下员工5469人),也吸引了一批稳定的行外粉丝。

Q:金穗青春的名字和logo都很别致,这里充满了你们的小心思吧!
A:“金穗青春”的形象logo由代表农行的金穗、代表青年的雏鹰和代表互联网的符号结合而成,其中,设计成围绕型的“金穗”寓意上海农行青年在总行团委、分行*党**委的引领下,在团市委、金融团工委的指导下,团结一致、奋发向上;“@”是互联网符号,代表紧跟时代步伐的农行青年员工;“雏鹰”代表志向远大的农行青年。
打造“金穗青春”的初衷,就是将上海农行团建“扁平化”运作,打造一个青年人展示自己的舞台,让青年有一个直接沟通、交流的平台,这个平台的宗旨是“快乐、自由、民主、青春、奋进、活力”。
为了这样的目标,微信号从策划运营开始,就一直“以青年的名义”运作,“金穗青春”的名字及LOGO均由我行青年倡议、设计,并通过民主海选产生。
Q:金穗青春有哪些特色栏目,在对重大企业活动的宣传上,你们又有着什么样的创意?
A:作为一个朝气蓬勃的的微平台,通过传递日常工作与生活的正能量来引导青年是“金穗青春”的使命之一。
“金穗青春”先后开辟有“挂职青年干部风采”、“优秀青年及集体事迹”、“金穗人物志”、“金穗青春足球杯球队个性介绍”、“金穗微春晚”、“金穗新年祝福视频秀”、“金穗微诗词”等主题报道,不论是讲述农行青年成长背后的励志故事,或是展示青年人活泼身影的题材,都在努力讲好农行青年的故事。
我们也开展了两期极具人气的“行服秀”,以“轻风蔽月”、“皎如玉树”、“人面桃花”、“谦谦君子”等为标题,吸引了大批关注的目光,单篇点击率最高达到近6万。农行青年的英姿飒爽折服了广大网友,通过“行服秀”,也展示了金融青年的风采。

在宣传公益活动方面,“金穗青春”对农行主推的“小积分·大梦想”公益活动数次全方位、多角度进行宣传报道,在青年中掀起一股微公益的热潮。
Q:小编团队建设,有着怎样的特别之处可以分享?
A: 目前,编辑团队自下而上设有基层团支部通讯员、支行编辑组与分行核心编辑组,支行编辑组及分行核心编辑组的青年员工就达50人左右,为了打造这一支充满战斗力的团队,农行上海分行团委动足了脑筋。
在初期,农行上海分行团委通过制作海报等形式,大力宣传招募通讯队员,由青年员工主动向分行团委报名,再择优挑选,确保参加分行青年通讯社的青年员工有积极的主观能动性。
为充分发挥青年员工的想象力,激发大家的创作热情,农行上海分行团委对“金穗青春”的内容版面组合、结构设计没有设定太多的条条框框,仅在方向上及主题项目上进行方向的把握。因为有足够的创作空间,充分激发了编辑们的灵感,大到版面的总体布局,还是小到一句话、一张图的美工设计,编辑们常常在一起切磋交流,提高编辑技能。
Q:能不能讲一个编辑部的小故事!

A: 这两张图很有意思吧!
黄蕾,宝山真华路支行大堂经理,“金穗青春”支行编辑组成员。接手编辑工作后的一天,黄蕾的胞姐向她发牢骚:“我们单位要创建一个微信公众号,真不知道从何下手。”于是,黄蕾便“师傅领进门”,胞姐“修行在俩人”。
伊始,黄蕾姐妹一起研究怎么做,后来她们又讨论怎么编辑的才能好看,再之后,姐妹花琢磨如何能做到高质量的输出,使公众号价值最大化、获得更多观众认可。她们就这么相伴着奋勇前行!
即使日常工作再辛苦再劳累,回到家黄蕾始终致力于搜集身边事、码码字。潜移默化间,微信账号的成长已经成为了黄蕾生活中的乐趣所在。
“金穗青春”将青年员工工作生活中的点点滴滴汇集起来,以青年人独特的视角,生动描绘出农行青年的形象,以新媒体这种更贴近大家的展示方式,将农行好青年的故事用最生动活泼的方式传递给了全行员工们。在这里,我们感受到了新媒体最大的意义,打造一个共同的线上家园!
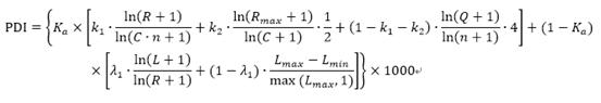
PDI指数是什么?
青春上海携手上海交通大学大数据与传播创新实验室(T-Lab)打造全新的PDI(Pandata Index)全景数据评估指数,拒绝过 度关注点赞数,更认真地统计峰值,认同潜力值,立志于更科学地为新媒体传播做测算:

文章发布时段: 2017年4月16日~22日
榜单一定会有遗漏,而我在这里等你光临!如果你所在的团组织也想冲榜或者有其他相关的想法,可直接留言,也可以在工作时间拨打电话61177894。
↓你可能对这些也感兴趣↓
文案:CCQ 数据汇总:Nala 数据制表:黄艺