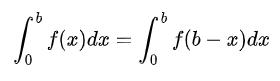
这里我们所说的“国王法”其实是一个简单的线性变换。似乎它简单得不值一提,但我们觉得这可能是一个挺有用的方法。在英文文献里称之为“King Rule”或者“King’s Property”。我们不知道这个名称的来源,只能按字面意思翻译成“国王法”。
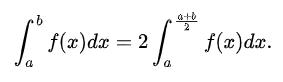
给定一个定积分 ,国王法说的是:

容易看出,这个公式可以通过线性变换 得到
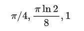
下图是示意图。

当a=0,国王法可以简化成:

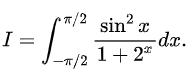
我们来看一个具体的例子:计算

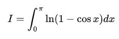
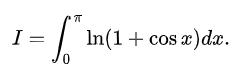
这是2018年印度工学院入学考试(Joint Entrance Examination)的一道题。记

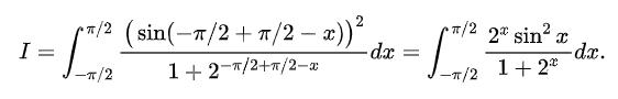
运用国王法得到

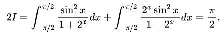
将两式相加就得到

于是所求积分的值是π/4 .
如果在上图中函数f(x) 是关于过a 和b 的中点x=(a+b)/2 的垂直直线对称的,那么有

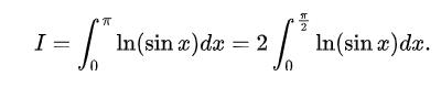
我们再来看一个例子:计算积分

首先,利用国王法得到

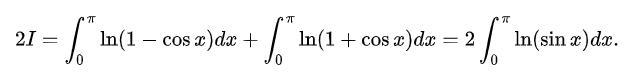
将上面二式相加得到

注意到在(0,π)上函数lnsin(x)关于中点x=π/2 是对称的,所以有

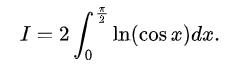
做一个简单的变换就容易看出,

将上面两式子相加得到,

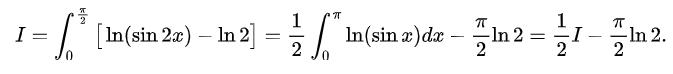
再利用三角函数的性质

和一个简单的线性变换,我们最后可以得到

即

最后让我们留下三道题。第一道题可以让我们看到国王法的力量。对任意的正整数n ,计算定积分

读者可能会注意到,上面的几个例子全部与三角函数有关。 我们最后看两个其他的习题。
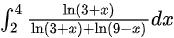
计算定积分

计算定积分

三个积分答案分别为:

转载内容仅代表作者观点
不代表中科院物理所立场
如需转载请联系原公众号
来源:遇见数学
编辑:Atom